Single Center Experience With Sodium-Glucose Co-Transporter-2 Inhibitors (SGLT2i) in Kidney Transplant Recipients With Diabetes.

IF 1.5 Q3 UROLOGY & NEPHROLOGY
Canadian Journal of Kidney Health and Disease Pub Date : 2024-11-11 eCollection Date: 2024-01-01 DOI:10.1177/20543581241293202
Albi Angjeli, Tess Montada-Atin, Rosane Nisenbaum, Niki Dacouris, Michelle Nash, G V Ramesh Prasad, Jeffrey Zaltzman
{"title":"Single Center Experience With Sodium-Glucose Co-Transporter-2 Inhibitors (SGLT2i) in Kidney Transplant Recipients With Diabetes.","authors":"Albi Angjeli, Tess Montada-Atin, Rosane Nisenbaum, Niki Dacouris, Michelle Nash, G V Ramesh Prasad, Jeffrey Zaltzman","doi":"10.1177/20543581241293202","DOIUrl":null,"url":null,"abstract":"<p><strong>Background: </strong>Sodium-glucose co-tranporter-2 inhibitors have been shown to be safe and effective in patients with type 2 diabetes for improving glycemia. Furthermore large, randomized control trials have shown cardiovascular and renal benefits. However, limited safety and efficacy data is available in kidney transplant patients with diabetes.</p><p><strong>Objective: </strong>To investigate the safety and efficacy of SGLT2i use on stability of renal function in adult kidney transplant recipients (KTR) with type 2 diabetes mellitus (DM2) or New Onset Diabetes After Transplantation (NODAT).</p><p><strong>Design: </strong>We performed a single center, retrospective cohort study pre- and post-SGLT2i exposure.</p><p><strong>Patients: </strong>Adults with DM2 or NODAT who received a living or deceased kidney transplant (Tx) and started on an SGLT2i post-Tx were reviewed. Patients who had type 1 diabetes were excluded.</p><p><strong>Measurements and methods: </strong>The baseline was the SGLT2i start date. We reviewed available data from 24 months (M) before and after SGLT2i initiation. The primary endpoints were the effects of SGLT2i use on stability of renal function using serum creatinine and eGFR, change in urine albumin excretion(uACR), and glycosylated hemoglobin (A1C). Secondary endpoints compared blood pressure, body mass index and adverse reactions at baseline and quarterly after SGLT2i initiation.</p><p><strong>Results: </strong>125 KTRs were included in cohort: NODAT (52, 42%), DM2 (73, 58%); female (33, 27%); mean age at Tx 55 years (25-75); LD (56, 45%), DD (69, 55%); mean duration of Tx (6.8 years, 0.1-42.5); study follow-up (1.8 years, 0.3-4.9).The mean eGFR remained stable pre-SGLT2i at 64.6 mL/min/1.73m<sup>2</sup>, vs post at 64.3 mL/min/1.73m<sup>2</sup>. There was no difference in mean A1C after SGLT2i initiation. The slope of uACR using natural log transformation pre-SGLT2i compared with post-SGLT2i slope reduced from +0.7 (0.03, 0.11) to -0.04 (-0.01, -0.35) mg/mmol/3mths (<i>P</i> = .002). The risk of developing new genital mycotic infections among all patients was 4% (95% CI 1.3%-9.1%) While there was no significant difference in UTI before (13.6%) and after (12%) SGLT2i use (<i>P</i> = .68), there was a higher risk of UTI seen in patients with a previous history of UTI (23.5%) vs no previous history (10.2%) post initiation. There was no significant increase in AKI pre 8%, post 10.4%, <i>P</i> = .51. There was a single DKA event pre- and post-SGLT2.</p><p><strong>Limitations: </strong>The limitations of this study include its retrospective nonrandomized nature.</p><p><strong>Conclusion: </strong>In this retrospective analysis, SGLT2i use in KTR appears to be safe and efficacious with stable renal function and glycemic control, alongside improvements in uACR. There was a low risk of new genital yeast infections after SGLT2i start. UTI occurrence was higher in patients with a previous history of UTI compared with those with no previous history.</p>","PeriodicalId":9426,"journal":{"name":"Canadian Journal of Kidney Health and Disease","volume":"11 ","pages":"20543581241293202"},"PeriodicalIF":1.5000,"publicationDate":"2024-11-11","publicationTypes":"Journal Article","fieldsOfStudy":null,"isOpenAccess":false,"openAccessPdf":"https://www.ncbi.nlm.nih.gov/pmc/articles/PMC11555736/pdf/","citationCount":"0","resultStr":null,"platform":"Semanticscholar","paperid":null,"PeriodicalName":"Canadian Journal of Kidney Health and Disease","FirstCategoryId":"1085","ListUrlMain":"https://doi.org/10.1177/20543581241293202","RegionNum":0,"RegionCategory":null,"ArticlePicture":[],"TitleCN":null,"AbstractTextCN":null,"PMCID":null,"EPubDate":"2024/1/1 0:00:00","PubModel":"eCollection","JCR":"Q3","JCRName":"UROLOGY & NEPHROLOGY","Score":null,"Total":0}
引用次数: 0

Abstract

Background: Sodium-glucose co-tranporter-2 inhibitors have been shown to be safe and effective in patients with type 2 diabetes for improving glycemia. Furthermore large, randomized control trials have shown cardiovascular and renal benefits. However, limited safety and efficacy data is available in kidney transplant patients with diabetes.

Objective: To investigate the safety and efficacy of SGLT2i use on stability of renal function in adult kidney transplant recipients (KTR) with type 2 diabetes mellitus (DM2) or New Onset Diabetes After Transplantation (NODAT).

Design: We performed a single center, retrospective cohort study pre- and post-SGLT2i exposure.

Patients: Adults with DM2 or NODAT who received a living or deceased kidney transplant (Tx) and started on an SGLT2i post-Tx were reviewed. Patients who had type 1 diabetes were excluded.

Measurements and methods: The baseline was the SGLT2i start date. We reviewed available data from 24 months (M) before and after SGLT2i initiation. The primary endpoints were the effects of SGLT2i use on stability of renal function using serum creatinine and eGFR, change in urine albumin excretion(uACR), and glycosylated hemoglobin (A1C). Secondary endpoints compared blood pressure, body mass index and adverse reactions at baseline and quarterly after SGLT2i initiation.

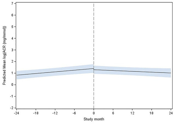
Results: 125 KTRs were included in cohort: NODAT (52, 42%), DM2 (73, 58%); female (33, 27%); mean age at Tx 55 years (25-75); LD (56, 45%), DD (69, 55%); mean duration of Tx (6.8 years, 0.1-42.5); study follow-up (1.8 years, 0.3-4.9).The mean eGFR remained stable pre-SGLT2i at 64.6 mL/min/1.73m2, vs post at 64.3 mL/min/1.73m2. There was no difference in mean A1C after SGLT2i initiation. The slope of uACR using natural log transformation pre-SGLT2i compared with post-SGLT2i slope reduced from +0.7 (0.03, 0.11) to -0.04 (-0.01, -0.35) mg/mmol/3mths (P = .002). The risk of developing new genital mycotic infections among all patients was 4% (95% CI 1.3%-9.1%) While there was no significant difference in UTI before (13.6%) and after (12%) SGLT2i use (P = .68), there was a higher risk of UTI seen in patients with a previous history of UTI (23.5%) vs no previous history (10.2%) post initiation. There was no significant increase in AKI pre 8%, post 10.4%, P = .51. There was a single DKA event pre- and post-SGLT2.

Limitations: The limitations of this study include its retrospective nonrandomized nature.

Conclusion: In this retrospective analysis, SGLT2i use in KTR appears to be safe and efficacious with stable renal function and glycemic control, alongside improvements in uACR. There was a low risk of new genital yeast infections after SGLT2i start. UTI occurrence was higher in patients with a previous history of UTI compared with those with no previous history.

Abstract Image

Abstract Image

Abstract Image

糖尿病肾移植受者使用钠-葡萄糖协同转运体-2 抑制剂 (SGLT2i) 的单中心经验。
背景:钠-葡萄糖共转运体-2 抑制剂已被证明对改善 2 型糖尿病患者的血糖安全有效。此外,大型随机对照试验也显示了对心血管和肾脏的益处。然而,肾移植糖尿病患者使用该药的安全性和疗效数据有限:研究 SGLT2i 对患有 2 型糖尿病(DM2)或移植后新发糖尿病(NODAT)的成年肾移植受者(KTR)肾功能稳定性的安全性和有效性:我们在SGLT2i暴露前后进行了一项单中心回顾性队列研究:我们对接受活体或死体肾移植(Tx)并在移植后开始服用 SGLT2i 的 DM2 或 NODAT 成人患者进行了回顾性研究。不包括1型糖尿病患者:基线为开始使用 SGLT2i 的日期。我们回顾了开始使用 SGLT2i 之前和之后 24 个月(M)的可用数据。主要终点是使用 SGLT2i 对血清肌酐和 eGFR 肾功能稳定性的影响、尿白蛋白排泄量(uACR)的变化以及糖化血红蛋白(A1C)。次要终点比较了基线和开始使用 SGLT2i 后每季度的血压、体重指数和不良反应:结果:125 名 KTR 纳入队列:NODAT(52,42%),DM2(73,58%);女性(33,27%);平均治疗年龄 55 岁(25-75);LD(56,45%),DD(69,55%);平均治疗时间(6.SGLT2i治疗前的平均eGFR稳定在64.6 mL/min/1.73m2,治疗后为64.3 mL/min/1.73m2。使用 SGLT2i 后,平均 A1C 没有差异。SGLT2i前与SGLT2i后相比,采用自然对数转换的uACR斜率从+0.7 (0.03, 0.11) mg/mmol/3月降至-0.04 (-0.01, -0.35)mg/mmol/3月(P = .002)。虽然使用 SGLT2i 之前(13.6%)和之后(12%)的 UTI 没有显著差异(P = .68),但在开始使用后,有 UTI 既往史(23.5%)和无 UTI 既往史(10.2%)的患者发生 UTI 的风险更高。AKI 在启动前为 8%,启动后为 10.4%,P = 0.51。SGLT前后均发生过一次DKA事件2:本研究的局限性包括其回顾性非随机性质:在这项回顾性分析中,SGLT2i 用于 KTR 似乎安全有效,肾功能和血糖控制稳定,uACR 也有所改善。开始使用 SGLT2i 后,发生新的生殖器酵母感染的风险较低。与无尿毒症病史的患者相比,有尿毒症病史的患者发生尿毒症的几率更高。
本文章由计算机程序翻译,如有差异,请以英文原文为准。
求助全文
约1分钟内获得全文 求助全文
来源期刊
CiteScore
3.00
自引率
5.90%
发文量
84
审稿时长
12 weeks
期刊介绍: Canadian Journal of Kidney Health and Disease, the official journal of the Canadian Society of Nephrology, is an open access, peer-reviewed online journal that encourages high quality submissions focused on clinical, translational and health services delivery research in the field of chronic kidney disease, dialysis, kidney transplantation and organ donation. Our mandate is to promote and advocate for kidney health as it impacts national and international communities. Basic science, translational studies and clinical studies will be peer reviewed and processed by an Editorial Board comprised of geographically diverse Canadian and international nephrologists, internists and allied health professionals; this Editorial Board is mandated to ensure highest quality publications.
×
引用
GB/T 7714-2015
复制
MLA
复制
APA
复制
导出至
BibTeX EndNote RefMan NoteFirst NoteExpress
×
提示
您的信息不完整,为了账户安全,请先补充。
现在去补充
×
提示
您因"违规操作"
具体请查看互助需知
我知道了
×
提示
确定
请完成安全验证×
copy
已复制链接
快去分享给好友吧!
我知道了
右上角分享
点击右上角分享
0
联系我们:info@booksci.cn Book学术提供免费学术资源搜索服务,方便国内外学者检索中英文文献。致力于提供最便捷和优质的服务体验。 Copyright © 2023 布克学术 All rights reserved.
京ICP备2023020795号-1
ghs 京公网安备 11010802042870号
Book学术文献互助
Book学术文献互助群
群 号:604180095
Book学术官方微信