Liver transplantation for hepatocellular carcinoma: a proposal for including preoperative serological indicators improves the Milan criteria expanded.

IF 2.5 Q2 GASTROENTEROLOGY & HEPATOLOGY
Translational gastroenterology and hepatology Pub Date : 2024-10-14 eCollection Date: 2024-01-01 DOI:10.21037/tgh-24-40
Ning Jiao, Cheng Yan, Li He, Hai-Long Jin, Shuang Oiu, Chao Li, Zhi-Sheng Zheng, Bin Lu, Feng-Dong Wu, Yang Yang, Xin-Guo Chen, Qing Zhang
{"title":"Liver transplantation for hepatocellular carcinoma: a proposal for including preoperative serological indicators improves the Milan criteria expanded.","authors":"Ning Jiao, Cheng Yan, Li He, Hai-Long Jin, Shuang Oiu, Chao Li, Zhi-Sheng Zheng, Bin Lu, Feng-Dong Wu, Yang Yang, Xin-Guo Chen, Qing Zhang","doi":"10.21037/tgh-24-40","DOIUrl":null,"url":null,"abstract":"<p><strong>Background: </strong>Liver transplantation (LT) is the most effective and radical treatment for hepatocellular carcinoma (HCC). Most LT criteria are based on the morphological characteristics of tumors, which are not enough to predict the risk of tumor recurrence. It is found that some serological biomarkers can predict tumor recurrence and may be a good indicator for selecting suitable HCC patients for LT. This article aims to evaluate the predictive effect of preoperative serological indicators on long-term overall survival (OS) and tumor recurrence-free survival (TFS) of patients with HCC after LT, and to explore its significance for expanding the Milan criteria.</p><p><strong>Methods: </strong>Clinical data of 253 patients after LT in HCC were collected retrospectively. The receiver operating characteristic curve was used to calculate the best cut-off value. χ<sup>2</sup> test was used to analyze the correlation between preoperative serological indicators and tumor pathological features. Univariate and multivariate analyses were used to analyze the risk factors affecting the OS and TFS rates and the predictive values of different LT criteria were compared. Nomogram model was used to predict the OS and TFS rates of patients exceeding Milan criteria.</p><p><strong>Results: </strong>Independent risk factors for poor OS and TFS rates were alpha-fetoprotein (AFP) >200 ng/mL, gamma-glutamyl transpeptidase (GGT) >80 IU/L, total tumor diameter (TTD) >8 cm and microsatellite lesions. Nomogram model showed patients beyond Milan criteria had better survival when AFP ≤200 ng/mL and GGT ≤80 IU/L or AFP >200 ng/mL, GGT ≤80 IU/L and TTD ≤8 cm. According to Milan criteria, AFP, GGT and TTD, Milan-AFP-GGT-TTD (M-AGT) criteria was established. There was no significant difference in OS and TFS rates among patients in M-AGT, Milan, Hangzhou, Malaya and the University of California at San Francisco (UCSF) criteria.</p><p><strong>Conclusions: </strong>Preoperative serological indicators AFP and GGT can effectively predict long-term OS and TFS in HCC patients after LT. Establishing M-AGT criteria based on serological indicators is helpful to supplement the Milan criteria.</p>","PeriodicalId":94362,"journal":{"name":"Translational gastroenterology and hepatology","volume":"9 ","pages":"63"},"PeriodicalIF":2.5000,"publicationDate":"2024-10-14","publicationTypes":"Journal Article","fieldsOfStudy":null,"isOpenAccess":false,"openAccessPdf":"https://www.ncbi.nlm.nih.gov/pmc/articles/PMC11535812/pdf/","citationCount":"0","resultStr":null,"platform":"Semanticscholar","paperid":null,"PeriodicalName":"Translational gastroenterology and hepatology","FirstCategoryId":"1085","ListUrlMain":"https://doi.org/10.21037/tgh-24-40","RegionNum":0,"RegionCategory":null,"ArticlePicture":[],"TitleCN":null,"AbstractTextCN":null,"PMCID":null,"EPubDate":"2024/1/1 0:00:00","PubModel":"eCollection","JCR":"Q2","JCRName":"GASTROENTEROLOGY & HEPATOLOGY","Score":null,"Total":0}
引用次数: 0

Abstract

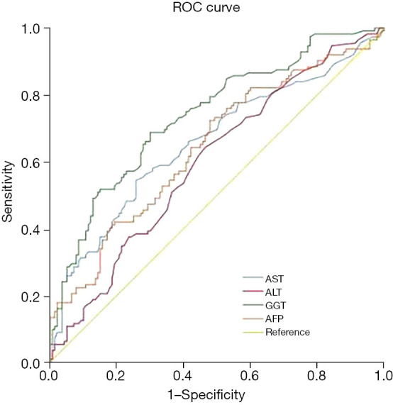
Background: Liver transplantation (LT) is the most effective and radical treatment for hepatocellular carcinoma (HCC). Most LT criteria are based on the morphological characteristics of tumors, which are not enough to predict the risk of tumor recurrence. It is found that some serological biomarkers can predict tumor recurrence and may be a good indicator for selecting suitable HCC patients for LT. This article aims to evaluate the predictive effect of preoperative serological indicators on long-term overall survival (OS) and tumor recurrence-free survival (TFS) of patients with HCC after LT, and to explore its significance for expanding the Milan criteria.

Methods: Clinical data of 253 patients after LT in HCC were collected retrospectively. The receiver operating characteristic curve was used to calculate the best cut-off value. χ2 test was used to analyze the correlation between preoperative serological indicators and tumor pathological features. Univariate and multivariate analyses were used to analyze the risk factors affecting the OS and TFS rates and the predictive values of different LT criteria were compared. Nomogram model was used to predict the OS and TFS rates of patients exceeding Milan criteria.

Results: Independent risk factors for poor OS and TFS rates were alpha-fetoprotein (AFP) >200 ng/mL, gamma-glutamyl transpeptidase (GGT) >80 IU/L, total tumor diameter (TTD) >8 cm and microsatellite lesions. Nomogram model showed patients beyond Milan criteria had better survival when AFP ≤200 ng/mL and GGT ≤80 IU/L or AFP >200 ng/mL, GGT ≤80 IU/L and TTD ≤8 cm. According to Milan criteria, AFP, GGT and TTD, Milan-AFP-GGT-TTD (M-AGT) criteria was established. There was no significant difference in OS and TFS rates among patients in M-AGT, Milan, Hangzhou, Malaya and the University of California at San Francisco (UCSF) criteria.

Conclusions: Preoperative serological indicators AFP and GGT can effectively predict long-term OS and TFS in HCC patients after LT. Establishing M-AGT criteria based on serological indicators is helpful to supplement the Milan criteria.

Abstract Image

Abstract Image

Abstract Image

肝细胞癌肝移植:建议纳入术前血清学指标,改进米兰标准扩展版。
背景:肝移植(LT)是治疗肝细胞癌(HCC)最有效、最彻底的方法。大多数肝移植标准基于肿瘤的形态学特征,不足以预测肿瘤复发的风险。研究发现,一些血清学生物标志物可预测肿瘤复发,并可作为选择合适的 HCC 患者进行 LT 的良好指标。本文旨在评估术前血清学指标对HCC患者LT术后长期总生存(OS)和无肿瘤复发生存(TFS)的预测作用,并探讨其对扩展米兰标准的意义:方法:回顾性收集253例HCC患者LT术后的临床数据。采用接收者操作特征曲线计算最佳临界值。采用χ2检验分析术前血清学指标与肿瘤病理学特征之间的相关性。采用单变量和多变量分析影响OS和TFS率的风险因素,并比较不同LT标准的预测值。采用提名图模型预测超过米兰标准的患者的OS和TFS率:甲胎蛋白(AFP)>200 ng/mL、γ-谷氨酰转肽酶(GGT)>80 IU/L、肿瘤总直径(TTD)>8 cm和微卫星病变是影响OS和TFS率的独立风险因素。提名图模型显示,当 AFP ≤200 ng/mL、GGT ≤80 IU/L 或 AFP >200 ng/mL、GGT ≤80 IU/L 和 TTD ≤8 cm 时,超过米兰标准的患者生存率更高。根据米兰标准、AFP、GGT和TTD,制定了米兰-AFP-GGT-TTD(M-AGT)标准。M-AGT标准、米兰标准、杭州标准、马来亚标准和加州大学旧金山分校(UCSF)标准患者的OS和TFS率无明显差异:结论:术前血清学指标甲胎蛋白(AFP)和谷草转氨酶(GGT)可有效预测HCC患者LT术后的长期OS和TFS。结论:术前血清学指标 AFP 和 GGT 可有效预测 HCC 患者 LT 后的长期 OS 和 TFS。建立基于血清学指标的 M-AGT 标准有助于补充米兰标准。
本文章由计算机程序翻译,如有差异,请以英文原文为准。
求助全文
约1分钟内获得全文 求助全文
来源期刊
自引率
0.00%
发文量
0
×
引用
GB/T 7714-2015
复制
MLA
复制
APA
复制
导出至
BibTeX EndNote RefMan NoteFirst NoteExpress
×
提示
您的信息不完整,为了账户安全,请先补充。
现在去补充
×
提示
您因"违规操作"
具体请查看互助需知
我知道了
×
提示
确定
请完成安全验证×
copy
已复制链接
快去分享给好友吧!
我知道了
右上角分享
点击右上角分享
0
联系我们:info@booksci.cn Book学术提供免费学术资源搜索服务,方便国内外学者检索中英文文献。致力于提供最便捷和优质的服务体验。 Copyright © 2023 布克学术 All rights reserved.
京ICP备2023020795号-1
ghs 京公网安备 11010802042870号
Book学术文献互助
Book学术文献互助群
群 号:604180095
Book学术官方微信