Normal Value of Perfusion Index in Healthy Neonates Born in Iran.

IF 1 4区 医学 Q3 MEDICINE, GENERAL & INTERNAL
Maryam Saeedi, Razieh Sangsari, Kayvan Mirnia, Monireh Ghanbari
{"title":"Normal Value of Perfusion Index in Healthy Neonates Born in Iran.","authors":"Maryam Saeedi, Razieh Sangsari, Kayvan Mirnia, Monireh Ghanbari","doi":"10.34172/aim.31293","DOIUrl":null,"url":null,"abstract":"<p><strong>Background: </strong>Perfusion index is a dependable indicator for assessing the perfusion status of newborns. A low perfusion index indicates compromised hemodynamic function. The study aims to investigate perfusion index in asymptomatic newborns aged 35 to 41 weeks who did not require medical support.</p><p><strong>Methods: </strong>Healthy neonates born in four major maternity hospitals of Tehran University from 2019 to 2021 were selected. To ensure consistency and reliability in data collection, a detailed manual was developed and distributed, along with comprehensive training sessions for all personnel involved.</p><p><strong>Results: </strong>A total of 994 newborns entered the study. Among them, echocardiography was adversely affected in 218 neonates due to abnormal screening pulse oximetry. Of these 218 neonates, 53 were found to have abnormal echocardiography results. The median perfusion index value in healthy neonates was 1.6%, and the median oxygen saturation was 97%. A percentile perfusion index curve was developed for healthy neonates to establish a normal reference range.</p><p><strong>Conclusion: </strong>Developing a percentile perfusion index curve specific to healthy neonates provides a useful reference range for healthcare providers to assess perfusion status in this population, but further research is needed to confirm its accuracy.</p>","PeriodicalId":55469,"journal":{"name":"Archives of Iranian Medicine","volume":"27 11","pages":"606-610"},"PeriodicalIF":1.0000,"publicationDate":"2024-11-01","publicationTypes":"Journal Article","fieldsOfStudy":null,"isOpenAccess":false,"openAccessPdf":"https://www.ncbi.nlm.nih.gov/pmc/articles/PMC11558613/pdf/","citationCount":"0","resultStr":null,"platform":"Semanticscholar","paperid":null,"PeriodicalName":"Archives of Iranian Medicine","FirstCategoryId":"3","ListUrlMain":"https://doi.org/10.34172/aim.31293","RegionNum":4,"RegionCategory":"医学","ArticlePicture":[],"TitleCN":null,"AbstractTextCN":null,"PMCID":null,"EPubDate":"","PubModel":"","JCR":"Q3","JCRName":"MEDICINE, GENERAL & INTERNAL","Score":null,"Total":0}
引用次数: 0

Abstract

Background: Perfusion index is a dependable indicator for assessing the perfusion status of newborns. A low perfusion index indicates compromised hemodynamic function. The study aims to investigate perfusion index in asymptomatic newborns aged 35 to 41 weeks who did not require medical support.

Methods: Healthy neonates born in four major maternity hospitals of Tehran University from 2019 to 2021 were selected. To ensure consistency and reliability in data collection, a detailed manual was developed and distributed, along with comprehensive training sessions for all personnel involved.

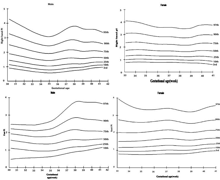
Results: A total of 994 newborns entered the study. Among them, echocardiography was adversely affected in 218 neonates due to abnormal screening pulse oximetry. Of these 218 neonates, 53 were found to have abnormal echocardiography results. The median perfusion index value in healthy neonates was 1.6%, and the median oxygen saturation was 97%. A percentile perfusion index curve was developed for healthy neonates to establish a normal reference range.

Conclusion: Developing a percentile perfusion index curve specific to healthy neonates provides a useful reference range for healthcare providers to assess perfusion status in this population, but further research is needed to confirm its accuracy.

Abstract Image

伊朗健康新生儿血流灌注指数的正常值
背景:灌注指数是评估新生儿灌注状态的可靠指标:灌注指数是评估新生儿灌注状态的可靠指标。灌注指数低表明血液动力学功能受损。本研究旨在调查 35 至 41 周无症状、不需要医疗支持的新生儿的灌注指数。方法:选取 2019 年至 2021 年在德黑兰大学四家主要妇产医院出生的健康新生儿。为确保数据收集的一致性和可靠性,制定并分发了详细的手册,同时对所有相关人员进行了全面培训:共有 994 名新生儿参与研究。结果:共有 994 名新生儿参与研究,其中 218 名新生儿因脉搏血氧饱和度筛查异常而影响超声心动图检查。在这 218 名新生儿中,有 53 名被发现超声心动图结果异常。健康新生儿的灌注指数中位值为 1.6%,血氧饱和度中位值为 97%。我们为健康新生儿制定了百分位数灌注指数曲线,以确定正常参考范围:结论:绘制健康新生儿的百分位数灌注指数曲线为医护人员评估该人群的灌注状况提供了有用的参考范围,但仍需进一步研究以确认其准确性。
本文章由计算机程序翻译,如有差异,请以英文原文为准。
求助全文
约1分钟内获得全文 求助全文
来源期刊
Archives of Iranian Medicine
Archives of Iranian Medicine 医学-医学:内科
CiteScore
4.20
自引率
0.00%
发文量
67
审稿时长
3-8 weeks
期刊介绍: Aim and Scope: The Archives of Iranian Medicine (AIM) is a monthly peer-reviewed multidisciplinary medical publication. The journal welcomes contributions particularly relevant to the Middle-East region and publishes biomedical experiences and clinical investigations on prevalent diseases in the region as well as analyses of factors that may modulate the incidence, course, and management of diseases and pertinent medical problems. Manuscripts with didactic orientation and subjects exclusively of local interest will not be considered for publication.The 2016 Impact Factor of "Archives of Iranian Medicine" is 1.20.
×
引用
GB/T 7714-2015
复制
MLA
复制
APA
复制
导出至
BibTeX EndNote RefMan NoteFirst NoteExpress
×
提示
您的信息不完整,为了账户安全,请先补充。
现在去补充
×
提示
您因"违规操作"
具体请查看互助需知
我知道了
×
提示
确定
请完成安全验证×
copy
已复制链接
快去分享给好友吧!
我知道了
右上角分享
点击右上角分享
0
联系我们:info@booksci.cn Book学术提供免费学术资源搜索服务,方便国内外学者检索中英文文献。致力于提供最便捷和优质的服务体验。 Copyright © 2023 布克学术 All rights reserved.
京ICP备2023020795号-1
ghs 京公网安备 11010802042870号
Book学术文献互助
Book学术文献互助群
群 号:604180095
Book学术官方微信