Magnitude of antigen-specific T-cell immunity the month after completing vaccination series predicts the development of long-term persistence of antitumor immune response.

IF 10.6 1区 医学 Q1 IMMUNOLOGY
John B Liao, James Y Dai, Jessica L Reichow, Jong-Baeck Lim, Katie M Hitchcock-Bernhardt, Sasha E Stanton, Lupe G Salazar, Theodore A Gooley, Mary L Disis
{"title":"Magnitude of antigen-specific T-cell immunity the month after completing vaccination series predicts the development of long-term persistence of antitumor immune response.","authors":"John B Liao, James Y Dai, Jessica L Reichow, Jong-Baeck Lim, Katie M Hitchcock-Bernhardt, Sasha E Stanton, Lupe G Salazar, Theodore A Gooley, Mary L Disis","doi":"10.1136/jitc-2024-010251","DOIUrl":null,"url":null,"abstract":"<p><strong>Background: </strong>For best efficacy, vaccines must provide long-lasting immunity. To measure longevity, memory from B and T cells are surrogate endpoints for vaccine efficacy. When antibodies are insufficient for protection, the immune response must rely on T cells. The magnitude and differentiation of effective, durable immune responses depend on antigen-specific precursor frequencies. However, development of vaccines that induce durable T-cell responses for cancer treatment has remained elusive.</p><p><strong>Methods: </strong>To address long-lasting immunity, patients with HER2+ (human epidermal growth factor receptor 2) advanced stage cancer received HER2/neu targeted vaccines. Interferon-gamma (IFN-γ) enzyme-linked immunosorbent spot measuring HER2/neu IFN-γ T cells were analyzed from 86 patients from three time points: baseline, 1 month after vaccine series, and long-term follow-up at 1 year, following one in vitro stimulation. The baseline and 1-month post-vaccine series responses were correlated with immunity at long-term follow-up by logistic regression. Immunity was modeled by non-linear functions using generalized additive models.</p><p><strong>Results: </strong>Antigen-specific T-cell responses at baseline were associated with a 0.33-log increase in response at long-term follow-up, 95% CI (0.11, 0.54), p=0.003. 63% of patients that had HER2/neu specific T cells at baseline continued to have responses at long-term follow-up. Increased HER2/neu specific T-cell response 1 month after the vaccine series was associated with a 0.47-log increase in T-cell response at long-term follow-up, 95% CI (0.27, 0.67), p=2e-5. 74% of patients that had an increased IFN-γ HER2 response 1 month after vaccines retained immunity long-term. As the 1-month post-vaccination series precursor frequency of HER2+IFN-γ T-cell responses increased, the probability of retaining these responses long-term increased (OR=1.49 for every one natural log increase of precursor frequency, p=0.0002), reaching an OR of 20 for a precursor frequency of 1:3,000 CONCLUSIONS: Patients not destined to achieve long-term immunity can be identified immediately after completing the vaccine series. Log-fold increases in antigen-specific precursor frequencies after vaccinations correlate with increased odds of retaining long-term HER2 immune responses. Further vaccine boosting or immune checkpoint inhibitors or other immune stimulator therapy should be explored in patients that do not develop antigen-specific T-cell responses to improve overall response rates.</p>","PeriodicalId":14820,"journal":{"name":"Journal for Immunotherapy of Cancer","volume":"12 11","pages":""},"PeriodicalIF":10.6000,"publicationDate":"2024-11-09","publicationTypes":"Journal Article","fieldsOfStudy":null,"isOpenAccess":false,"openAccessPdf":"https://www.ncbi.nlm.nih.gov/pmc/articles/PMC11552009/pdf/","citationCount":"0","resultStr":null,"platform":"Semanticscholar","paperid":null,"PeriodicalName":"Journal for Immunotherapy of Cancer","FirstCategoryId":"3","ListUrlMain":"https://doi.org/10.1136/jitc-2024-010251","RegionNum":1,"RegionCategory":"医学","ArticlePicture":[],"TitleCN":null,"AbstractTextCN":null,"PMCID":null,"EPubDate":"","PubModel":"","JCR":"Q1","JCRName":"IMMUNOLOGY","Score":null,"Total":0}
引用次数: 0

Abstract

Background: For best efficacy, vaccines must provide long-lasting immunity. To measure longevity, memory from B and T cells are surrogate endpoints for vaccine efficacy. When antibodies are insufficient for protection, the immune response must rely on T cells. The magnitude and differentiation of effective, durable immune responses depend on antigen-specific precursor frequencies. However, development of vaccines that induce durable T-cell responses for cancer treatment has remained elusive.

Methods: To address long-lasting immunity, patients with HER2+ (human epidermal growth factor receptor 2) advanced stage cancer received HER2/neu targeted vaccines. Interferon-gamma (IFN-γ) enzyme-linked immunosorbent spot measuring HER2/neu IFN-γ T cells were analyzed from 86 patients from three time points: baseline, 1 month after vaccine series, and long-term follow-up at 1 year, following one in vitro stimulation. The baseline and 1-month post-vaccine series responses were correlated with immunity at long-term follow-up by logistic regression. Immunity was modeled by non-linear functions using generalized additive models.

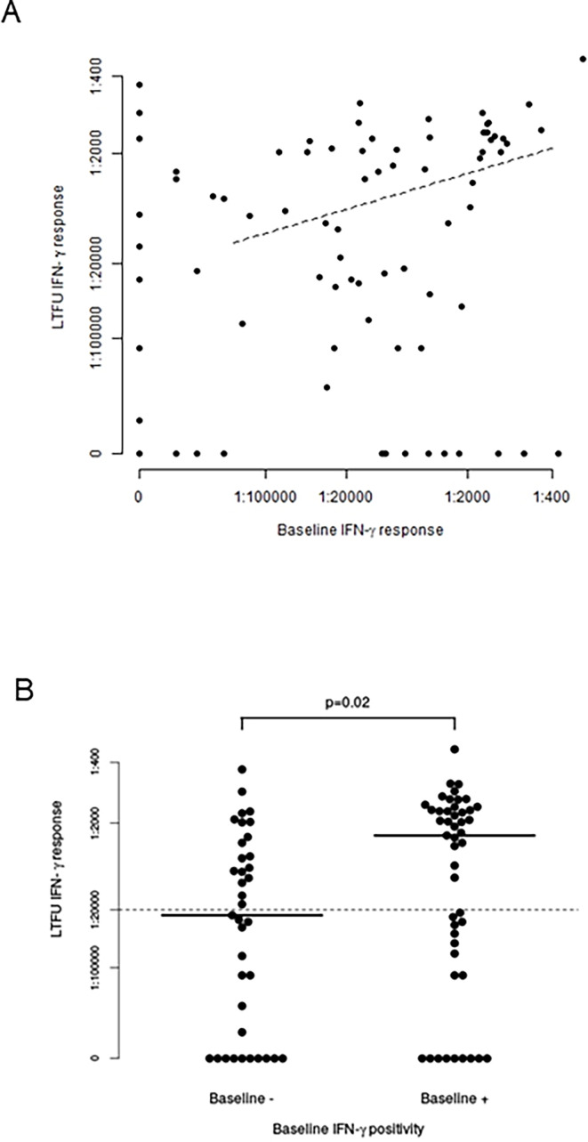
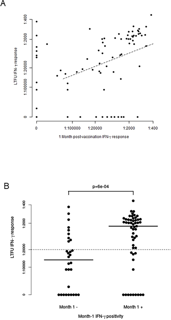
Results: Antigen-specific T-cell responses at baseline were associated with a 0.33-log increase in response at long-term follow-up, 95% CI (0.11, 0.54), p=0.003. 63% of patients that had HER2/neu specific T cells at baseline continued to have responses at long-term follow-up. Increased HER2/neu specific T-cell response 1 month after the vaccine series was associated with a 0.47-log increase in T-cell response at long-term follow-up, 95% CI (0.27, 0.67), p=2e-5. 74% of patients that had an increased IFN-γ HER2 response 1 month after vaccines retained immunity long-term. As the 1-month post-vaccination series precursor frequency of HER2+IFN-γ T-cell responses increased, the probability of retaining these responses long-term increased (OR=1.49 for every one natural log increase of precursor frequency, p=0.0002), reaching an OR of 20 for a precursor frequency of 1:3,000 CONCLUSIONS: Patients not destined to achieve long-term immunity can be identified immediately after completing the vaccine series. Log-fold increases in antigen-specific precursor frequencies after vaccinations correlate with increased odds of retaining long-term HER2 immune responses. Further vaccine boosting or immune checkpoint inhibitors or other immune stimulator therapy should be explored in patients that do not develop antigen-specific T-cell responses to improve overall response rates.

Abstract Image

Abstract Image

Abstract Image

完成系列疫苗接种后一个月内抗原特异性 T 细胞免疫的强度可预测抗肿瘤免疫反应的长期持续性。
背景:为达到最佳疗效,疫苗必须提供持久的免疫力。为了衡量疫苗的长效性,B 细胞和 T 细胞的记忆是疫苗疗效的替代终点。当抗体不足以提供保护时,免疫反应必须依靠 T 细胞。有效、持久的免疫反应的强度和分化取决于抗原特异性前体的频率。然而,用于癌症治疗的可诱导持久 T 细胞应答的疫苗仍未研发成功:为了解决持久免疫问题,HER2+(人表皮生长因子受体 2)晚期癌症患者接受了 HER2/neu 靶向疫苗。从基线、疫苗接种后 1 个月以及体外刺激 1 次后 1 年的长期随访三个时间点分析了 86 名患者的干扰素-γ(IFN-γ)酶联免疫吸附斑点,测量 HER2/neu IFN-γ T 细胞。基线和疫苗接种后 1 个月的反应与长期随访时的免疫力通过逻辑回归相关联。免疫力是通过使用广义相加模型的非线性函数来模拟的:基线时的抗原特异性 T 细胞应答与长期随访时的应答增加 0.33 个对数值相关,95% CI (0.11, 0.54),p=0.003。基线时有HER2/neu特异性T细胞的患者中,63%在长期随访时仍有反应。疫苗接种后 1 个月,HER2/neu 特异性 T 细胞应答增加与长期随访时 T 细胞应答增加 0.47 个对数值相关,95% CI (0.27, 0.67),p=2e-5。接种疫苗 1 个月后 IFN-γ HER2 反应增强的患者中,74% 长期保持免疫力。随着疫苗接种后 1 个月 HER2+IFN-γ T 细胞反应系列前体频率的增加,长期保留这些反应的概率也增加了(前体频率每增加一个自然对数,OR=1.49,p=0.0002),前体频率为 1:3,000 时,OR 为 20:完成系列疫苗接种后,可立即识别出不会获得长期免疫力的患者。接种疫苗后抗原特异性前体频率的对数倍增加与保持长期HER2免疫反应的几率增加相关。对于未产生抗原特异性 T 细胞应答的患者,应进一步探索疫苗强化或免疫检查点抑制剂或其他免疫刺激疗法,以提高总体应答率。
本文章由计算机程序翻译,如有差异,请以英文原文为准。
求助全文
约1分钟内获得全文 求助全文
来源期刊
Journal for Immunotherapy of Cancer
Journal for Immunotherapy of Cancer Biochemistry, Genetics and Molecular Biology-Molecular Medicine
CiteScore
17.70
自引率
4.60%
发文量
522
审稿时长
18 weeks
期刊介绍: The Journal for ImmunoTherapy of Cancer (JITC) is a peer-reviewed publication that promotes scientific exchange and deepens knowledge in the constantly evolving fields of tumor immunology and cancer immunotherapy. With an open access format, JITC encourages widespread access to its findings. The journal covers a wide range of topics, spanning from basic science to translational and clinical research. Key areas of interest include tumor-host interactions, the intricate tumor microenvironment, animal models, the identification of predictive and prognostic immune biomarkers, groundbreaking pharmaceutical and cellular therapies, innovative vaccines, combination immune-based treatments, and the study of immune-related toxicity.
×
引用
GB/T 7714-2015
复制
MLA
复制
APA
复制
导出至
BibTeX EndNote RefMan NoteFirst NoteExpress
×
提示
您的信息不完整,为了账户安全,请先补充。
现在去补充
×
提示
您因"违规操作"
具体请查看互助需知
我知道了
×
提示
确定
请完成安全验证×
copy
已复制链接
快去分享给好友吧!
我知道了
右上角分享
点击右上角分享
0
联系我们:info@booksci.cn Book学术提供免费学术资源搜索服务,方便国内外学者检索中英文文献。致力于提供最便捷和优质的服务体验。 Copyright © 2023 布克学术 All rights reserved.
京ICP备2023020795号-1
ghs 京公网安备 11010802042870号
Book学术文献互助
Book学术文献互助群
群 号:604180095
Book学术官方微信