CPAP vs HFNC in treatment of patients with COVID-19 ARDS: A retrospective propensity-matched study.

IF 1.1 0 CRITICAL CARE MEDICINE
Canadian Journal of Respiratory Therapy Pub Date : 2024-10-31 eCollection Date: 2024-01-01 DOI:10.29390/001c.125145
Ivan Šitum, Lovro Hrvoić, Ante Erceg, Anja Mandarić, Dora Karmelić, Gloria Mamić, Nikolina Džaja, Anđela Babić, Slobodan Mihaljević, Mirabel Mažar, Daniel Lovrić
{"title":"CPAP vs HFNC in treatment of patients with COVID-19 ARDS: A retrospective propensity-matched study.","authors":"Ivan Šitum, Lovro Hrvoić, Ante Erceg, Anja Mandarić, Dora Karmelić, Gloria Mamić, Nikolina Džaja, Anđela Babić, Slobodan Mihaljević, Mirabel Mažar, Daniel Lovrić","doi":"10.29390/001c.125145","DOIUrl":null,"url":null,"abstract":"<p><strong>Background: </strong>Previous studies exploring the application of noninvasive ventilation or high-flow nasal cannula in patients with COVID-19-related acute respiratory distress syndrome (ARDS) have yielded conflicting results on whether any method of respiratory support is superior. Our aim is to compare the efficacy and safety of respiratory therapy with high-flow nasal cannula and noninvasive ventilation with continuous positive airway pressure in treatment of COVID-19-related ARDS.</p><p><strong>Methods: </strong>This is a retrospective cohort study based on data from patients who received respiratory support as part of their treatment in the COVID intensive care unit at the University Hospital Centre Zagreb between February 2021 and February 2023. Using propensity score analysis, 42 patients treated with high-flow nasal cannula (HFNC group) were compared to 42 patients treated with noninvasive ventilation with continuous positive airway pressure (CPAP group). Primary outcome was intubation rate.</p><p><strong>Results: </strong>Intubation rate was 71.4% (30/42) in the HFNC group and 40.5% (17/42) in the CPAP group (<i>p</i> = 0.004). Hazard ratio for intubation was 3.676 (95% confidence interval [CI] 1.480 to 9.232) with the HFNC versus CPAP group. Marginally significant difference in survival between the two groups was observed at 30 days (<i>p</i> = 0.050) but was statistically significant at 60 days (<i>p</i> = 0.043).</p><p><strong>Conclusions: </strong>Respiratory support with high-flow nasal cannula and noninvasive ventilation with continuous positive airway pressure yielded significantly different intubation rates in favour of continuous positive airway pressure. The same patients also had better 30-day and 60-day survival post-admission.</p>","PeriodicalId":39373,"journal":{"name":"Canadian Journal of Respiratory Therapy","volume":"60 ","pages":"164-172"},"PeriodicalIF":1.1000,"publicationDate":"2024-10-31","publicationTypes":"Journal Article","fieldsOfStudy":null,"isOpenAccess":false,"openAccessPdf":"https://www.ncbi.nlm.nih.gov/pmc/articles/PMC11531311/pdf/","citationCount":"0","resultStr":null,"platform":"Semanticscholar","paperid":null,"PeriodicalName":"Canadian Journal of Respiratory Therapy","FirstCategoryId":"1085","ListUrlMain":"https://doi.org/10.29390/001c.125145","RegionNum":0,"RegionCategory":null,"ArticlePicture":[],"TitleCN":null,"AbstractTextCN":null,"PMCID":null,"EPubDate":"2024/1/1 0:00:00","PubModel":"eCollection","JCR":"0","JCRName":"CRITICAL CARE MEDICINE","Score":null,"Total":0}
引用次数: 0

Abstract

Background: Previous studies exploring the application of noninvasive ventilation or high-flow nasal cannula in patients with COVID-19-related acute respiratory distress syndrome (ARDS) have yielded conflicting results on whether any method of respiratory support is superior. Our aim is to compare the efficacy and safety of respiratory therapy with high-flow nasal cannula and noninvasive ventilation with continuous positive airway pressure in treatment of COVID-19-related ARDS.

Methods: This is a retrospective cohort study based on data from patients who received respiratory support as part of their treatment in the COVID intensive care unit at the University Hospital Centre Zagreb between February 2021 and February 2023. Using propensity score analysis, 42 patients treated with high-flow nasal cannula (HFNC group) were compared to 42 patients treated with noninvasive ventilation with continuous positive airway pressure (CPAP group). Primary outcome was intubation rate.

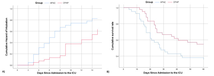
Results: Intubation rate was 71.4% (30/42) in the HFNC group and 40.5% (17/42) in the CPAP group (p = 0.004). Hazard ratio for intubation was 3.676 (95% confidence interval [CI] 1.480 to 9.232) with the HFNC versus CPAP group. Marginally significant difference in survival between the two groups was observed at 30 days (p = 0.050) but was statistically significant at 60 days (p = 0.043).

Conclusions: Respiratory support with high-flow nasal cannula and noninvasive ventilation with continuous positive airway pressure yielded significantly different intubation rates in favour of continuous positive airway pressure. The same patients also had better 30-day and 60-day survival post-admission.

Abstract Image

Abstract Image

Abstract Image

治疗 COVID-19 ARDS 患者的 CPAP 与 HFNC:一项回顾性倾向匹配研究。
背景:以往的研究探讨了无创通气或高流量鼻插管在 COVID-19 相关急性呼吸窘迫综合征(ARDS)患者中的应用,但对于任何一种呼吸支持方法是否更优,研究结果不尽相同。我们的目的是比较高流量鼻插管呼吸疗法和持续气道正压无创通气治疗 COVID-19 相关 ARDS 的有效性和安全性:这是一项回顾性队列研究,基于 2021 年 2 月至 2023 年 2 月期间在萨格勒布大学医院中心 COVID 重症监护病房接受呼吸支持治疗的患者数据。通过倾向评分分析,42 名接受高流量鼻插管治疗的患者(HFNC 组)与 42 名接受无创通气和持续气道正压治疗的患者(CPAP 组)进行了比较。主要结果是插管率:结果:HFNC 组的插管率为 71.4%(30/42),CPAP 组为 40.5%(17/42)(p = 0.004)。HFNC 组与 CPAP 组的插管危险比为 3.676(95% 置信区间 [CI] 1.480 至 9.232)。两组患者的存活率在 30 天时略有差异(p = 0.050),但在 60 天时具有统计学意义(p = 0.043):结论:使用高流量鼻插管进行呼吸支持和使用持续气道正压进行无创通气的插管率明显不同,持续气道正压的插管率更高。同样的患者入院后的 30 天和 60 天存活率也更高。
本文章由计算机程序翻译,如有差异,请以英文原文为准。
求助全文
约1分钟内获得全文 求助全文
来源期刊
Canadian Journal of Respiratory Therapy
Canadian Journal of Respiratory Therapy Health Professions-Health Professions (miscellaneous)
CiteScore
2.00
自引率
0.00%
发文量
34
期刊介绍: The CJRT is published four times a year and represents the interests of respiratory therapists nationally and internationally. The CJRT has been redesigned to act as an educational dissemination tool. The CJRT encourages submission of original articles, papers, commentaries, case studies, literature reviews and directed reading papers. Submissions can be sent to Rita Hansen.
×
引用
GB/T 7714-2015
复制
MLA
复制
APA
复制
导出至
BibTeX EndNote RefMan NoteFirst NoteExpress
×
提示
您的信息不完整,为了账户安全,请先补充。
现在去补充
×
提示
您因"违规操作"
具体请查看互助需知
我知道了
×
提示
确定
请完成安全验证×
copy
已复制链接
快去分享给好友吧!
我知道了
右上角分享
点击右上角分享
0
联系我们:info@booksci.cn Book学术提供免费学术资源搜索服务,方便国内外学者检索中英文文献。致力于提供最便捷和优质的服务体验。 Copyright © 2023 布克学术 All rights reserved.
京ICP备2023020795号-1
ghs 京公网安备 11010802042870号
Book学术文献互助
Book学术文献互助群
群 号:604180095
Book学术官方微信