Effect of 1-Week Weight Loss While Maintaining Total Body Water on Jump Performance.

IF 1.9 Q3 SPORT SCIENCES
Translational sports medicine Pub Date : 2024-10-24 eCollection Date: 2024-01-01 DOI:10.1155/2024/6458445
Hiroyuki Sagayama, Makiko Toguchi, Jun Yasukata, Rie Tomiga-Takae, Yujiro Kose, Masahiro Ikenaga, Takaaki Komiyama, Mamiko Ichikawa, Nemanja Lakicevic, Yasuki Higaki, Hiroaki Tanaka, Hiroyuki Nunome
{"title":"Effect of 1-Week Weight Loss While Maintaining Total Body Water on Jump Performance.","authors":"Hiroyuki Sagayama, Makiko Toguchi, Jun Yasukata, Rie Tomiga-Takae, Yujiro Kose, Masahiro Ikenaga, Takaaki Komiyama, Mamiko Ichikawa, Nemanja Lakicevic, Yasuki Higaki, Hiroaki Tanaka, Hiroyuki Nunome","doi":"10.1155/2024/6458445","DOIUrl":null,"url":null,"abstract":"<p><p>Jumping performance is influenced by body composition and excess fat mass impairs performance. Maintaining optimal fat mass and fat-free mass (FFM) is crucial for enhancing jump height. However, there is limited evidence on short-term weight loss programs that reduce fat mass without water restriction and their effects on muscle function and jumping performance. This study aimed to clarify the effects of a 1-week weight loss program on jumping height and muscle function of volleyball players. The weight loss group engaged in two 40 min slow-paced jogging sessions in addition to their daily training routine. Energy intake was restricted without limitations on water intake. Total body water and body composition using the deuterium dilution method, muscle strength, and jump height before and after 1 week were evaluated for those in the weight loss and control groups. Body mass was significantly reduced in the weight loss group (-2.7 ± 1.3%, <i>p</i> < 0.05) with a significant reduction in fat mass (-17.7 ± 10.7%, <i>p</i> < 0.05). Meanwhile, there were no significant changes in total body water or FFM. Muscle strength and power tests indicated no significant differences between the groups; no notable differences were observed in handgrip strength or knee extension torque. The height of a single vertical and continuous jump remained consistent pre- and postintervention in the control group. In the weight loss group, although the height of a single vertical jump exhibited a slight decline postintervention, the height of a continuous jump displayed no significant changes. The short-term weight loss program significantly reduced fat mass without compromising muscle function, which is crucial for sports performance. These findings may benefit other athletes who require fat mass reduction while maintaining muscle function and help create new programs during specific training phases.</p>","PeriodicalId":75247,"journal":{"name":"Translational sports medicine","volume":"2024 ","pages":"6458445"},"PeriodicalIF":1.9000,"publicationDate":"2024-10-24","publicationTypes":"Journal Article","fieldsOfStudy":null,"isOpenAccess":false,"openAccessPdf":"https://www.ncbi.nlm.nih.gov/pmc/articles/PMC11527525/pdf/","citationCount":"0","resultStr":null,"platform":"Semanticscholar","paperid":null,"PeriodicalName":"Translational sports medicine","FirstCategoryId":"1085","ListUrlMain":"https://doi.org/10.1155/2024/6458445","RegionNum":0,"RegionCategory":null,"ArticlePicture":[],"TitleCN":null,"AbstractTextCN":null,"PMCID":null,"EPubDate":"2024/1/1 0:00:00","PubModel":"eCollection","JCR":"Q3","JCRName":"SPORT SCIENCES","Score":null,"Total":0}
引用次数: 0

Abstract

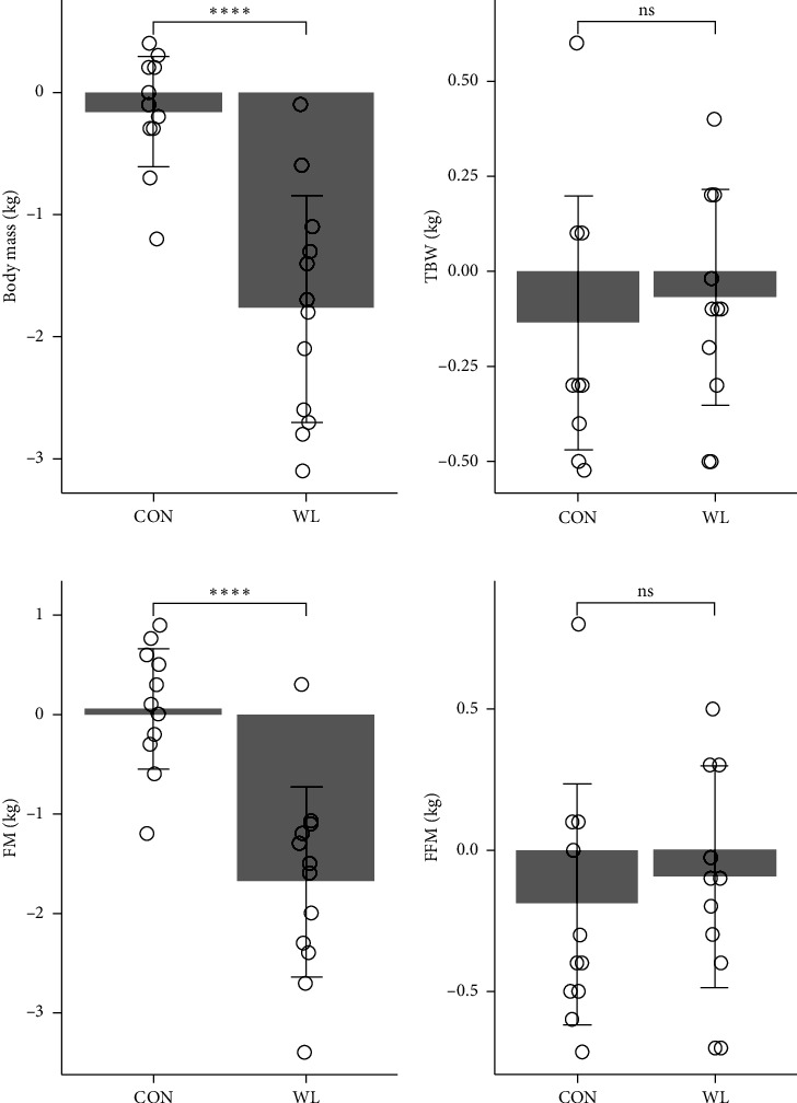
Jumping performance is influenced by body composition and excess fat mass impairs performance. Maintaining optimal fat mass and fat-free mass (FFM) is crucial for enhancing jump height. However, there is limited evidence on short-term weight loss programs that reduce fat mass without water restriction and their effects on muscle function and jumping performance. This study aimed to clarify the effects of a 1-week weight loss program on jumping height and muscle function of volleyball players. The weight loss group engaged in two 40 min slow-paced jogging sessions in addition to their daily training routine. Energy intake was restricted without limitations on water intake. Total body water and body composition using the deuterium dilution method, muscle strength, and jump height before and after 1 week were evaluated for those in the weight loss and control groups. Body mass was significantly reduced in the weight loss group (-2.7 ± 1.3%, p < 0.05) with a significant reduction in fat mass (-17.7 ± 10.7%, p < 0.05). Meanwhile, there were no significant changes in total body water or FFM. Muscle strength and power tests indicated no significant differences between the groups; no notable differences were observed in handgrip strength or knee extension torque. The height of a single vertical and continuous jump remained consistent pre- and postintervention in the control group. In the weight loss group, although the height of a single vertical jump exhibited a slight decline postintervention, the height of a continuous jump displayed no significant changes. The short-term weight loss program significantly reduced fat mass without compromising muscle function, which is crucial for sports performance. These findings may benefit other athletes who require fat mass reduction while maintaining muscle function and help create new programs during specific training phases.

Abstract Image

Abstract Image

Abstract Image

在保持身体总水分的情况下减轻一周体重对跳跃成绩的影响。
跳跃成绩受身体成分的影响,过多的脂肪会影响成绩。保持最佳的脂肪量和无脂肪量(FFM)对于提高跳跃高度至关重要。然而,有关在不限制水分的情况下减少脂肪量的短期减肥计划及其对肌肉功能和跳跃成绩的影响的证据却很有限。本研究旨在阐明为期一周的减肥计划对排球运动员跳跃高度和肌肉功能的影响。减肥组除了日常训练外,还进行了两次 40 分钟的慢跑。能量摄入受到限制,但不限制水分摄入。采用氘稀释法对减肥组和对照组运动员一周前后的总水分和身体成分、肌肉力量和跳跃高度进行了评估。减肥组的体重明显减少(-2.7 ± 1.3%,P < 0.05),脂肪量明显减少(-17.7 ± 10.7%,P < 0.05)。同时,身体总水分和脂肪含量没有明显变化。肌肉力量和功率测试表明,两组之间没有明显差异;手握力量和膝关节伸展扭矩也没有观察到明显差异。对照组的单次垂直跳和连续跳高度在干预前后保持一致。在减肥组中,虽然单次垂直跳跃的高度在干预后略有下降,但连续跳跃的高度没有明显变化。短期减肥计划大大减少了脂肪量,同时又不影响对运动表现至关重要的肌肉功能。这些发现可能会使其他需要在保持肌肉功能的同时减少脂肪量的运动员受益,并有助于在特定训练阶段制定新的计划。
本文章由计算机程序翻译,如有差异,请以英文原文为准。
求助全文
约1分钟内获得全文 求助全文
来源期刊
CiteScore
3.00
自引率
0.00%
发文量
0
×
引用
GB/T 7714-2015
复制
MLA
复制
APA
复制
导出至
BibTeX EndNote RefMan NoteFirst NoteExpress
×
提示
您的信息不完整,为了账户安全,请先补充。
现在去补充
×
提示
您因"违规操作"
具体请查看互助需知
我知道了
×
提示
确定
请完成安全验证×
copy
已复制链接
快去分享给好友吧!
我知道了
右上角分享
点击右上角分享
0
联系我们:info@booksci.cn Book学术提供免费学术资源搜索服务,方便国内外学者检索中英文文献。致力于提供最便捷和优质的服务体验。 Copyright © 2023 布克学术 All rights reserved.
京ICP备2023020795号-1
ghs 京公网安备 11010802042870号
Book学术文献互助
Book学术文献互助群
群 号:604180095
Book学术官方微信