Extracellular Vesicles Derived From Entamoeba histolytica Have an Immunomodulatory Effect on THP-1 Macrophages.

IF 1.8 Q3 PARASITOLOGY
Journal of Parasitology Research Pub Date : 2024-10-29 eCollection Date: 2024-01-01 DOI:10.1155/2024/7325606
Debabrata Chowdhury, Manu Sharma, James W S Jahng, Upinder Singh
{"title":"Extracellular Vesicles Derived From <i>Entamoeba histolytica</i> Have an Immunomodulatory Effect on THP-1 Macrophages.","authors":"Debabrata Chowdhury, Manu Sharma, James W S Jahng, Upinder Singh","doi":"10.1155/2024/7325606","DOIUrl":null,"url":null,"abstract":"<p><p>Recent studies have shown that extracellular vesicles (EVs) secreted by various parasites are capable of modulating the host's innate immune responses, such as by altering macrophage (M<i>ϕ</i>) phenotypes and functions. Studies have shown that M<i>ϕ</i> promote early host responses to amoebic infection by releasing proinflammatory cytokines that are crucial to combating amoebiasis. Here, we are reporting for the first time the effect of EVs released by <i>Entamoeba histolytica</i> (<i>Eh</i>EVs) on human THP-1 differentiated M<i>ϕ</i> (THP-1 M<i>ϕ</i>). We show that the <i>Eh</i>EVs are internalized by THP-1 M<i>ϕ</i> which leads to differential regulation of various cytokines associated with both M1 and M2 M<i>ϕ</i>. We also saw that <i>Eh</i>EV treatment thwarted Type 2 immune-response-related transcriptome pSTAT6 in the THP-1 M<i>ϕ</i>. Furthermore, <i>Eh</i>EVs stimulated M<i>ϕ</i> to reduce their energy demand by suppressing oxidative phosphorylation (OXPHOS) and adenosine triphosphate (ATP) production. Hence, the human parasite <i>E. histolytica</i>-derived EVs are capable of eliciting an immune response from M<i>ϕ</i> that may contribute to overall infection status.</p>","PeriodicalId":16662,"journal":{"name":"Journal of Parasitology Research","volume":"2024 ","pages":"7325606"},"PeriodicalIF":1.8000,"publicationDate":"2024-10-29","publicationTypes":"Journal Article","fieldsOfStudy":null,"isOpenAccess":false,"openAccessPdf":"https://www.ncbi.nlm.nih.gov/pmc/articles/PMC11537751/pdf/","citationCount":"0","resultStr":null,"platform":"Semanticscholar","paperid":null,"PeriodicalName":"Journal of Parasitology Research","FirstCategoryId":"1085","ListUrlMain":"https://doi.org/10.1155/2024/7325606","RegionNum":0,"RegionCategory":null,"ArticlePicture":[],"TitleCN":null,"AbstractTextCN":null,"PMCID":null,"EPubDate":"2024/1/1 0:00:00","PubModel":"eCollection","JCR":"Q3","JCRName":"PARASITOLOGY","Score":null,"Total":0}
引用次数: 0

Abstract

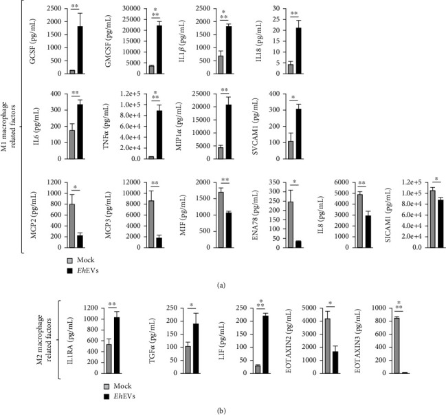
Recent studies have shown that extracellular vesicles (EVs) secreted by various parasites are capable of modulating the host's innate immune responses, such as by altering macrophage (Mϕ) phenotypes and functions. Studies have shown that Mϕ promote early host responses to amoebic infection by releasing proinflammatory cytokines that are crucial to combating amoebiasis. Here, we are reporting for the first time the effect of EVs released by Entamoeba histolytica (EhEVs) on human THP-1 differentiated Mϕ (THP-1 Mϕ). We show that the EhEVs are internalized by THP-1 Mϕ which leads to differential regulation of various cytokines associated with both M1 and M2 Mϕ. We also saw that EhEV treatment thwarted Type 2 immune-response-related transcriptome pSTAT6 in the THP-1 Mϕ. Furthermore, EhEVs stimulated Mϕ to reduce their energy demand by suppressing oxidative phosphorylation (OXPHOS) and adenosine triphosphate (ATP) production. Hence, the human parasite E. histolytica-derived EVs are capable of eliciting an immune response from Mϕ that may contribute to overall infection status.

Abstract Image

Abstract Image

Abstract Image

从组织溶解恩塔米巴虫提取的胞外小泡对 THP-1 巨噬细胞有免疫调节作用
最近的研究表明,各种寄生虫分泌的细胞外囊泡 (EV) 能够调节宿主的先天性免疫反应,例如改变巨噬细胞 (Mϕ) 的表型和功能。研究表明,巨噬细胞通过释放对抗击阿米巴病至关重要的促炎细胞因子,促进宿主对阿米巴感染的早期反应。在这里,我们首次报道了由组织溶解恩塔米巴虫(EhEVs)释放的 EVs 对人 THP-1 分化 Mϕ (THP-1 Mϕ)的影响。我们发现 EhEVs 被 THP-1 Mϕ 内化,从而导致与 M1 和 M2 Mϕ 相关的各种细胞因子的不同调节。我们还发现,EhEV 处理阻碍了 THP-1 Mϕ 中与 2 型免疫反应相关的转录组 pSTAT6。此外,EhEVs 通过抑制氧化磷酸化(OXPHOS)和三磷酸腺苷(ATP)的产生,刺激 Mϕ减少能量需求。因此,人类寄生虫组织溶解酵母衍生的EVs能够引起Mϕ的免疫反应,这可能有助于改善整体感染状况。
本文章由计算机程序翻译,如有差异,请以英文原文为准。
求助全文
约1分钟内获得全文 求助全文
来源期刊
Journal of Parasitology Research
Journal of Parasitology Research Medicine-Infectious Diseases
CiteScore
3.50
自引率
9.10%
发文量
49
审稿时长
13 weeks
期刊介绍: Journal of Parasitology Research is a peer-reviewed, Open Access journal that publishes original research articles, review articles, and clinical studies in all areas of basic and applied parasitology. Articles covering host-parasite relationships and parasitic diseases will be considered, as well as studies on disease vectors. Articles highlighting social and economic issues around the impact of parasites are also encouraged. As an international, Open Access publication, Journal of Parasitology Research aims to foster learning and collaboration between countries and communities.
×
引用
GB/T 7714-2015
复制
MLA
复制
APA
复制
导出至
BibTeX EndNote RefMan NoteFirst NoteExpress
×
提示
您的信息不完整,为了账户安全,请先补充。
现在去补充
×
提示
您因"违规操作"
具体请查看互助需知
我知道了
×
提示
确定
请完成安全验证×
copy
已复制链接
快去分享给好友吧!
我知道了
右上角分享
点击右上角分享
0
联系我们:info@booksci.cn Book学术提供免费学术资源搜索服务,方便国内外学者检索中英文文献。致力于提供最便捷和优质的服务体验。 Copyright © 2023 布克学术 All rights reserved.
京ICP备2023020795号-1
ghs 京公网安备 11010802042870号
Book学术文献互助
Book学术文献互助群
群 号:604180095
Book学术官方微信