Development of a whole-cell SELEX process to select species-specific aptamers against Aspergillus niger.

Q1 Agricultural and Biological Sciences
Valeria Ellena, Alexandra Ioannou, Claudia Kolm, Andreas H Farnleiter, Matthias G Steiger
{"title":"Development of a whole-cell SELEX process to select species-specific aptamers against Aspergillus niger.","authors":"Valeria Ellena, Alexandra Ioannou, Claudia Kolm, Andreas H Farnleiter, Matthias G Steiger","doi":"10.1186/s40694-024-00185-2","DOIUrl":null,"url":null,"abstract":"<p><strong>Background: </strong>Spores produced by the filamentous fungus Aspergillus niger are abundant in a variety of environments. The proliferation of this fungus in indoor environments has been associated to health risks and its conidia can cause allergic reaction and severe invasive disease in animals and humans. Therefore, the detection and monitoring of Aspergillus conidia is of utmost importance to prevent serious fungal infections and contaminations. Among others, aptamers could serve as biosensors for the specific detection of fungal spores.</p><p><strong>Results: </strong>In this study, DNA aptamers specific to conidia of A. niger were developed by optimizing a whole-cell SELEX approach. Three whole-cells SELEX experiments were performed in parallel with similar conditions. Quantification of recovered ssDNA and melting curve analyses were applied to monitor the ongoing SELEX process. Next-generation sequencing was performed on selected recovered ssDNA pools, allowing the identification of DNA aptamers which bind with high affinity to the target cells. The developed aptamers were shown to be species-specific, being able to bind to A. niger but not to A. tubingensis or to A. nidulans. The binding affinity of two aptamers (AN01-R9-006 and AN02-R9-185) was measured to be 58.97 nM and 138.71 nM, respectively, which is in the range of previously developed aptamers.</p><p><strong>Conclusions: </strong>This study demonstrates that species-specific aptamers can be successfully developed via whole-cell SELEX to distinguish different Aspergillus species and opens up new opportunities in the field of diagnostics of fungal infections.</p>","PeriodicalId":52292,"journal":{"name":"Fungal Biology and Biotechnology","volume":"11 1","pages":"17"},"PeriodicalIF":0.0000,"publicationDate":"2024-11-05","publicationTypes":"Journal Article","fieldsOfStudy":null,"isOpenAccess":false,"openAccessPdf":"https://www.ncbi.nlm.nih.gov/pmc/articles/PMC11536964/pdf/","citationCount":"0","resultStr":null,"platform":"Semanticscholar","paperid":null,"PeriodicalName":"Fungal Biology and Biotechnology","FirstCategoryId":"1085","ListUrlMain":"https://doi.org/10.1186/s40694-024-00185-2","RegionNum":0,"RegionCategory":null,"ArticlePicture":[],"TitleCN":null,"AbstractTextCN":null,"PMCID":null,"EPubDate":"","PubModel":"","JCR":"Q1","JCRName":"Agricultural and Biological Sciences","Score":null,"Total":0}
引用次数: 0

Abstract

Background: Spores produced by the filamentous fungus Aspergillus niger are abundant in a variety of environments. The proliferation of this fungus in indoor environments has been associated to health risks and its conidia can cause allergic reaction and severe invasive disease in animals and humans. Therefore, the detection and monitoring of Aspergillus conidia is of utmost importance to prevent serious fungal infections and contaminations. Among others, aptamers could serve as biosensors for the specific detection of fungal spores.

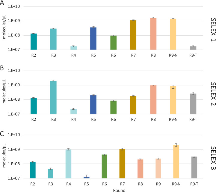
Results: In this study, DNA aptamers specific to conidia of A. niger were developed by optimizing a whole-cell SELEX approach. Three whole-cells SELEX experiments were performed in parallel with similar conditions. Quantification of recovered ssDNA and melting curve analyses were applied to monitor the ongoing SELEX process. Next-generation sequencing was performed on selected recovered ssDNA pools, allowing the identification of DNA aptamers which bind with high affinity to the target cells. The developed aptamers were shown to be species-specific, being able to bind to A. niger but not to A. tubingensis or to A. nidulans. The binding affinity of two aptamers (AN01-R9-006 and AN02-R9-185) was measured to be 58.97 nM and 138.71 nM, respectively, which is in the range of previously developed aptamers.

Conclusions: This study demonstrates that species-specific aptamers can be successfully developed via whole-cell SELEX to distinguish different Aspergillus species and opens up new opportunities in the field of diagnostics of fungal infections.

Abstract Image

Abstract Image

Abstract Image

开发全细胞 SELEX 流程,选择针对黑曲霉的物种特异性适配体。
背景:丝状真菌黑曲霉产生的孢子在各种环境中大量存在。这种真菌在室内环境中的大量繁殖与健康风险有关,其分生孢子可引起动物和人类的过敏反应和严重的侵袭性疾病。因此,检测和监测曲霉分生孢子对预防严重的真菌感染和污染至关重要。其中,适配体可作为特异性检测真菌孢子的生物传感器:结果:本研究通过优化全细胞 SELEX 方法,开发出了特异于黑僵菌分生孢子的 DNA 嵌合体。在相似的条件下同时进行了三次全细胞 SELEX 实验。回收的 ssDNA 定量和熔解曲线分析用于监测正在进行的 SELEX 过程。对选定的回收 ssDNA 池进行了下一代测序,从而鉴定出与靶细胞结合亲和力高的 DNA 合体。研究结果表明,所开发的适配体具有物种特异性,能与黑僵菌结合,但不能与管僵菌或尼德兰僵菌结合。据测定,两种适配体(AN01-R9-006 和 AN02-R9-185)的结合亲和力分别为 58.97 nM 和 138.71 nM,处于以前开发的适配体的范围之内:这项研究表明,通过全细胞 SELEX 可以成功地开发出物种特异性适配体来区分不同的曲霉菌种,这为真菌感染诊断领域带来了新的机遇。
本文章由计算机程序翻译,如有差异,请以英文原文为准。
求助全文
约1分钟内获得全文 求助全文
来源期刊
Fungal Biology and Biotechnology
Fungal Biology and Biotechnology Agricultural and Biological Sciences-Ecology, Evolution, Behavior and Systematics
CiteScore
10.20
自引率
0.00%
发文量
17
审稿时长
9 weeks
×
引用
GB/T 7714-2015
复制
MLA
复制
APA
复制
导出至
BibTeX EndNote RefMan NoteFirst NoteExpress
×
提示
您的信息不完整,为了账户安全,请先补充。
现在去补充
×
提示
您因"违规操作"
具体请查看互助需知
我知道了
×
提示
确定
请完成安全验证×
copy
已复制链接
快去分享给好友吧!
我知道了
右上角分享
点击右上角分享
0
联系我们:info@booksci.cn Book学术提供免费学术资源搜索服务,方便国内外学者检索中英文文献。致力于提供最便捷和优质的服务体验。 Copyright © 2023 布克学术 All rights reserved.
京ICP备2023020795号-1
ghs 京公网安备 11010802042870号
Book学术文献互助
Book学术文献互助群
群 号:604180095
Book学术官方微信