A statistical analysis method for probability distributions in Erdös-Rényi random networks with preferential cutting-rewiring operation.

IF 3
Frontiers in network physiology Pub Date : 2024-10-17 eCollection Date: 2024-01-01 DOI:10.3389/fnetp.2024.1390319
Yu Qian, Jiahui Cao, Jing Han, Siyi Zhang, Wentao Chen, Zhao Lei, Xiaohua Cui, Zhigang Zheng
{"title":"A statistical analysis method for probability distributions in Erdös-Rényi random networks with preferential cutting-rewiring operation.","authors":"Yu Qian, Jiahui Cao, Jing Han, Siyi Zhang, Wentao Chen, Zhao Lei, Xiaohua Cui, Zhigang Zheng","doi":"10.3389/fnetp.2024.1390319","DOIUrl":null,"url":null,"abstract":"<p><p>The study of specific physiological processes from the perspective of network physiology has gained recent attention. Modeling the global information integration among the separated functionalized modules in structural and functional brain networks is a central problem. In this article, the preferentially cutting-rewiring operation (PCRO) is introduced to approximatively describe the above physiological process, which consists of the cutting procedure and the rewiring procedure with specific preferential constraints. By applying the PCRO on the classical Erdös-Rényi random network (ERRN), three types of isolated nodes are generated, based on which the common leaves (CLs) are formed between the two hubs. This makes the initially homogeneous ERRN experience drastic changes and become heterogeneous. Importantly, a statistical analysis method is proposed to theoretically analyze the statistical properties of an ERRN with a PCRO. Specifically, the probability distributions of these three types of isolated nodes are derived, based on which the probability distribution of the CLs can be obtained easily. Furthermore, the validity and universality of our statistical analysis method have been confirmed in numerical experiments. Our contributions may shed light on a new perspective in the interdisciplinary field of complexity science and biological science and would be of great and general interest to network physiology.</p>","PeriodicalId":73092,"journal":{"name":"Frontiers in network physiology","volume":"4 ","pages":"1390319"},"PeriodicalIF":3.0000,"publicationDate":"2024-10-17","publicationTypes":"Journal Article","fieldsOfStudy":null,"isOpenAccess":false,"openAccessPdf":"https://www.ncbi.nlm.nih.gov/pmc/articles/PMC11524867/pdf/","citationCount":"0","resultStr":null,"platform":"Semanticscholar","paperid":null,"PeriodicalName":"Frontiers in network physiology","FirstCategoryId":"1085","ListUrlMain":"https://doi.org/10.3389/fnetp.2024.1390319","RegionNum":0,"RegionCategory":null,"ArticlePicture":[],"TitleCN":null,"AbstractTextCN":null,"PMCID":null,"EPubDate":"2024/1/1 0:00:00","PubModel":"eCollection","JCR":"","JCRName":"","Score":null,"Total":0}
引用次数: 0

Abstract

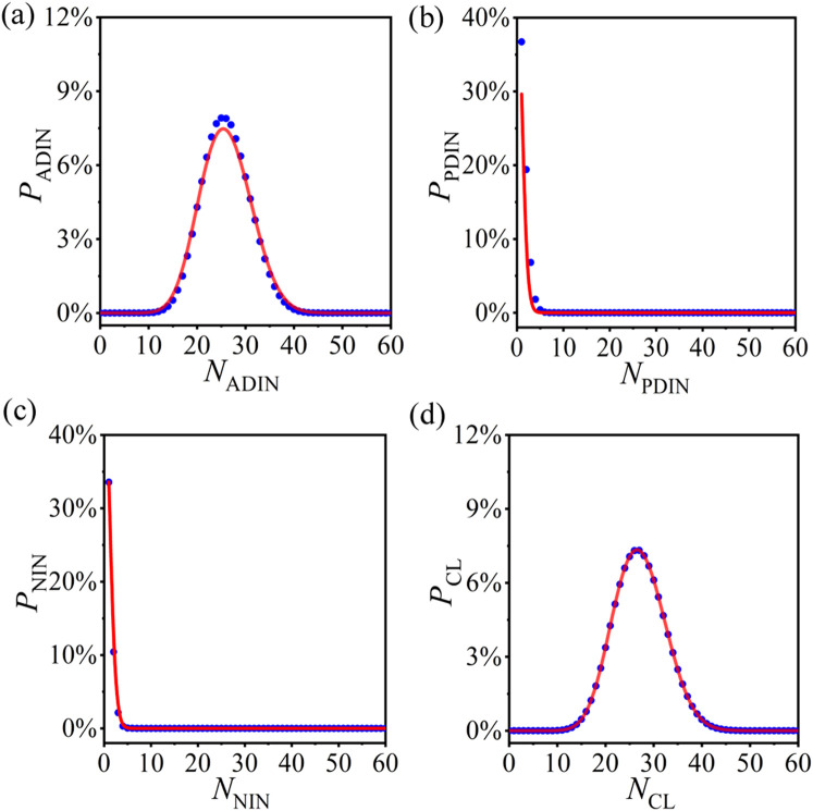
The study of specific physiological processes from the perspective of network physiology has gained recent attention. Modeling the global information integration among the separated functionalized modules in structural and functional brain networks is a central problem. In this article, the preferentially cutting-rewiring operation (PCRO) is introduced to approximatively describe the above physiological process, which consists of the cutting procedure and the rewiring procedure with specific preferential constraints. By applying the PCRO on the classical Erdös-Rényi random network (ERRN), three types of isolated nodes are generated, based on which the common leaves (CLs) are formed between the two hubs. This makes the initially homogeneous ERRN experience drastic changes and become heterogeneous. Importantly, a statistical analysis method is proposed to theoretically analyze the statistical properties of an ERRN with a PCRO. Specifically, the probability distributions of these three types of isolated nodes are derived, based on which the probability distribution of the CLs can be obtained easily. Furthermore, the validity and universality of our statistical analysis method have been confirmed in numerical experiments. Our contributions may shed light on a new perspective in the interdisciplinary field of complexity science and biological science and would be of great and general interest to network physiology.

Abstract Image

Abstract Image

Abstract Image

埃尔德斯-雷尼(Erdös-Rényi)随机网络中优先切割-布线操作概率分布的统计分析方法。
从网络生理学的角度研究特定的生理过程近来备受关注。对大脑结构和功能网络中相互分离的功能化模块进行全局信息整合建模是一个核心问题。本文引入了优先切割-重新布线运算(PCRO)来近似描述上述生理过程,它由具有特定优先约束条件的切割过程和重新布线过程组成。通过在经典的埃尔德斯-雷尼随机网络(ERRN)上应用 PCRO,产生了三种类型的孤立节点,并在此基础上在两个枢纽之间形成了公共叶(CL)。这使得最初同质的ERRN发生了剧烈变化,变得异质。重要的是,本文提出了一种统计分析方法,从理论上分析了具有 PCRO 的ERRN 的统计特性。具体地说,推导出了这三种孤立节点的概率分布,并在此基础上轻松得到了 CL 的概率分布。此外,我们的统计分析方法的有效性和普遍性已在数值实验中得到证实。我们的贡献可能会为复杂性科学和生物科学的交叉学科领域提供一个新的视角,并对网络生理学具有重大而普遍的意义。
本文章由计算机程序翻译,如有差异,请以英文原文为准。
求助全文
约1分钟内获得全文 求助全文
来源期刊
CiteScore
2.70
自引率
0.00%
发文量
0
×
引用
GB/T 7714-2015
复制
MLA
复制
APA
复制
导出至
BibTeX EndNote RefMan NoteFirst NoteExpress
×
提示
您的信息不完整,为了账户安全,请先补充。
现在去补充
×
提示
您因"违规操作"
具体请查看互助需知
我知道了
×
提示
确定
请完成安全验证×
copy
已复制链接
快去分享给好友吧!
我知道了
右上角分享
点击右上角分享
0
联系我们:info@booksci.cn Book学术提供免费学术资源搜索服务,方便国内外学者检索中英文文献。致力于提供最便捷和优质的服务体验。 Copyright © 2023 布克学术 All rights reserved.
京ICP备2023020795号-1
ghs 京公网安备 11010802042870号
Book学术文献互助
Book学术文献互助群
群 号:604180095
Book学术官方微信