Is biomechanical loading reduced in individuals with unilateral transtibial amputation during fast-paced walking when using different ankle/foot prostheses? A pragmatic randomized controlled trial.

IF 1.4 4区 医学 Q4 ORTHOPEDICS
Lizanne Andrag, Wayne Derman, John Cockcroft, Phoebe Runciman
{"title":"Is biomechanical loading reduced in individuals with unilateral transtibial amputation during fast-paced walking when using different ankle/foot prostheses? A pragmatic randomized controlled trial.","authors":"Lizanne Andrag, Wayne Derman, John Cockcroft, Phoebe Runciman","doi":"10.1097/PXR.0000000000000395","DOIUrl":null,"url":null,"abstract":"<p><strong>Introduction: </strong>Sound side loading is a risk factor for osteoarthritis development, which has been noted to reduce when using advanced prostheses during normal-paced walking in individuals with unilateral transtibial amputation (UTTA). However, descriptions of loading during fast-paced walking remain relatively unreported. Therefore, the aim of this study was to describe the biomechanical loading of individuals with UTTA while using different ankle/foot prostheses during fast-paced walking.</p><p><strong>Methods: </strong> A blinded, randomized control trial was conducted in a group of K3-K4 ambulators, who used 3 different prosthetic feet (1. a solid ankle cushioned heel foot prosthesis [SACH], 2. a standard energy storage and return foot prosthesis [ESAR], and 3. a novel ESAR foot prosthesis [N-ESAR]) in a 2-week randomized crossover design. The spatiotemporal and kinetic data of the participants' fast walking pace were collected. Data were analyzed using a mixed model and one-way analysis of variances ( p < 0.05) and Cohen d .</p><p><strong>Results: </strong>Twenty individuals with UTTA (age: 40 ± 16 years; height: 1.76 ± 0.09 m; and BMI: 24.72 ± 3.63 kg/m 2 ) participated in this study. There were minimal changes in the spatiotemporal data between the different prosthetic feet. When the participants used the N-ESAR feet, they had a lower peak vertical ground reaction force ( p = 0.02) and external knee adduction moment ( p = 0.02) on the sound side, as well as a higher distal shank power on the prosthetic side ( p < 0.01).</p><p><strong>Conclusion: </strong>Overall fast-paced walking resulted in higher sound side loading forces compared with normal-paced walking. However, use of the N-ESAR prosthesis reduced the biomechanical loading on the sound side in individuals with UTTA while walking at a fast pace compared with the ESAR and SACH prostheses. The percentage change in the biomechanical loading from normal- to fast-paced walking of the N-ESAR foot was also larger compared with the other prostheses, perhaps because of the individuals' ability to achieve a faster walking pace when using the N-ESAR prosthesis. Longitudinal intervention studies should be performed to further investigate the possible benefits of using advanced prostheses.</p>","PeriodicalId":49657,"journal":{"name":"Prosthetics and Orthotics International","volume":" ","pages":"148-158"},"PeriodicalIF":1.4000,"publicationDate":"2025-04-01","publicationTypes":"Journal Article","fieldsOfStudy":null,"isOpenAccess":false,"openAccessPdf":"https://www.ncbi.nlm.nih.gov/pmc/articles/PMC11984548/pdf/","citationCount":"0","resultStr":null,"platform":"Semanticscholar","paperid":null,"PeriodicalName":"Prosthetics and Orthotics International","FirstCategoryId":"3","ListUrlMain":"https://doi.org/10.1097/PXR.0000000000000395","RegionNum":4,"RegionCategory":"医学","ArticlePicture":[],"TitleCN":null,"AbstractTextCN":null,"PMCID":null,"EPubDate":"2024/10/29 0:00:00","PubModel":"Epub","JCR":"Q4","JCRName":"ORTHOPEDICS","Score":null,"Total":0}
引用次数: 0

Abstract

Introduction: Sound side loading is a risk factor for osteoarthritis development, which has been noted to reduce when using advanced prostheses during normal-paced walking in individuals with unilateral transtibial amputation (UTTA). However, descriptions of loading during fast-paced walking remain relatively unreported. Therefore, the aim of this study was to describe the biomechanical loading of individuals with UTTA while using different ankle/foot prostheses during fast-paced walking.

Methods:  A blinded, randomized control trial was conducted in a group of K3-K4 ambulators, who used 3 different prosthetic feet (1. a solid ankle cushioned heel foot prosthesis [SACH], 2. a standard energy storage and return foot prosthesis [ESAR], and 3. a novel ESAR foot prosthesis [N-ESAR]) in a 2-week randomized crossover design. The spatiotemporal and kinetic data of the participants' fast walking pace were collected. Data were analyzed using a mixed model and one-way analysis of variances ( p < 0.05) and Cohen d .

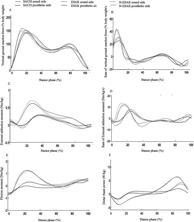
Results: Twenty individuals with UTTA (age: 40 ± 16 years; height: 1.76 ± 0.09 m; and BMI: 24.72 ± 3.63 kg/m 2 ) participated in this study. There were minimal changes in the spatiotemporal data between the different prosthetic feet. When the participants used the N-ESAR feet, they had a lower peak vertical ground reaction force ( p = 0.02) and external knee adduction moment ( p = 0.02) on the sound side, as well as a higher distal shank power on the prosthetic side ( p < 0.01).

Conclusion: Overall fast-paced walking resulted in higher sound side loading forces compared with normal-paced walking. However, use of the N-ESAR prosthesis reduced the biomechanical loading on the sound side in individuals with UTTA while walking at a fast pace compared with the ESAR and SACH prostheses. The percentage change in the biomechanical loading from normal- to fast-paced walking of the N-ESAR foot was also larger compared with the other prostheses, perhaps because of the individuals' ability to achieve a faster walking pace when using the N-ESAR prosthesis. Longitudinal intervention studies should be performed to further investigate the possible benefits of using advanced prostheses.

Abstract Image

Abstract Image

Abstract Image

使用不同的踝/足假肢,单侧经胫截肢者在快步行走时的生物力学负荷是否会减轻?一项实用随机对照试验。
导言:在单侧经胫骨截肢(UTTA)患者正常步速行走过程中使用高级假肢时,声侧负荷会减少,声侧负荷是骨关节炎发生的一个危险因素。然而,关于快节奏行走时负载的描述却相对较少。因此,本研究旨在描述UTTA患者在使用不同的踝/足假肢进行快节奏行走时的生物力学负荷:在一组 K3-K4 行走障碍者中进行了一项盲法随机对照试验,他们在为期两周的随机交叉设计中使用了 3 种不同的假足(1.实心踝关节缓冲足跟假足 [SACH];2.标准能量储存和回馈足假足 [ESAR];3.新型 ESAR 足假足 [N-ESAR])。研究人员收集了参与者快步行走的时空和动力学数据。数据分析采用混合模型、单因素方差分析(P < 0.05)和 Cohen d.Result:20名UTTA患者(年龄:40±16岁;身高:1.76±0.09米;体重指数:24.72±3.63千克/平方米)参加了此次研究。不同义足之间的时空数据变化极小。当参与者使用 N-ESAR 义足时,健侧的垂直地面反作用力峰值(p = 0.02)和膝关节外展力矩(p = 0.02)较低,而义侧的远端小腿力量较高(p < 0.01):结论:总体而言,快节奏行走与正常节奏行走相比,会产生更高的健侧负荷力。然而,与 ESAR 和 SACH 假肢相比,使用 N-ESAR 假肢可降低UTTA 患者在快步行走时的声侧生物力学负荷。与其他假体相比,N-ESAR足从正常行走到快步行走的生物力学负荷变化百分比也更大,这可能是因为患者在使用N-ESAR假体时能够达到更快的行走速度。应进行纵向干预研究,以进一步了解使用先进假肢可能带来的益处。
本文章由计算机程序翻译,如有差异,请以英文原文为准。
求助全文
约1分钟内获得全文 求助全文
来源期刊
CiteScore
2.30
自引率
13.30%
发文量
208
审稿时长
6-12 weeks
期刊介绍: Prosthetics and Orthotics International is an international, multidisciplinary journal for all professionals who have an interest in the medical, clinical, rehabilitation, technical, educational and research aspects of prosthetics, orthotics and rehabilitation engineering, as well as their related topics.
×
引用
GB/T 7714-2015
复制
MLA
复制
APA
复制
导出至
BibTeX EndNote RefMan NoteFirst NoteExpress
×
提示
您的信息不完整,为了账户安全,请先补充。
现在去补充
×
提示
您因"违规操作"
具体请查看互助需知
我知道了
×
提示
确定
请完成安全验证×
copy
已复制链接
快去分享给好友吧!
我知道了
右上角分享
点击右上角分享
0
联系我们:info@booksci.cn Book学术提供免费学术资源搜索服务,方便国内外学者检索中英文文献。致力于提供最便捷和优质的服务体验。 Copyright © 2023 布克学术 All rights reserved.
京ICP备2023020795号-1
ghs 京公网安备 11010802042870号
Book学术文献互助
Book学术文献互助群
群 号:604180095
Book学术官方微信