Effect of SpikoGen subunit vaccine administration during pregnancy on fetal development of rats.

IF 1.3 Q4 IMMUNOLOGY
Mehdi Aghsami, Hesham Aljoiber, Shabnam Mirfendereski, Negar Mottaghi-Dastjerdi, Javad Soltani, Hamidreza Aslani, Marjan Shariatpanahi
{"title":"Effect of SpikoGen subunit vaccine administration during pregnancy on fetal development of rats.","authors":"Mehdi Aghsami, Hesham Aljoiber, Shabnam Mirfendereski, Negar Mottaghi-Dastjerdi, Javad Soltani, Hamidreza Aslani, Marjan Shariatpanahi","doi":"10.7774/cevr.2024.13.4.301","DOIUrl":null,"url":null,"abstract":"<p><strong>Purpose: </strong>The effects of coronavirus disease 2019 vaccination on fertility and pregnancy have turned out to be a main topic of public attention. Inactivated or recombinant protein vaccines are a reliable and safe method but mostly suffer from weak immunogenicity just in case formulated with a suitable adjuvant. The purpose of this research was to assess the impacts of new SpikoGen subunit vaccine administration during pregnancy on organogenesis in the rat fetus, which is a novel achievement in teratogenesis studies.</p><p><strong>Materials and methods: </strong>In the first group (G1) animals received normal saline. A dose of 25 µg of the vaccine was administered to groups of rats as follows: groups 2, 3, 4, and 5 received two doses of vaccine on different days before and after start of pregnancy. On day 21, after the caesarean process, the effects of the vaccine were estimated by morphological, skeletal, and histological studies.</p><p><strong>Results: </strong>Administration of the SpikoGen vaccine had no significant effect on weight, head diameter, tail length, and length of the fetuses to their tail. There were no malformations, toes and legs were fully developed, and all internal organs of the fetus were completely formed. Also, there was no difference in the overall skeletal opacity and density between the control and treatment groups.</p><p><strong>Conclusion: </strong>The results of this study indicated no negative impacts of the vaccine administration during pregnancy on developing of fetuses in rats.</p>","PeriodicalId":51768,"journal":{"name":"Clinical and Experimental Vaccine Research","volume":"13 4","pages":"301-308"},"PeriodicalIF":1.3000,"publicationDate":"2024-10-01","publicationTypes":"Journal Article","fieldsOfStudy":null,"isOpenAccess":false,"openAccessPdf":"https://www.ncbi.nlm.nih.gov/pmc/articles/PMC11543795/pdf/","citationCount":"0","resultStr":null,"platform":"Semanticscholar","paperid":null,"PeriodicalName":"Clinical and Experimental Vaccine Research","FirstCategoryId":"1085","ListUrlMain":"https://doi.org/10.7774/cevr.2024.13.4.301","RegionNum":0,"RegionCategory":null,"ArticlePicture":[],"TitleCN":null,"AbstractTextCN":null,"PMCID":null,"EPubDate":"2024/10/31 0:00:00","PubModel":"Epub","JCR":"Q4","JCRName":"IMMUNOLOGY","Score":null,"Total":0}
引用次数: 0

Abstract

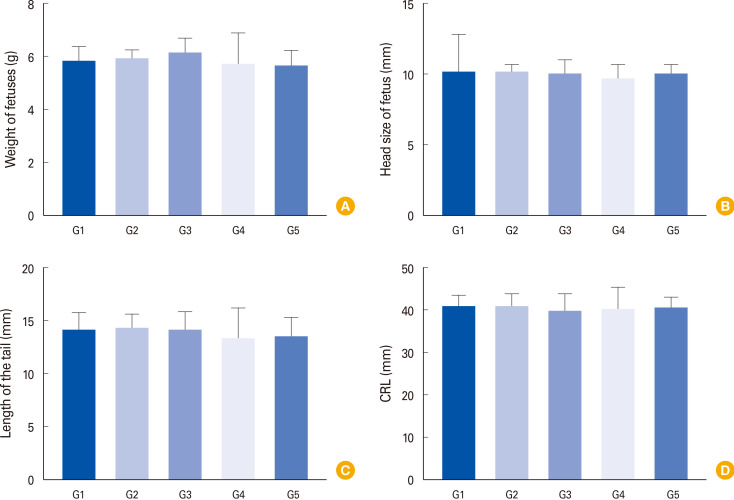
Purpose: The effects of coronavirus disease 2019 vaccination on fertility and pregnancy have turned out to be a main topic of public attention. Inactivated or recombinant protein vaccines are a reliable and safe method but mostly suffer from weak immunogenicity just in case formulated with a suitable adjuvant. The purpose of this research was to assess the impacts of new SpikoGen subunit vaccine administration during pregnancy on organogenesis in the rat fetus, which is a novel achievement in teratogenesis studies.

Materials and methods: In the first group (G1) animals received normal saline. A dose of 25 µg of the vaccine was administered to groups of rats as follows: groups 2, 3, 4, and 5 received two doses of vaccine on different days before and after start of pregnancy. On day 21, after the caesarean process, the effects of the vaccine were estimated by morphological, skeletal, and histological studies.

Results: Administration of the SpikoGen vaccine had no significant effect on weight, head diameter, tail length, and length of the fetuses to their tail. There were no malformations, toes and legs were fully developed, and all internal organs of the fetus were completely formed. Also, there was no difference in the overall skeletal opacity and density between the control and treatment groups.

Conclusion: The results of this study indicated no negative impacts of the vaccine administration during pregnancy on developing of fetuses in rats.

Abstract Image

Abstract Image

Abstract Image

孕期注射 SpikoGen 亚单位疫苗对大鼠胎儿发育的影响
目的:2019 年冠状病毒疾病疫苗接种对生育和妊娠的影响已成为公众关注的主要话题。灭活或重组蛋白疫苗是一种可靠而安全的方法,但大多存在免疫原性弱的问题,只是在使用适当佐剂的情况下。本研究的目的是评估孕期接种新型 SpikoGen 亚单位疫苗对大鼠胎儿器官发育的影响,这是致畸研究中的一项新成果:第一组(G1)动物接受生理盐水。第 2、3、4 和 5 组大鼠分别在妊娠开始前后的不同日子接种了两剂 25 µg 疫苗。剖腹产后第 21 天,通过形态学、骨骼和组织学研究评估疫苗的效果:结果:接种SpikoGen疫苗对胎儿的体重、头径、尾长和尾长没有明显影响。胎儿没有畸形,脚趾和腿完全发育,所有内脏器官完全形成。此外,对照组和治疗组在整体骨骼不透明度和密度方面没有差异:结论:本研究结果表明,怀孕期间注射疫苗对大鼠胎儿的发育没有负面影响。
本文章由计算机程序翻译,如有差异,请以英文原文为准。
求助全文
约1分钟内获得全文 求助全文
来源期刊
CiteScore
3.70
自引率
3.70%
发文量
29
审稿时长
8 weeks
期刊介绍: Clin Exp Vaccine Res, the official English journal of the Korean Vaccine Society, is an international, peer reviewed, and open-access journal. It covers all areas related to vaccines and vaccination. Clin Exp Vaccine Res publishes editorials, review articles, special articles, original articles, case reports, brief communications, and correspondences covering a wide range of clinical and experimental subjects including vaccines and vaccination for human and animals against infectious diseases caused by viruses, bacteria, parasites and tumor. The scope of the journal is to disseminate information that may contribute to elaborate vaccine development and vaccination strategies targeting infectious diseases and tumors in human and animals. Relevant topics range from experimental approaches to (pre)clinical trials for the vaccine research based on, but not limited to, basic laboratory, translational, and (pre)clinical investigations, epidemiology of infectious diseases and progression of all aspects in the health related issues. It is published printed and open accessed online issues (https://ecevr.org) two times per year in 31 January and 31 July. Clin Exp Vaccine Res is linked to many international databases and is made freely available to institutions and individuals worldwide
×
引用
GB/T 7714-2015
复制
MLA
复制
APA
复制
导出至
BibTeX EndNote RefMan NoteFirst NoteExpress
×
提示
您的信息不完整,为了账户安全,请先补充。
现在去补充
×
提示
您因"违规操作"
具体请查看互助需知
我知道了
×
提示
确定
请完成安全验证×
copy
已复制链接
快去分享给好友吧!
我知道了
右上角分享
点击右上角分享
0
联系我们:info@booksci.cn Book学术提供免费学术资源搜索服务,方便国内外学者检索中英文文献。致力于提供最便捷和优质的服务体验。 Copyright © 2023 布克学术 All rights reserved.
京ICP备2023020795号-1
ghs 京公网安备 11010802042870号
Book学术文献互助
Book学术文献互助群
群 号:604180095
Book学术官方微信