Rivaroxaban as a Protector of Oxidative Stress-Induced Vascular Endothelial Glycocalyx Damage via the IQGAP1/PAR1-2/PI3K/Akt Pathway.

IF 2.3 4区 医学 Q3 PERIPHERAL VASCULAR DISEASE
Journal of Vascular Research Pub Date : 2025-01-01 Epub Date: 2024-11-02 DOI:10.1159/000542419
Lisa Kitasato, Minako Yamaoka-Tojo, Toshiyuki Iwaya, Yusuke Murayama, Yuki Ikeda, Takehiro Hashikata, Jun Oikawa, Machika Suzuki, Nonoka Misawa, Rei Kawashima, Fumihiro Ogawa, Junya Ako
{"title":"Rivaroxaban as a Protector of Oxidative Stress-Induced Vascular Endothelial Glycocalyx Damage via the IQGAP1/PAR1-2/PI3K/Akt Pathway.","authors":"Lisa Kitasato, Minako Yamaoka-Tojo, Toshiyuki Iwaya, Yusuke Murayama, Yuki Ikeda, Takehiro Hashikata, Jun Oikawa, Machika Suzuki, Nonoka Misawa, Rei Kawashima, Fumihiro Ogawa, Junya Ako","doi":"10.1159/000542419","DOIUrl":null,"url":null,"abstract":"<p><strong>Introduction: </strong>The vascular endothelial glycocalyx, crucial for blood vessel integrity and homeostasis, is vulnerable to oxidative stress, leading to endothelial dysfunction, which strongly correlates with cardiovascular disease (CVD). This study investigates the protective effects of rivaroxaban, a factor X inhibitor, on the glycocalyx under oxidative stress condition.</p><p><strong>Methods: </strong>We examined the impact of rivaroxaban on human umbilical vein endothelial cells exposed to acute and chronic H2O2-induced oxidative stress.</p><p><strong>Results: </strong>Rivaroxaban dose-dependently suppressed syndecan-1, a key component of the glycocalyx, shedding from cell surface, and enhanced protease-activated receptor (PAR)1-PAR2/phosphatidylinositol-3-kinase (PI3K)-dependent cell viability after acute induction of H2O2. This protective effect was linked to the translocation of IQGAP1, a scaffold protein that modulates the actin cytoskeleton, to the perinucleus from the cell membrane. Under chronic H2O2 treatments, rivaroxaban improves cell viability accompanied by an increase in hyaluronidase activities, aiding the turnover and remodeling of hyaluronic acid within the glycocalyx.</p><p><strong>Conclusion: </strong>We identify that rivaroxaban protects against oxidative stress-induced endothelial glycocalyx damage and cell viability through IQGAP1/PAR1-2/PI3K/Akt pathway, offering a potential to be a therapeutic target for CVD prevention.</p><p><strong>Introduction: </strong>The vascular endothelial glycocalyx, crucial for blood vessel integrity and homeostasis, is vulnerable to oxidative stress, leading to endothelial dysfunction, which strongly correlates with cardiovascular disease (CVD). This study investigates the protective effects of rivaroxaban, a factor X inhibitor, on the glycocalyx under oxidative stress condition.</p><p><strong>Methods: </strong>We examined the impact of rivaroxaban on human umbilical vein endothelial cells exposed to acute and chronic H2O2-induced oxidative stress.</p><p><strong>Results: </strong>Rivaroxaban dose-dependently suppressed syndecan-1, a key component of the glycocalyx, shedding from cell surface, and enhanced protease-activated receptor (PAR)1-PAR2/phosphatidylinositol-3-kinase (PI3K)-dependent cell viability after acute induction of H2O2. This protective effect was linked to the translocation of IQGAP1, a scaffold protein that modulates the actin cytoskeleton, to the perinucleus from the cell membrane. Under chronic H2O2 treatments, rivaroxaban improves cell viability accompanied by an increase in hyaluronidase activities, aiding the turnover and remodeling of hyaluronic acid within the glycocalyx.</p><p><strong>Conclusion: </strong>We identify that rivaroxaban protects against oxidative stress-induced endothelial glycocalyx damage and cell viability through IQGAP1/PAR1-2/PI3K/Akt pathway, offering a potential to be a therapeutic target for CVD prevention.</p>","PeriodicalId":17530,"journal":{"name":"Journal of Vascular Research","volume":" ","pages":"22-36"},"PeriodicalIF":2.3000,"publicationDate":"2025-01-01","publicationTypes":"Journal Article","fieldsOfStudy":null,"isOpenAccess":false,"openAccessPdf":"https://www.ncbi.nlm.nih.gov/pmc/articles/PMC11797952/pdf/","citationCount":"0","resultStr":null,"platform":"Semanticscholar","paperid":null,"PeriodicalName":"Journal of Vascular Research","FirstCategoryId":"3","ListUrlMain":"https://doi.org/10.1159/000542419","RegionNum":4,"RegionCategory":"医学","ArticlePicture":[],"TitleCN":null,"AbstractTextCN":null,"PMCID":null,"EPubDate":"2024/11/2 0:00:00","PubModel":"Epub","JCR":"Q3","JCRName":"PERIPHERAL VASCULAR DISEASE","Score":null,"Total":0}
引用次数: 0

Abstract

Introduction: The vascular endothelial glycocalyx, crucial for blood vessel integrity and homeostasis, is vulnerable to oxidative stress, leading to endothelial dysfunction, which strongly correlates with cardiovascular disease (CVD). This study investigates the protective effects of rivaroxaban, a factor X inhibitor, on the glycocalyx under oxidative stress condition.

Methods: We examined the impact of rivaroxaban on human umbilical vein endothelial cells exposed to acute and chronic H2O2-induced oxidative stress.

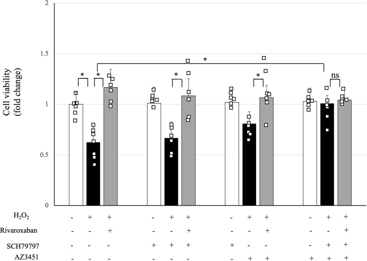
Results: Rivaroxaban dose-dependently suppressed syndecan-1, a key component of the glycocalyx, shedding from cell surface, and enhanced protease-activated receptor (PAR)1-PAR2/phosphatidylinositol-3-kinase (PI3K)-dependent cell viability after acute induction of H2O2. This protective effect was linked to the translocation of IQGAP1, a scaffold protein that modulates the actin cytoskeleton, to the perinucleus from the cell membrane. Under chronic H2O2 treatments, rivaroxaban improves cell viability accompanied by an increase in hyaluronidase activities, aiding the turnover and remodeling of hyaluronic acid within the glycocalyx.

Conclusion: We identify that rivaroxaban protects against oxidative stress-induced endothelial glycocalyx damage and cell viability through IQGAP1/PAR1-2/PI3K/Akt pathway, offering a potential to be a therapeutic target for CVD prevention.

Introduction: The vascular endothelial glycocalyx, crucial for blood vessel integrity and homeostasis, is vulnerable to oxidative stress, leading to endothelial dysfunction, which strongly correlates with cardiovascular disease (CVD). This study investigates the protective effects of rivaroxaban, a factor X inhibitor, on the glycocalyx under oxidative stress condition.

Methods: We examined the impact of rivaroxaban on human umbilical vein endothelial cells exposed to acute and chronic H2O2-induced oxidative stress.

Results: Rivaroxaban dose-dependently suppressed syndecan-1, a key component of the glycocalyx, shedding from cell surface, and enhanced protease-activated receptor (PAR)1-PAR2/phosphatidylinositol-3-kinase (PI3K)-dependent cell viability after acute induction of H2O2. This protective effect was linked to the translocation of IQGAP1, a scaffold protein that modulates the actin cytoskeleton, to the perinucleus from the cell membrane. Under chronic H2O2 treatments, rivaroxaban improves cell viability accompanied by an increase in hyaluronidase activities, aiding the turnover and remodeling of hyaluronic acid within the glycocalyx.

Conclusion: We identify that rivaroxaban protects against oxidative stress-induced endothelial glycocalyx damage and cell viability through IQGAP1/PAR1-2/PI3K/Akt pathway, offering a potential to be a therapeutic target for CVD prevention.

Abstract Image

Abstract Image

Abstract Image

利伐沙班通过 IQGAP1/PAR1-2/PI3K/Akt 通路保护氧化应激诱导的血管内皮糖萼损伤
导言:血管内皮糖萼对血管完整性和稳态至关重要,易受氧化应激影响,导致内皮功能障碍,而内皮功能障碍与心血管疾病(CVD)密切相关。本研究探讨了 FXa 抑制剂利伐沙班在氧化应激条件下对糖萼的保护作用:我们研究了利伐沙班对暴露于急性和慢性 H₂O₂诱导的氧化应激条件下的人脐静脉内皮细胞(HUVECs)的影响:结果:利伐沙班剂量依赖性地抑制了糖萼(glycocalyx)的关键成分辛迪卡-1从细胞表面脱落,并增强了蛋白酶激活受体(PAR)1-PAR2/磷脂酰肌醇-3-激酶(PI3K)依赖性的细胞活力。这种保护作用与 IQGAP1(一种调节肌动蛋白细胞骨架的支架蛋白)从细胞膜转位到细胞核周围有关。在慢性 H2O2 处理下,利伐沙班可提高细胞活力,同时增加透明质酸酶的活性,帮助糖萼内透明质酸的周转和重塑:我们发现利伐沙班通过IQGAP1/PAR1-2/PI3K/Akt途径保护氧化应激诱导的内皮细胞糖萼损伤和细胞活力,有望成为预防心血管疾病的治疗靶点。
本文章由计算机程序翻译,如有差异,请以英文原文为准。
求助全文
约1分钟内获得全文 求助全文
来源期刊
Journal of Vascular Research
Journal of Vascular Research 医学-生理学
CiteScore
3.40
自引率
0.00%
发文量
25
审稿时长
>12 weeks
期刊介绍: The ''Journal of Vascular Research'' publishes original articles and reviews of scientific excellence in vascular and microvascular biology, physiology and pathophysiology. The scope of the journal covers a broad spectrum of vascular and lymphatic research, including vascular structure, vascular function, haemodynamics, mechanics, cell signalling, intercellular communication, growth and differentiation. JVR''s ''Vascular Update'' series regularly presents state-of-the-art reviews on hot topics in vascular biology. Manuscript processing times are, consistent with stringent review, kept as short as possible due to electronic submission. All articles are published online first, ensuring rapid publication. The ''Journal of Vascular Research'' is the official journal of the European Society for Microcirculation. A biennial prize is awarded to the authors of the best paper published in the journal over the previous two years, thus encouraging young scientists working in the exciting field of vascular biology to publish their findings.
×
引用
GB/T 7714-2015
复制
MLA
复制
APA
复制
导出至
BibTeX EndNote RefMan NoteFirst NoteExpress
×
提示
您的信息不完整,为了账户安全,请先补充。
现在去补充
×
提示
您因"违规操作"
具体请查看互助需知
我知道了
×
提示
确定
请完成安全验证×
copy
已复制链接
快去分享给好友吧!
我知道了
右上角分享
点击右上角分享
0
联系我们:info@booksci.cn Book学术提供免费学术资源搜索服务,方便国内外学者检索中英文文献。致力于提供最便捷和优质的服务体验。 Copyright © 2023 布克学术 All rights reserved.
京ICP备2023020795号-1
ghs 京公网安备 11010802042870号
Book学术文献互助
Book学术文献互助群
群 号:604180095
Book学术官方微信