Systematic Analysis and Insights Into the Mutation Spectrum and Ethnic Differences in ATP7B Mutations Associated With Wilson Disease.

IF 2.6 Q2 MEDICINE, RESEARCH & EXPERIMENTAL
Biomarker Insights Pub Date : 2024-11-04 eCollection Date: 2024-01-01 DOI:10.1177/11772719241297169
Thuan Duc Lao, Thuy Ai Huyen Le
{"title":"Systematic Analysis and Insights Into the Mutation Spectrum and Ethnic Differences in ATP7B Mutations Associated With Wilson Disease.","authors":"Thuan Duc Lao, Thuy Ai Huyen Le","doi":"10.1177/11772719241297169","DOIUrl":null,"url":null,"abstract":"<p><strong>Background: </strong><i>ATP7B</i> (ATPase copper transporting beta gene) is constituted of 21 exons, and codes for a 1465 amino acid. The protein of ATP7B plays an key role of copper metabolism. Many previous reports indicated that mutations in <i>ATP7B</i> are well known to cause defective copper transporting copper-transporting ATPase 2 protein leading to the accumulation of copper, resulting the Wilson disease.</p><p><strong>Objectives: </strong>The meta-analysis was performed to comprehensive gain a thorough grasp of the spectrum of genetic variations.</p><p><strong>Design: </strong>A meta-analysis was conducted according to the guiding of PRISMA. aiming to assess the diversity and frequency of mutations in the <i>ATP7B</i> gene, with an emphasis on mutations located within specific exons.</p><p><strong>Data sources and methods: </strong>The dataset of detected mutations within their positions, types as well as nomenclature, were recorded from previous studies (spanning the year from 2013 to 2023). The analysis focused on exon-specific variations and their prevalence across different populations.</p><p><strong>Results: </strong>A total of 40 studies were enrolled into current data analysis. Our comprehensive study revealed a variety of mutations, most notably over 50% of single nucleotide changes described, distributed over the 21 exons of the gene. Focusing on the exon 8, itisplayed the most diversity of mutations, with 18 studies identifying 53 unique variants, the majority of which were missense mutations (81.13%). Additionally, the variations c.2333G>A/T (p.R778Q/L), c.2305A>G (p.M769V), c.2336G>A (p.W779*), and c.2304dupC (p.M769HfsX26) are reported in many populations. The weighted mean of variants' proportion was used to calculate the pooled estimate of these percentages, which were 14.19% for c.2333G>A/T (p.R778Q/L), 2.70% for c.2305A>G (p.M769V), 1.42% for c.2336G>A (p.W779*), and 2.33% for c.2304dupC (p.M769HfsX26).</p><p><strong>Conclusion: </strong>This design demonstrate to identify the spectrum of <i>ATP7B</i> gene's mutations, especially exon 8, offering important insights into the prevalence and significance of exon 8 mutations. Understanding the mutation in the <i>ATP7B</i> gene offers insights into the mechanisms behind WD and guides strategies for diagnosis and treatment.</p>","PeriodicalId":47060,"journal":{"name":"Biomarker Insights","volume":"19 ","pages":"11772719241297169"},"PeriodicalIF":2.6000,"publicationDate":"2024-11-04","publicationTypes":"Journal Article","fieldsOfStudy":null,"isOpenAccess":false,"openAccessPdf":"https://www.ncbi.nlm.nih.gov/pmc/articles/PMC11536366/pdf/","citationCount":"0","resultStr":null,"platform":"Semanticscholar","paperid":null,"PeriodicalName":"Biomarker Insights","FirstCategoryId":"1085","ListUrlMain":"https://doi.org/10.1177/11772719241297169","RegionNum":0,"RegionCategory":null,"ArticlePicture":[],"TitleCN":null,"AbstractTextCN":null,"PMCID":null,"EPubDate":"2024/1/1 0:00:00","PubModel":"eCollection","JCR":"Q2","JCRName":"MEDICINE, RESEARCH & EXPERIMENTAL","Score":null,"Total":0}
引用次数: 0

Abstract

Background: ATP7B (ATPase copper transporting beta gene) is constituted of 21 exons, and codes for a 1465 amino acid. The protein of ATP7B plays an key role of copper metabolism. Many previous reports indicated that mutations in ATP7B are well known to cause defective copper transporting copper-transporting ATPase 2 protein leading to the accumulation of copper, resulting the Wilson disease.

Objectives: The meta-analysis was performed to comprehensive gain a thorough grasp of the spectrum of genetic variations.

Design: A meta-analysis was conducted according to the guiding of PRISMA. aiming to assess the diversity and frequency of mutations in the ATP7B gene, with an emphasis on mutations located within specific exons.

Data sources and methods: The dataset of detected mutations within their positions, types as well as nomenclature, were recorded from previous studies (spanning the year from 2013 to 2023). The analysis focused on exon-specific variations and their prevalence across different populations.

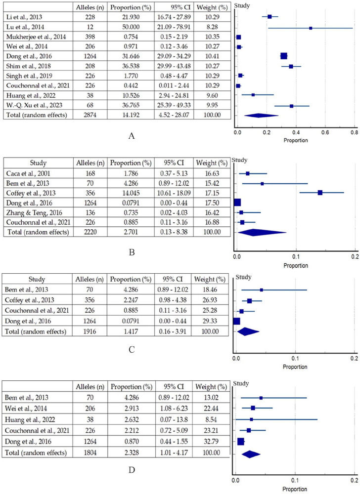
Results: A total of 40 studies were enrolled into current data analysis. Our comprehensive study revealed a variety of mutations, most notably over 50% of single nucleotide changes described, distributed over the 21 exons of the gene. Focusing on the exon 8, itisplayed the most diversity of mutations, with 18 studies identifying 53 unique variants, the majority of which were missense mutations (81.13%). Additionally, the variations c.2333G>A/T (p.R778Q/L), c.2305A>G (p.M769V), c.2336G>A (p.W779*), and c.2304dupC (p.M769HfsX26) are reported in many populations. The weighted mean of variants' proportion was used to calculate the pooled estimate of these percentages, which were 14.19% for c.2333G>A/T (p.R778Q/L), 2.70% for c.2305A>G (p.M769V), 1.42% for c.2336G>A (p.W779*), and 2.33% for c.2304dupC (p.M769HfsX26).

Conclusion: This design demonstrate to identify the spectrum of ATP7B gene's mutations, especially exon 8, offering important insights into the prevalence and significance of exon 8 mutations. Understanding the mutation in the ATP7B gene offers insights into the mechanisms behind WD and guides strategies for diagnosis and treatment.

Abstract Image

Abstract Image

Abstract Image

系统分析与威尔逊氏病相关的 ATP7B 基因突变谱和种族差异。
背景:ATP7B(ATPase copper transporting beta gene)由 21 个外显子组成,编码 1465 个氨基酸。ATP7B 蛋白在铜代谢中起着关键作用。此前的许多报道表明,ATP7B 基因突变会导致铜转运 ATPase 2 蛋白缺陷,从而导致铜蓄积,引发威尔逊氏病:荟萃分析旨在全面掌握遗传变异的范围:根据 PRISMA 的指导原则进行了一项荟萃分析,旨在评估 ATP7B 基因突变的多样性和频率,重点是位于特定外显子内的突变:数据集中检测到的突变的位置、类型和命名法均来自以往的研究(时间跨度为 2013 年至 2023 年)。分析的重点是外显子特异性变异及其在不同人群中的流行率:共有 40 项研究纳入了当前的数据分析。我们的综合研究发现了多种突变,其中最显著的是超过50%的单核苷酸变化,分布在该基因的21个外显子上。其中以第 8 号外显子的突变最为多样,有 18 项研究发现了 53 个独特的变异,其中大部分是错义突变(81.13%)。此外,c.2333G>A/T(p.R778Q/L)、c.2305A>G(p.M769V)、c.2336G>A(p.W779*)和c.2304dupC(p.M769HfsX26)等变异在许多人群中都有报道。变异比例的加权平均值被用来计算这些百分比的集合估计值,c.2333G>A/T (p.R778Q/L) 为 14.19%,c.2305A>G (p.M769V) 为 2.70%,c.2336G>A (p.W779*) 为 1.42%,c.2304dupC (p.M769HfsX26) 为 2.33%:该设计展示了 ATP7B 基因的突变谱,尤其是第 8 号外显子,为了解第 8 号外显子突变的发生率和意义提供了重要依据。了解 ATP7B 基因突变有助于深入了解 WD 背后的机制,并为诊断和治疗策略提供指导。
本文章由计算机程序翻译,如有差异,请以英文原文为准。
求助全文
约1分钟内获得全文 求助全文
来源期刊
Biomarker Insights
Biomarker Insights MEDICINE, RESEARCH & EXPERIMENTAL-
CiteScore
6.00
自引率
0.00%
发文量
26
审稿时长
8 weeks
期刊介绍: An open access, peer reviewed electronic journal that covers all aspects of biomarker research and clinical applications.
×
引用
GB/T 7714-2015
复制
MLA
复制
APA
复制
导出至
BibTeX EndNote RefMan NoteFirst NoteExpress
×
提示
您的信息不完整,为了账户安全,请先补充。
现在去补充
×
提示
您因"违规操作"
具体请查看互助需知
我知道了
×
提示
确定
请完成安全验证×
copy
已复制链接
快去分享给好友吧!
我知道了
右上角分享
点击右上角分享
0
联系我们:info@booksci.cn Book学术提供免费学术资源搜索服务,方便国内外学者检索中英文文献。致力于提供最便捷和优质的服务体验。 Copyright © 2023 布克学术 All rights reserved.
京ICP备2023020795号-1
ghs 京公网安备 11010802042870号
Book学术文献互助
Book学术文献互助群
群 号:604180095
Book学术官方微信