Left atrial strain in patients without cardiovascular disease: uncovering influencing and related factors.

IF 1.6 3区 医学 Q3 CARDIAC & CARDIOVASCULAR SYSTEMS
José Francisco Forteza-Albertí, Yolanda Rico, Alfonso Leiva, Pere Pericas, Francisco Gual-Capllonch, Lisandro Rivas-Catoni, Laura Gutiérrez García-Moreno, Antonio Rodríguez Fernández, Vicente Peral Disdier
{"title":"Left atrial strain in patients without cardiovascular disease: uncovering influencing and related factors.","authors":"José Francisco Forteza-Albertí, Yolanda Rico, Alfonso Leiva, Pere Pericas, Francisco Gual-Capllonch, Lisandro Rivas-Catoni, Laura Gutiérrez García-Moreno, Antonio Rodríguez Fernández, Vicente Peral Disdier","doi":"10.1186/s12947-024-00334-y","DOIUrl":null,"url":null,"abstract":"<p><strong>Background: </strong>Despite its proven prognostic value in different contexts, the precise implications of left atrial strain (LAS) assessment throughout different phases of the atrial cycle remain uncertain. A direct correlation between left atrial reservoir strain (LARS) and left ventricular global longitudinal strain (GLS) has been consistently demonstrated in several studies involving patients with various heart diseases. The objective of our study is to identify factors directly associated with LARS, left atrial conduction strain (LACS) and left atrial booster strain (LABS) in patients without cardiovascular (CV) disease.</p><p><strong>Methods: </strong>Transthoracic echocardiographic examinations in patients without CV disease were prospectively selected in two tertiary hospitals echocardiography labs for clinical purposes. LAS, maximal and minimal left atrial (LA) volumes and left atrial ejection fraction (LAEF) were measured using the two-dimensional strain analysis package provided by the EchoPAC Plugging workstation (AFI LA).</p><p><strong>Results: </strong>A total of 196 cases were included, median age of 54 (45-62) with 85 (43%) being men. The mean left ventricular ejection fraction (LVEF) was 61% ± 5, and the median GLS was - 18% (-17 to -20). Median indexed maximum volume of left atrium (LAVI) was 27 ml/m<sup>2</sup> (22-31), and LAEF was 64% (58-70). The mean LARS biplane was 35,1% ± 8. Notably, LARS was greater in the 2-chamber view (36,1% ± 10) compared to the 4-chamber view (34,1% ± 8 p < 0,05). The multivariate analysis of LARS revealed that sex, GLS, LAEF and e'<sub>mean</sub> are independently correlated with LARS. Multivariate analysis of LACS showed independent correlations between LACS and age, GLS, LAEF, E/A ratio and e'<sub>mean</sub>. Conversely, the multivariate analysis of LABS demonstrated significant correlations among A wave, e'<sub>mean</sub>, and left atrial stiffness index (LASI).</p><p><strong>Conclusions: </strong>In patients without CV disease, GLS emerges as a crucial determinant of LARS and LACS. LAEF and e'<sub>mean</sub> are directly and independently related to both LARS and LACS. LARS (univariate) and LACS (multivariate) exhibited a decline with older age in individuals without CV disease.</p>","PeriodicalId":9613,"journal":{"name":"Cardiovascular Ultrasound","volume":"22 1","pages":"15"},"PeriodicalIF":1.6000,"publicationDate":"2024-11-07","publicationTypes":"Journal Article","fieldsOfStudy":null,"isOpenAccess":false,"openAccessPdf":"https://www.ncbi.nlm.nih.gov/pmc/articles/PMC11542213/pdf/","citationCount":"0","resultStr":null,"platform":"Semanticscholar","paperid":null,"PeriodicalName":"Cardiovascular Ultrasound","FirstCategoryId":"3","ListUrlMain":"https://doi.org/10.1186/s12947-024-00334-y","RegionNum":3,"RegionCategory":"医学","ArticlePicture":[],"TitleCN":null,"AbstractTextCN":null,"PMCID":null,"EPubDate":"","PubModel":"","JCR":"Q3","JCRName":"CARDIAC & CARDIOVASCULAR SYSTEMS","Score":null,"Total":0}
引用次数: 0

Abstract

Background: Despite its proven prognostic value in different contexts, the precise implications of left atrial strain (LAS) assessment throughout different phases of the atrial cycle remain uncertain. A direct correlation between left atrial reservoir strain (LARS) and left ventricular global longitudinal strain (GLS) has been consistently demonstrated in several studies involving patients with various heart diseases. The objective of our study is to identify factors directly associated with LARS, left atrial conduction strain (LACS) and left atrial booster strain (LABS) in patients without cardiovascular (CV) disease.

Methods: Transthoracic echocardiographic examinations in patients without CV disease were prospectively selected in two tertiary hospitals echocardiography labs for clinical purposes. LAS, maximal and minimal left atrial (LA) volumes and left atrial ejection fraction (LAEF) were measured using the two-dimensional strain analysis package provided by the EchoPAC Plugging workstation (AFI LA).

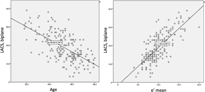
Results: A total of 196 cases were included, median age of 54 (45-62) with 85 (43%) being men. The mean left ventricular ejection fraction (LVEF) was 61% ± 5, and the median GLS was - 18% (-17 to -20). Median indexed maximum volume of left atrium (LAVI) was 27 ml/m2 (22-31), and LAEF was 64% (58-70). The mean LARS biplane was 35,1% ± 8. Notably, LARS was greater in the 2-chamber view (36,1% ± 10) compared to the 4-chamber view (34,1% ± 8 p < 0,05). The multivariate analysis of LARS revealed that sex, GLS, LAEF and e'mean are independently correlated with LARS. Multivariate analysis of LACS showed independent correlations between LACS and age, GLS, LAEF, E/A ratio and e'mean. Conversely, the multivariate analysis of LABS demonstrated significant correlations among A wave, e'mean, and left atrial stiffness index (LASI).

Conclusions: In patients without CV disease, GLS emerges as a crucial determinant of LARS and LACS. LAEF and e'mean are directly and independently related to both LARS and LACS. LARS (univariate) and LACS (multivariate) exhibited a decline with older age in individuals without CV disease.

Abstract Image

Abstract Image

Abstract Image

无心血管疾病患者的左心房劳损:揭示影响因素和相关因素。
背景:尽管左心房应变(LAS)在不同情况下都被证明具有预后价值,但在心房周期的不同阶段对其进行评估的确切意义仍不确定。在涉及各种心脏病患者的多项研究中,左心房储层应变(LARS)与左心室整体纵向应变(GLS)之间的直接相关性已得到证实。我们的研究旨在确定与无心血管疾病(CV)患者的 LARS、左心房传导应变(LACS)和左心房增强应变(LABS)直接相关的因素:方法: 在两家三甲医院超声心动图室对无心血管疾病患者的经胸超声心动图检查进行前瞻性临床筛选。使用 EchoPAC Plugging 工作站(AFI LA)提供的二维应变分析软件包测量左心房容积(LAS)、最大和最小左心房容积以及左心房射血分数(LAEF):共纳入 196 个病例,中位年龄为 54(45-62)岁,其中 85(43%)人为男性。平均左心室射血分数(LVEF)为61%±5,GLS中位数为-18%(-17至-20)。左心房指数最大容积(LAVI)中位数为 27 毫升/平方米(22-31),LAEF 为 64%(58-70)。值得注意的是,与四腔切面(34.1% ± 8)相比,两腔切面(36.1% ± 10)的 LARS 更大。LACS 的多变量分析显示,LACS 与年龄、GLS、LAEF、E/A 比值和 e'mean 之间存在独立相关性。相反,LABS 的多变量分析显示 A 波、e'mean 和左心房僵硬度指数(LASI)之间存在显著相关性:结论:在无心血管疾病的患者中,GLS 是决定 LARS 和 LACS 的关键因素。LAEF和e'mean与LARS和LACS直接且独立相关。在无心血管疾病的患者中,LARS(单变量)和LACS(多变量)随着年龄的增长而下降。
本文章由计算机程序翻译,如有差异,请以英文原文为准。
求助全文
约1分钟内获得全文 求助全文
来源期刊
Cardiovascular Ultrasound
Cardiovascular Ultrasound CARDIAC & CARDIOVASCULAR SYSTEMS-
CiteScore
4.10
自引率
0.00%
发文量
28
审稿时长
>12 weeks
期刊介绍: Cardiovascular Ultrasound is an online journal, publishing peer-reviewed: original research; authoritative reviews; case reports on challenging and/or unusual diagnostic aspects; and expert opinions on new techniques and technologies. We are particularly interested in articles that include relevant images or video files, which provide an additional dimension to published articles and enhance understanding. As an open access journal, Cardiovascular Ultrasound ensures high visibility for authors in addition to providing an up-to-date and freely available resource for the community. The journal welcomes discussion, and provides a forum for publishing opinion and debate ranging from biology to engineering to clinical echocardiography, with both speed and versatility.
×
引用
GB/T 7714-2015
复制
MLA
复制
APA
复制
导出至
BibTeX EndNote RefMan NoteFirst NoteExpress
×
提示
您的信息不完整,为了账户安全,请先补充。
现在去补充
×
提示
您因"违规操作"
具体请查看互助需知
我知道了
×
提示
确定
请完成安全验证×
copy
已复制链接
快去分享给好友吧!
我知道了
右上角分享
点击右上角分享
0
联系我们:info@booksci.cn Book学术提供免费学术资源搜索服务,方便国内外学者检索中英文文献。致力于提供最便捷和优质的服务体验。 Copyright © 2023 布克学术 All rights reserved.
京ICP备2023020795号-1
ghs 京公网安备 11010802042870号
Book学术文献互助
Book学术文献互助群
群 号:604180095
Book学术官方微信