Chemical and Biological Changes Under Force Degradation and Acceleration Condition of the Combination of Ha-Rak Remedy, Piper betle, and Garcinia mangostana Extracts for Atopic Dermatitis.

IF 3 Q3 PHARMACOLOGY & PHARMACY
Advances in Pharmacological and Pharmaceutical Sciences Pub Date : 2024-10-28 eCollection Date: 2024-01-01 DOI:10.1155/2024/4297596
Ubonwan Saesiw, Srisopa Ruangnoo, Arunporn Itharat, Pattama Sriumpai
{"title":"Chemical and Biological Changes Under Force Degradation and Acceleration Condition of the Combination of Ha-Rak Remedy, <i>Piper betle,</i> and <i>Garcinia mangostana</i> Extracts for Atopic Dermatitis.","authors":"Ubonwan Saesiw, Srisopa Ruangnoo, Arunporn Itharat, Pattama Sriumpai","doi":"10.1155/2024/4297596","DOIUrl":null,"url":null,"abstract":"<p><p>Herbal medicine could be an option for atopic dermatitis (AD) treatment for those suffering from global public health. HMB is a new combination of three herb extracts, consisting of the Ha-Rak (HR) remedy extract, <i>Piper betle</i> (PB) extract, and <i>Garcinia mangostana</i> (GM) extract in equal proportions, using Thai traditional medicine theory, that uses a combination of medications that can improve therapeutic efficacy and reduce side effects and toxicity. HMB extract has anti-inflammatory and antiallergic properties, is a component for AD treatment, and tends to develop topical products. Drug registration requires stability data. Results from drug stability testing affect not only the efficacy of the drug but also its safety. The aim of this study was to investigate stability through forced degradation and an accelerated study of extracts. Chemical content analysis and <i>in vitro</i> biological activities such as anti-inflammatory and antiallergic activities determined the effects of all examined samples. Anti-inflammatory and antiallergic effects were assessed by inhibiting nitric oxide synthesis in RAW 264.7 cells and <i>β</i>-hexosaminidase release in RBL-2H3 cells, respectively. High-performance liquid chromatography (HPLC) assessed content indicators. Moisture and temperature hydrolysis had no significant differences in the chemical or biological properties of the HMB. However, the HMB demonstrated sensitivity to alkaline hydrolysis, showed low anti-inflammatory activity, and decreased hydroxychavicol, eugenol, and <i>α</i>-mangostin contents. The contents of the three compounds also decrease with acid hydrolysis. For the accelerated study, anti-inflammatory and antiallergic effects and hydroxychavicol amount were not significantly different after 180 days at 40°C and 75% RH. Therefore, the contents of eugenol and <i>α</i>-mangostin were changed. Eugenol in HMB decreased significantly from the 15<sup>th</sup> day until the 180<sup>th</sup> day of storage. In addition, <i>α</i>-mangostin amounts in HMB decreased slightly on 180<sup>th</sup> day. Fortunately, reducing the two chemicals did not affect anti-inflammatory or antiallergic effects. For stability, combination extract should be stored in a closed container in the refrigerator at a low temperature and protected from light, high temperature, oxygen, and pH. Further HMB development should avoid pH or oxidation processes or components.</p>","PeriodicalId":7369,"journal":{"name":"Advances in Pharmacological and Pharmaceutical Sciences","volume":"2024 ","pages":"4297596"},"PeriodicalIF":3.0000,"publicationDate":"2024-10-28","publicationTypes":"Journal Article","fieldsOfStudy":null,"isOpenAccess":false,"openAccessPdf":"https://www.ncbi.nlm.nih.gov/pmc/articles/PMC11535183/pdf/","citationCount":"0","resultStr":null,"platform":"Semanticscholar","paperid":null,"PeriodicalName":"Advances in Pharmacological and Pharmaceutical Sciences","FirstCategoryId":"1085","ListUrlMain":"https://doi.org/10.1155/2024/4297596","RegionNum":0,"RegionCategory":null,"ArticlePicture":[],"TitleCN":null,"AbstractTextCN":null,"PMCID":null,"EPubDate":"2024/1/1 0:00:00","PubModel":"eCollection","JCR":"Q3","JCRName":"PHARMACOLOGY & PHARMACY","Score":null,"Total":0}
引用次数: 0

Abstract

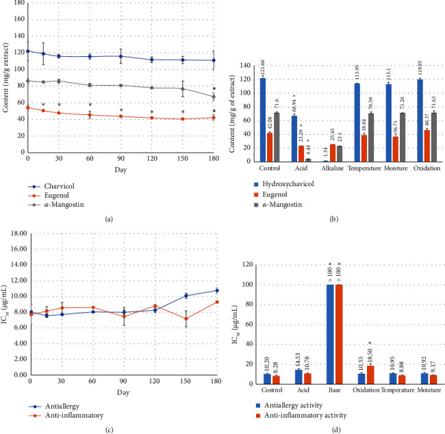
Herbal medicine could be an option for atopic dermatitis (AD) treatment for those suffering from global public health. HMB is a new combination of three herb extracts, consisting of the Ha-Rak (HR) remedy extract, Piper betle (PB) extract, and Garcinia mangostana (GM) extract in equal proportions, using Thai traditional medicine theory, that uses a combination of medications that can improve therapeutic efficacy and reduce side effects and toxicity. HMB extract has anti-inflammatory and antiallergic properties, is a component for AD treatment, and tends to develop topical products. Drug registration requires stability data. Results from drug stability testing affect not only the efficacy of the drug but also its safety. The aim of this study was to investigate stability through forced degradation and an accelerated study of extracts. Chemical content analysis and in vitro biological activities such as anti-inflammatory and antiallergic activities determined the effects of all examined samples. Anti-inflammatory and antiallergic effects were assessed by inhibiting nitric oxide synthesis in RAW 264.7 cells and β-hexosaminidase release in RBL-2H3 cells, respectively. High-performance liquid chromatography (HPLC) assessed content indicators. Moisture and temperature hydrolysis had no significant differences in the chemical or biological properties of the HMB. However, the HMB demonstrated sensitivity to alkaline hydrolysis, showed low anti-inflammatory activity, and decreased hydroxychavicol, eugenol, and α-mangostin contents. The contents of the three compounds also decrease with acid hydrolysis. For the accelerated study, anti-inflammatory and antiallergic effects and hydroxychavicol amount were not significantly different after 180 days at 40°C and 75% RH. Therefore, the contents of eugenol and α-mangostin were changed. Eugenol in HMB decreased significantly from the 15th day until the 180th day of storage. In addition, α-mangostin amounts in HMB decreased slightly on 180th day. Fortunately, reducing the two chemicals did not affect anti-inflammatory or antiallergic effects. For stability, combination extract should be stored in a closed container in the refrigerator at a low temperature and protected from light, high temperature, oxygen, and pH. Further HMB development should avoid pH or oxidation processes or components.

Abstract Image

Abstract Image

治疗特应性皮炎的 Ha-Rak Remedy、Piper betle 和 Garcinia mangostana 提取物复方制剂在受力降解和加速条件下的化学和生物变化。
中草药可以成为全球公共卫生患者治疗特应性皮炎(AD)的一种选择。HMB 是一种新的草药提取物组合,由 Ha-Rak(HR)草药提取物、Piper betle(PB)提取物、Garcinia mangostana(GM)提取物等比例组成,采用泰国传统医学理论,可提高疗效,减少副作用和毒性。HMB 提取物具有抗炎和抗过敏特性,是治疗注意力缺失症的成分之一,并倾向于开发外用产品。药品注册需要稳定性数据。药物稳定性测试的结果不仅会影响药物的疗效,还会影响其安全性。本研究旨在通过强制降解和提取物加速研究来调查稳定性。化学成分分析和体外生物活性(如抗炎和抗过敏活性)确定了所有受检样品的效果。抗炎和抗过敏作用分别通过抑制 RAW 264.7 细胞中的一氧化氮合成和 RBL-2H3 细胞中的β-己糖胺酶释放来评估。高效液相色谱法(HPLC)评估了含量指标。水分和温度水解对 HMB 的化学或生物特性没有明显影响。不过,HMB对碱性水解很敏感,抗炎活性低,羟基黄烷醇、丁香酚和α-芒果苷含量降低。这三种化合物的含量也随着酸水解而降低。在加速研究中,40°C 和 75% 相对湿度条件下 180 天后,抗炎和抗过敏效果以及羟基黄烷醇含量没有显著差异。因此,丁香酚和α-芒果苷的含量发生了变化。从贮藏的第 15 天到第 180 天,HMB 中的丁香酚含量明显下降。此外,在第 180 天,HMB 中的α-曼戈斯汀含量也略有下降。幸运的是,减少这两种化学物质并不会影响抗炎或抗过敏作用。为了保持稳定,组合提取物应储存在低温冰箱中的密闭容器中,并避免光照、高温、氧气和 pH 值的影响。进一步开发 HMB 时应避免 pH 值或氧化过程或成分。
本文章由计算机程序翻译,如有差异,请以英文原文为准。
求助全文
约1分钟内获得全文 求助全文
来源期刊
CiteScore
4.30
自引率
3.60%
发文量
0
审稿时长
17 weeks
×
引用
GB/T 7714-2015
复制
MLA
复制
APA
复制
导出至
BibTeX EndNote RefMan NoteFirst NoteExpress
×
提示
您的信息不完整,为了账户安全,请先补充。
现在去补充
×
提示
您因"违规操作"
具体请查看互助需知
我知道了
×
提示
确定
请完成安全验证×
copy
已复制链接
快去分享给好友吧!
我知道了
右上角分享
点击右上角分享
0
联系我们:info@booksci.cn Book学术提供免费学术资源搜索服务,方便国内外学者检索中英文文献。致力于提供最便捷和优质的服务体验。 Copyright © 2023 布克学术 All rights reserved.
京ICP备2023020795号-1
ghs 京公网安备 11010802042870号
Book学术文献互助
Book学术文献互助群
群 号:604180095
Book学术官方微信