The Donnan equilibrium is still valid in high-volume HDF.

IF 1.3 4区 医学 Q4 ENGINEERING, BIOMEDICAL
Malte Gross, Alfred Gagel, Andreas Maierhofer
{"title":"The Donnan equilibrium is still valid in high-volume HDF.","authors":"Malte Gross, Alfred Gagel, Andreas Maierhofer","doi":"10.1177/03913988241296699","DOIUrl":null,"url":null,"abstract":"<p><p>Clinical studies have shown that hemodiafiltration reduces morbidity and mortality of dialysis patients compared to hemodialysis alone. This is attributed to its superior middle molecule clearance compared to standard hemodialysis. However, doubts arose as to whether a high convective flux through the dialyzer membrane has an influence on the equilibrium concentration of small ions, especially that of sodium. Due to the presence of negatively charged impermeable proteins on the blood side, the Gibbs-Donnan effect leads to an asymmetric distribution of membrane permeable ions on both sides of the membrane. In thermodynamic equilibrium, the concentrations of those ions can easily be calculated. However, the convective fluid flow leads to deviations from thermodynamic equilibrium. In this article, the effect of a convective flow on the ion distribution across a semipermeable membrane is analyzed in a theoretical model. Starting from the extended Nernst-Planck equation, including diffusive, convective, and electrostatic effects, a set of differential equations is derived. An approximate solution for flow speeds up to 0.1 ms<sup>-1</sup> as well as a numerical solution are given. The results show that in any practical dialysis setting the convective flow has negligible influence on the electrolyte concentrations.</p>","PeriodicalId":13932,"journal":{"name":"International Journal of Artificial Organs","volume":" ","pages":"867-875"},"PeriodicalIF":1.3000,"publicationDate":"2024-12-01","publicationTypes":"Journal Article","fieldsOfStudy":null,"isOpenAccess":false,"openAccessPdf":"https://www.ncbi.nlm.nih.gov/pmc/articles/PMC11613633/pdf/","citationCount":"0","resultStr":null,"platform":"Semanticscholar","paperid":null,"PeriodicalName":"International Journal of Artificial Organs","FirstCategoryId":"5","ListUrlMain":"https://doi.org/10.1177/03913988241296699","RegionNum":4,"RegionCategory":"医学","ArticlePicture":[],"TitleCN":null,"AbstractTextCN":null,"PMCID":null,"EPubDate":"2024/11/13 0:00:00","PubModel":"Epub","JCR":"Q4","JCRName":"ENGINEERING, BIOMEDICAL","Score":null,"Total":0}
引用次数: 0

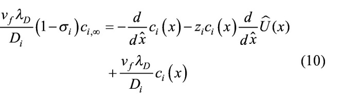
Abstract

Clinical studies have shown that hemodiafiltration reduces morbidity and mortality of dialysis patients compared to hemodialysis alone. This is attributed to its superior middle molecule clearance compared to standard hemodialysis. However, doubts arose as to whether a high convective flux through the dialyzer membrane has an influence on the equilibrium concentration of small ions, especially that of sodium. Due to the presence of negatively charged impermeable proteins on the blood side, the Gibbs-Donnan effect leads to an asymmetric distribution of membrane permeable ions on both sides of the membrane. In thermodynamic equilibrium, the concentrations of those ions can easily be calculated. However, the convective fluid flow leads to deviations from thermodynamic equilibrium. In this article, the effect of a convective flow on the ion distribution across a semipermeable membrane is analyzed in a theoretical model. Starting from the extended Nernst-Planck equation, including diffusive, convective, and electrostatic effects, a set of differential equations is derived. An approximate solution for flow speeds up to 0.1 ms-1 as well as a numerical solution are given. The results show that in any practical dialysis setting the convective flow has negligible influence on the electrolyte concentrations.

Abstract Image

Abstract Image

Abstract Image

在高容量高密度纤维板中,唐南平衡仍然有效。
临床研究表明,与单纯的血液透析相比,血液透析滤过可降低透析患者的发病率和死亡率。这归因于血液透析比标准血液透析具有更高的中间分子清除率。然而,通过透析器膜的高对流流量是否会影响小离子的平衡浓度,尤其是钠离子的平衡浓度,这一点引起了人们的怀疑。由于血液一侧存在带负电荷的不渗透蛋白质,吉布斯-多南效应导致膜渗透离子在膜两侧的不对称分布。在热力学平衡状态下,这些离子的浓度很容易计算。然而,对流导致偏离热力学平衡。本文通过一个理论模型分析了对流对半透膜上离子分布的影响。从扩展的内斯特-普朗克方程(包括扩散、对流和静电效应)出发,推导出一组微分方程。给出了流速高达 0.1 ms-1 的近似解法和数值解法。结果表明,在任何实际透析环境中,对流对电解质浓度的影响都可以忽略不计。
本文章由计算机程序翻译,如有差异,请以英文原文为准。
求助全文
约1分钟内获得全文 求助全文
来源期刊
International Journal of Artificial Organs
International Journal of Artificial Organs 医学-工程:生物医学
CiteScore
3.40
自引率
5.90%
发文量
92
审稿时长
3 months
期刊介绍: The International Journal of Artificial Organs (IJAO) publishes peer-reviewed research and clinical, experimental and theoretical, contributions to the field of artificial, bioartificial and tissue-engineered organs. The mission of the IJAO is to foster the development and optimization of artificial, bioartificial and tissue-engineered organs, for implantation or use in procedures, to treat functional deficits of all human tissues and organs.
×
引用
GB/T 7714-2015
复制
MLA
复制
APA
复制
导出至
BibTeX EndNote RefMan NoteFirst NoteExpress
×
提示
您的信息不完整,为了账户安全,请先补充。
现在去补充
×
提示
您因"违规操作"
具体请查看互助需知
我知道了
×
提示
确定
请完成安全验证×
copy
已复制链接
快去分享给好友吧!
我知道了
右上角分享
点击右上角分享
0
联系我们:info@booksci.cn Book学术提供免费学术资源搜索服务,方便国内外学者检索中英文文献。致力于提供最便捷和优质的服务体验。 Copyright © 2023 布克学术 All rights reserved.
京ICP备2023020795号-1
ghs 京公网安备 11010802042870号
Book学术文献互助
Book学术文献互助群
群 号:604180095
Book学术官方微信