Novel nerve regeneration assessment method using adult zebrafish with crush spinal cord injury.

IF 2.2 4区 心理学 Q3 BEHAVIORAL SCIENCES
Hiroaki Motohashi, Satoshi Sugita, Yoshito Hosokawa, Takahiro Hasumura, Shinichi Meguro, Noriyasu Ota, Yoshihiko Minegishi
{"title":"Novel nerve regeneration assessment method using adult zebrafish with crush spinal cord injury.","authors":"Hiroaki Motohashi, Satoshi Sugita, Yoshito Hosokawa, Takahiro Hasumura, Shinichi Meguro, Noriyasu Ota, Yoshihiko Minegishi","doi":"10.1007/s00359-024-01723-4","DOIUrl":null,"url":null,"abstract":"<p><p>Zebrafish (Danio rerio), an alternative to rodents, are widely used in neurological, genetic, and toxicology research. The zebrafish larval spinal cord injury model has been used in neural mechanistic analyses owing to its high regenerative capacity and throughput; however, it also had several limitations in imitating rodents. Therefore, we investigated the use of adult zebrafish as an alternative model to rodents for evaluating nerve regeneration. Here, we established a novel spinal cord regeneration evaluation method, which was based on the maximum swimming speed of adult zebrafish in a custom-built hydrodynamic-based aquarium. The spinal cords of adult male zebrafish were crushed using forceps, and maximum swimming speed and histological spinal cord regeneration were evaluated. Spinal cord-injured zebrafish showed a significant decline in motor function, followed by recovery at 3 weeks postoperatively, accompanied by histological regeneration. Spinal cord regeneration can be indirectly assessed by monitoring maximum swimming speed. They were also fed a diet containing fig extract, which can promote peripheral nerve regeneration; they were fed daily starting 1 week before the operation. Maximum swimming speed was measured time-dependently until 3 weeks postoperatively. Fig-consuming fish showed improved recovery of maximum swimming speed compared to the controls, which was consistent with the histological analysis. In summary, we established a spinal cord regeneration assessment system using adult zebrafish in a customized aquarium, which enables researchers to evaluate spinal cord regeneration in adult zebrafish similar to that of rodent experiments, contributing to faster and easier screening of neuroregenerative technology.</p>","PeriodicalId":54862,"journal":{"name":"Journal of Comparative Physiology A-Neuroethology Sensory Neural and Behavioral Physiology","volume":" ","pages":"185-197"},"PeriodicalIF":2.2000,"publicationDate":"2025-03-01","publicationTypes":"Journal Article","fieldsOfStudy":null,"isOpenAccess":false,"openAccessPdf":"https://www.ncbi.nlm.nih.gov/pmc/articles/PMC12003591/pdf/","citationCount":"0","resultStr":null,"platform":"Semanticscholar","paperid":null,"PeriodicalName":"Journal of Comparative Physiology A-Neuroethology Sensory Neural and Behavioral Physiology","FirstCategoryId":"102","ListUrlMain":"https://doi.org/10.1007/s00359-024-01723-4","RegionNum":4,"RegionCategory":"心理学","ArticlePicture":[],"TitleCN":null,"AbstractTextCN":null,"PMCID":null,"EPubDate":"2024/11/12 0:00:00","PubModel":"Epub","JCR":"Q3","JCRName":"BEHAVIORAL SCIENCES","Score":null,"Total":0}
引用次数: 0

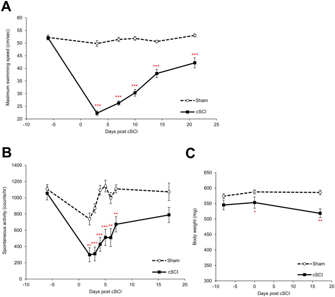
Abstract

Zebrafish (Danio rerio), an alternative to rodents, are widely used in neurological, genetic, and toxicology research. The zebrafish larval spinal cord injury model has been used in neural mechanistic analyses owing to its high regenerative capacity and throughput; however, it also had several limitations in imitating rodents. Therefore, we investigated the use of adult zebrafish as an alternative model to rodents for evaluating nerve regeneration. Here, we established a novel spinal cord regeneration evaluation method, which was based on the maximum swimming speed of adult zebrafish in a custom-built hydrodynamic-based aquarium. The spinal cords of adult male zebrafish were crushed using forceps, and maximum swimming speed and histological spinal cord regeneration were evaluated. Spinal cord-injured zebrafish showed a significant decline in motor function, followed by recovery at 3 weeks postoperatively, accompanied by histological regeneration. Spinal cord regeneration can be indirectly assessed by monitoring maximum swimming speed. They were also fed a diet containing fig extract, which can promote peripheral nerve regeneration; they were fed daily starting 1 week before the operation. Maximum swimming speed was measured time-dependently until 3 weeks postoperatively. Fig-consuming fish showed improved recovery of maximum swimming speed compared to the controls, which was consistent with the histological analysis. In summary, we established a spinal cord regeneration assessment system using adult zebrafish in a customized aquarium, which enables researchers to evaluate spinal cord regeneration in adult zebrafish similar to that of rodent experiments, contributing to faster and easier screening of neuroregenerative technology.

Abstract Image

Abstract Image

Abstract Image

利用挤压脊髓损伤的成年斑马鱼进行神经再生评估的新方法。
斑马鱼(Danio rerio)是啮齿类动物的替代品,被广泛用于神经学、遗传学和毒理学研究。斑马鱼幼体脊髓损伤模型因其再生能力强、处理量大而被用于神经机理分析;然而,它在模仿啮齿类动物方面也有一些局限性。因此,我们研究了使用成年斑马鱼作为啮齿类动物的替代模型来评估神经再生。在此,我们建立了一种新的脊髓再生评估方法,该方法基于成年斑马鱼在定制的水动力水族箱中的最大游动速度。用镊子夹碎成年雄性斑马鱼的脊髓,然后评估最大游动速度和组织学脊髓再生情况。脊髓损伤的斑马鱼运动功能显著下降,术后3周恢复,并伴有组织学再生。脊髓再生可通过监测最大游泳速度来间接评估。它们还被喂食含有无花果提取物的食物,无花果提取物可促进周围神经再生;它们从手术前一周开始每天被喂食这种食物。最大游泳速度的测量一直持续到术后 3 周。与对照组相比,食用无花果的鱼的最大游泳速度恢复情况有所改善,这与组织学分析结果一致。总之,我们利用定制水族箱中的成年斑马鱼建立了脊髓再生评估系统,使研究人员能够评估成年斑马鱼的脊髓再生情况,与啮齿类动物实验类似,有助于更快、更方便地筛选神经再生技术。
本文章由计算机程序翻译,如有差异,请以英文原文为准。
求助全文
约1分钟内获得全文 求助全文
来源期刊
CiteScore
4.80
自引率
14.30%
发文量
67
审稿时长
1 months
期刊介绍: The Journal of Comparative Physiology A welcomes original articles, short reviews, and short communications in the following fields: - Neurobiology and neuroethology - Sensory physiology and ecology - Physiological and hormonal basis of behavior - Communication, orientation, and locomotion - Functional imaging and neuroanatomy Contributions should add to our understanding of mechanisms and not be purely descriptive. The level of organization addressed may be organismic, cellular, or molecular. Colour figures are free in print and online.
×
引用
GB/T 7714-2015
复制
MLA
复制
APA
复制
导出至
BibTeX EndNote RefMan NoteFirst NoteExpress
×
提示
您的信息不完整,为了账户安全,请先补充。
现在去补充
×
提示
您因"违规操作"
具体请查看互助需知
我知道了
×
提示
确定
请完成安全验证×
copy
已复制链接
快去分享给好友吧!
我知道了
右上角分享
点击右上角分享
0
联系我们:info@booksci.cn Book学术提供免费学术资源搜索服务,方便国内外学者检索中英文文献。致力于提供最便捷和优质的服务体验。 Copyright © 2023 布克学术 All rights reserved.
京ICP备2023020795号-1
ghs 京公网安备 11010802042870号
Book学术文献互助
Book学术文献互助群
群 号:604180095
Book学术官方微信