Analysis of heart rate as a predictor of changes in heart rate variability in children.

IF 2
Paulo César Trindade Costa, Adélia da Costa Pereira de Arruda Neta, Vinícius José Baccin Martins, José Luiz de Brito Alves
{"title":"Analysis of heart rate as a predictor of changes in heart rate variability in children.","authors":"Paulo César Trindade Costa, Adélia da Costa Pereira de Arruda Neta, Vinícius José Baccin Martins, José Luiz de Brito Alves","doi":"10.1590/1984-0462/2025/43/2024045","DOIUrl":null,"url":null,"abstract":"<p><strong>Objective: </strong>To evaluate the predictive validity and cut-off point of heart rate and blood pressure on heart rate variability (HRV) changes in children with and without obesity.</p><p><strong>Methods: </strong>This study included 125 children, of whom 41 were normal weight and 84 were obese. Anthropometry, blood pressure, heart rate, and HRV were measured using an electronic scale and stadiometer, a sphygmomanometer, and HRV monitor. In addition, the receiver operating characteristic (ROC) curve was obtained by statistical analysis of the data.</p><p><strong>Results: </strong>Heart rate proved to be a good predictor for changes in the square root of the mean of the square of the differences between consecutive NN intervals (RMSSD) parameter in students of both sexes for the normal-weight group (ROC 0.89; 95%CI 0.77-1.00) and obesity (ROC 0.90; 95%CI 0.83-0.97). In addition, the heart rate cut-off point for alterations in the RMSSD parameter for normal-weight boys was 93 bpm (sensitivity 100.00% and specificity 87.50%) and for boys with obesity, the established cut-off point was 91 bpm (sensitivity 94.74% and specificity 63.64%). Heart rate also proved to be a good predictor considering low-frequency/high-frequency ratio (LF/HF) and standard deviation of long-term continuous NN intervals /standard deviation of the instantaneous variability of continuous NN intervals in the Poincaré graph ratio (SD2/SD1). Systolic and diastolic blood pressures were good predictors in more specific stratifications and, therefore, can be used in some cases.</p><p><strong>Conclusions: </strong>The predictive validity of heart rate was shown to be at a good level, with high sensitivity and acceptable specificity for the cut-off points according to the different analyses stratified by gender and nutritional status. In this sense, health professionals will be able to use heart rate to estimate cardiovascular risk in children of different sexes and nutritional status.</p>","PeriodicalId":74721,"journal":{"name":"Revista paulista de pediatria : orgao oficial da Sociedade de Pediatria de Sao Paulo","volume":"43 ","pages":"e2024045"},"PeriodicalIF":2.0000,"publicationDate":"2024-10-28","publicationTypes":"Journal Article","fieldsOfStudy":null,"isOpenAccess":false,"openAccessPdf":"https://www.ncbi.nlm.nih.gov/pmc/articles/PMC11524575/pdf/","citationCount":"0","resultStr":null,"platform":"Semanticscholar","paperid":null,"PeriodicalName":"Revista paulista de pediatria : orgao oficial da Sociedade de Pediatria de Sao Paulo","FirstCategoryId":"1085","ListUrlMain":"https://doi.org/10.1590/1984-0462/2025/43/2024045","RegionNum":0,"RegionCategory":null,"ArticlePicture":[],"TitleCN":null,"AbstractTextCN":null,"PMCID":null,"EPubDate":"2024/1/1 0:00:00","PubModel":"eCollection","JCR":"","JCRName":"","Score":null,"Total":0}
引用次数: 0

Abstract

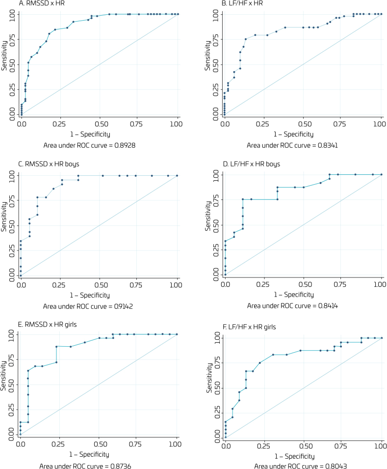
Objective: To evaluate the predictive validity and cut-off point of heart rate and blood pressure on heart rate variability (HRV) changes in children with and without obesity.

Methods: This study included 125 children, of whom 41 were normal weight and 84 were obese. Anthropometry, blood pressure, heart rate, and HRV were measured using an electronic scale and stadiometer, a sphygmomanometer, and HRV monitor. In addition, the receiver operating characteristic (ROC) curve was obtained by statistical analysis of the data.

Results: Heart rate proved to be a good predictor for changes in the square root of the mean of the square of the differences between consecutive NN intervals (RMSSD) parameter in students of both sexes for the normal-weight group (ROC 0.89; 95%CI 0.77-1.00) and obesity (ROC 0.90; 95%CI 0.83-0.97). In addition, the heart rate cut-off point for alterations in the RMSSD parameter for normal-weight boys was 93 bpm (sensitivity 100.00% and specificity 87.50%) and for boys with obesity, the established cut-off point was 91 bpm (sensitivity 94.74% and specificity 63.64%). Heart rate also proved to be a good predictor considering low-frequency/high-frequency ratio (LF/HF) and standard deviation of long-term continuous NN intervals /standard deviation of the instantaneous variability of continuous NN intervals in the Poincaré graph ratio (SD2/SD1). Systolic and diastolic blood pressures were good predictors in more specific stratifications and, therefore, can be used in some cases.

Conclusions: The predictive validity of heart rate was shown to be at a good level, with high sensitivity and acceptable specificity for the cut-off points according to the different analyses stratified by gender and nutritional status. In this sense, health professionals will be able to use heart rate to estimate cardiovascular risk in children of different sexes and nutritional status.

Abstract Image

作为儿童心率变异性变化预测因子的心率分析。
目的评估心率和血压对肥胖和非肥胖儿童心率变异性(HRV)变化的预测有效性和临界点:本研究包括 125 名儿童,其中 41 名体重正常,84 名肥胖。使用电子秤和测力计、血压计和心率变异监测仪测量了人体测量、血压、心率和心率变异。此外,还对数据进行了统计分析,得出了接收者操作特征曲线(ROC):事实证明,心率能很好地预测正常体重组(ROC 0.89;95%CI 0.77-1.00)和肥胖组(ROC 0.90;95%CI 0.83-0.97)男女学生连续 NN 间隔差平方根均值(RMSSD)参数的变化。此外,正常体重男孩 RMSSD 参数变化的心率临界点为 93 bpm(灵敏度 100.00%,特异度 87.50%),肥胖男孩的临界点为 91 bpm(灵敏度 94.74%,特异度 63.64%)。考虑到低频/高频比率(LF/HF)和波恩卡雷图中长期连续 NNN 间期标准偏差/连续 NNN 间期瞬时变异性标准偏差比率(SD2/SD1),心率也被证明是一个很好的预测指标。在更具体的分层中,收缩压和舒张压是很好的预测指标,因此在某些情况下可以使用:根据性别和营养状况进行的不同分层分析表明,心率的预测有效性处于良好水平,其敏感性高,特异性可接受。从这个意义上讲,医疗专业人员可以利用心率来估计不同性别和营养状况儿童的心血管风险。
本文章由计算机程序翻译,如有差异,请以英文原文为准。
求助全文
约1分钟内获得全文 求助全文
来源期刊
自引率
0.00%
发文量
0
×
引用
GB/T 7714-2015
复制
MLA
复制
APA
复制
导出至
BibTeX EndNote RefMan NoteFirst NoteExpress
×
提示
您的信息不完整,为了账户安全,请先补充。
现在去补充
×
提示
您因"违规操作"
具体请查看互助需知
我知道了
×
提示
确定
请完成安全验证×
copy
已复制链接
快去分享给好友吧!
我知道了
右上角分享
点击右上角分享
0
联系我们:info@booksci.cn Book学术提供免费学术资源搜索服务,方便国内外学者检索中英文文献。致力于提供最便捷和优质的服务体验。 Copyright © 2023 布克学术 All rights reserved.
京ICP备2023020795号-1
ghs 京公网安备 11010802042870号
Book学术文献互助
Book学术文献互助群
群 号:604180095
Book学术官方微信