Safety, tolerability, and immunogenicity of PIKA-adjuvanted recombinant SARS-CoV-2 spike protein subunit vaccine in healthy adults: an open-label randomized phase I clinical trial.

IF 1.3 Q4 IMMUNOLOGY
Renan James Lim, Xiangyan Qiu, Robert Neil Leong, Jose Limuel Gutierrez, Ahmad Halima, Mohamed Mostafa, Yasser Ghoneim, Mostafa Abdrabo, Moaz Rashad, Suad Hannawi, Yuan Liu, Zenaida Mojares
{"title":"Safety, tolerability, and immunogenicity of PIKA-adjuvanted recombinant SARS-CoV-2 spike protein subunit vaccine in healthy adults: an open-label randomized phase I clinical trial.","authors":"Renan James Lim, Xiangyan Qiu, Robert Neil Leong, Jose Limuel Gutierrez, Ahmad Halima, Mohamed Mostafa, Yasser Ghoneim, Mostafa Abdrabo, Moaz Rashad, Suad Hannawi, Yuan Liu, Zenaida Mojares","doi":"10.7774/cevr.2024.13.4.315","DOIUrl":null,"url":null,"abstract":"<p><strong>Purpose: </strong>This phase I study aimed to assess the safety, tolerability, and immunogenicity of the PIKA-adjuvanted recombinant severe acute respiratory syndrome coronavirus 2 (SARS-CoV-2) spike (S) protein subunit vaccine in healthy adults aged 18 years and older.</p><p><strong>Materials and methods: </strong>This is a phase I, open-label, dose-escalation study at three dose levels (5 µg, 10 µg, and 20 µg) of the PIKA coronavirus disease 2019 (COVID-19) vaccine administered intramuscularly. The three vaccine arms are (A) subjects who have never received any COVID-19 vaccination or have had COVID-19 infection for >6 months prior to enrolment; (B1) subjects whose COVID-19 primary vaccination series was completed with an inactivated COVID-19 vaccine; and (B2) subjects whose primary series was completed with messenger RNA COVID-19 vaccine.</p><p><strong>Results: </strong>Subjects who reported solicited adverse events (AEs) within seven days post-vaccination ranged from 35% to 60% within each vaccine arm. Most solicited AEs were mild local pain and tenderness. Systemic solicited AEs were only reported in Arm A. In all three vaccine arms, neutralizing antibody geometric mean titers were highest at day 28 (Arms B1 and B2) or day 35 (Arm A) than at baseline for all dose levels against the Wuhan (wild original SARS-CoV-2 virus, Wuhan-Hu-1), Delta (B.1.617.2), and Omicron (B.1.1.529) variants. These were sustained at day 183. Seroconversion rates at day 35 (Arm A, 85.7%-92.9%) or day 183 (Arms B1, 90.9%-100.0%, and B2, 18.2%-36.4%) and geometric mean fold rises were highest in the 5-µg dose level against all three variants.</p><p><strong>Conclusion: </strong>The PIKA-adjuvanted recombinant SARS-CoV-2 S protein subunit vaccine showed promising immunogenicity profile with no safety concerns. A dose-dependent immune response was observed, with slight advantages seen in low-dose (5 µg and 10 µg) groups (ClinicalTrials.gov registration number: NCT05305300).</p>","PeriodicalId":51768,"journal":{"name":"Clinical and Experimental Vaccine Research","volume":"13 4","pages":"315-328"},"PeriodicalIF":1.3000,"publicationDate":"2024-10-01","publicationTypes":"Journal Article","fieldsOfStudy":null,"isOpenAccess":false,"openAccessPdf":"https://www.ncbi.nlm.nih.gov/pmc/articles/PMC11543792/pdf/","citationCount":"0","resultStr":null,"platform":"Semanticscholar","paperid":null,"PeriodicalName":"Clinical and Experimental Vaccine Research","FirstCategoryId":"1085","ListUrlMain":"https://doi.org/10.7774/cevr.2024.13.4.315","RegionNum":0,"RegionCategory":null,"ArticlePicture":[],"TitleCN":null,"AbstractTextCN":null,"PMCID":null,"EPubDate":"2024/10/31 0:00:00","PubModel":"Epub","JCR":"Q4","JCRName":"IMMUNOLOGY","Score":null,"Total":0}
引用次数: 0

Abstract

Purpose: This phase I study aimed to assess the safety, tolerability, and immunogenicity of the PIKA-adjuvanted recombinant severe acute respiratory syndrome coronavirus 2 (SARS-CoV-2) spike (S) protein subunit vaccine in healthy adults aged 18 years and older.

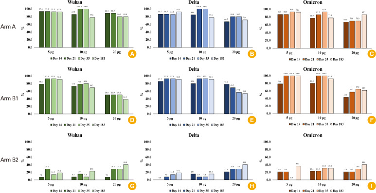
Materials and methods: This is a phase I, open-label, dose-escalation study at three dose levels (5 µg, 10 µg, and 20 µg) of the PIKA coronavirus disease 2019 (COVID-19) vaccine administered intramuscularly. The three vaccine arms are (A) subjects who have never received any COVID-19 vaccination or have had COVID-19 infection for >6 months prior to enrolment; (B1) subjects whose COVID-19 primary vaccination series was completed with an inactivated COVID-19 vaccine; and (B2) subjects whose primary series was completed with messenger RNA COVID-19 vaccine.

Results: Subjects who reported solicited adverse events (AEs) within seven days post-vaccination ranged from 35% to 60% within each vaccine arm. Most solicited AEs were mild local pain and tenderness. Systemic solicited AEs were only reported in Arm A. In all three vaccine arms, neutralizing antibody geometric mean titers were highest at day 28 (Arms B1 and B2) or day 35 (Arm A) than at baseline for all dose levels against the Wuhan (wild original SARS-CoV-2 virus, Wuhan-Hu-1), Delta (B.1.617.2), and Omicron (B.1.1.529) variants. These were sustained at day 183. Seroconversion rates at day 35 (Arm A, 85.7%-92.9%) or day 183 (Arms B1, 90.9%-100.0%, and B2, 18.2%-36.4%) and geometric mean fold rises were highest in the 5-µg dose level against all three variants.

Conclusion: The PIKA-adjuvanted recombinant SARS-CoV-2 S protein subunit vaccine showed promising immunogenicity profile with no safety concerns. A dose-dependent immune response was observed, with slight advantages seen in low-dose (5 µg and 10 µg) groups (ClinicalTrials.gov registration number: NCT05305300).

Abstract Image

Abstract Image

Abstract Image

健康成人接种 PIKA 佐剂重组 SARS-CoV-2 穗状病毒亚单位疫苗的安全性、耐受性和免疫原性:开放标签随机 I 期临床试验。
目的:本 I 期研究旨在评估 PIKA 佐剂重组严重急性呼吸系统综合征冠状病毒 2(SARS-CoV-2)尖峰(S)蛋白亚单位疫苗在 18 岁及以上健康成人中的安全性、耐受性和免疫原性:这是一项 I 期、开放标签、剂量递增研究,采用三种剂量水平(5 微克、10 微克和 20 微克)肌肉注射 PIKA 冠状病毒病 2019(COVID-19)疫苗。三个疫苗接种组分别是:(A) 从未接种过任何COVID-19疫苗或在入组前感染COVID-19超过6个月的受试者;(B1) 接种COVID-19灭活疫苗后完成COVID-19初级接种系列的受试者;(B2) 接种COVID-19信使核糖核酸疫苗后完成初级接种系列的受试者:接种后七天内报告不良反应(AEs)的受试者在各疫苗组中占35%至60%。大多数诱发不良反应为轻微的局部疼痛和触痛。在所有三个疫苗接种组中,中和抗体几何平均滴度在第 28 天(接种组 B1 和 B2)或第 35 天(接种组 A)比基线时最高,所有剂量水平的抗体都是针对武汉(野生原始 SARS-CoV-2 病毒,武汉-Hu-1)、Delta(B.1.617.2)和 Omicron(B.1.1.529)变种的。这些结果在第 183 天得以维持。第 35 天(A 组,85.7%-92.9%)或第 183 天(B1 组,90.9%-100.0%;B2 组,18.2%-36.4%)的血清转换率和几何平均折叠上升率在 5µg 剂量水平上针对所有三种变异体最高:结论:PIKA 佐剂重组 SARS-CoV-2 S 蛋白亚单位疫苗显示出良好的免疫原性,没有安全性问题。观察到了剂量依赖性免疫反应,低剂量组(5 微克和 10 微克)略胜一筹(ClinicalTrials.gov 注册号:NCT05305300)。
本文章由计算机程序翻译,如有差异,请以英文原文为准。
求助全文
约1分钟内获得全文 求助全文
来源期刊
CiteScore
3.70
自引率
3.70%
发文量
29
审稿时长
8 weeks
期刊介绍: Clin Exp Vaccine Res, the official English journal of the Korean Vaccine Society, is an international, peer reviewed, and open-access journal. It covers all areas related to vaccines and vaccination. Clin Exp Vaccine Res publishes editorials, review articles, special articles, original articles, case reports, brief communications, and correspondences covering a wide range of clinical and experimental subjects including vaccines and vaccination for human and animals against infectious diseases caused by viruses, bacteria, parasites and tumor. The scope of the journal is to disseminate information that may contribute to elaborate vaccine development and vaccination strategies targeting infectious diseases and tumors in human and animals. Relevant topics range from experimental approaches to (pre)clinical trials for the vaccine research based on, but not limited to, basic laboratory, translational, and (pre)clinical investigations, epidemiology of infectious diseases and progression of all aspects in the health related issues. It is published printed and open accessed online issues (https://ecevr.org) two times per year in 31 January and 31 July. Clin Exp Vaccine Res is linked to many international databases and is made freely available to institutions and individuals worldwide
×
引用
GB/T 7714-2015
复制
MLA
复制
APA
复制
导出至
BibTeX EndNote RefMan NoteFirst NoteExpress
×
提示
您的信息不完整,为了账户安全,请先补充。
现在去补充
×
提示
您因"违规操作"
具体请查看互助需知
我知道了
×
提示
确定
请完成安全验证×
copy
已复制链接
快去分享给好友吧!
我知道了
右上角分享
点击右上角分享
0
联系我们:info@booksci.cn Book学术提供免费学术资源搜索服务,方便国内外学者检索中英文文献。致力于提供最便捷和优质的服务体验。 Copyright © 2023 布克学术 All rights reserved.
京ICP备2023020795号-1
ghs 京公网安备 11010802042870号
Book学术文献互助
Book学术文献互助群
群 号:604180095
Book学术官方微信