Predictive Value of Triglyceride-Glucose Index for All-Cause and Cardiovascular Mortality in Patients With Diabetes Mellitus: A Retrospective Study: TyG Index and Mortality in Diabetes.

IF 2.3 4区 医学 Q3 ENDOCRINOLOGY & METABOLISM
International Journal of Endocrinology Pub Date : 2024-10-23 eCollection Date: 2024-01-01 DOI:10.1155/2024/6417205
Xiaoxuan Feng, Yishou Deng, Chaolei Chen, Xiaocong Liu, Yuqing Huang, Yingqing Feng
{"title":"Predictive Value of Triglyceride-Glucose Index for All-Cause and Cardiovascular Mortality in Patients With Diabetes Mellitus: A Retrospective Study: TyG Index and Mortality in Diabetes.","authors":"Xiaoxuan Feng, Yishou Deng, Chaolei Chen, Xiaocong Liu, Yuqing Huang, Yingqing Feng","doi":"10.1155/2024/6417205","DOIUrl":null,"url":null,"abstract":"<p><p><b>Objective:</b> To determine the associations between triglyceride-glucose (TyG) index and mortality from all causes and cardiovascular causes in diabetic population. <b>Methods:</b> 3349 participants with diabetes mellitus (DM) from the 1999-2014 National Health and Nutrition Examination Surveys (NHANES), aged 18-85 years were included and grouped based on the TyG index in quintiles. Mortality was followed up through December 31<sup>th</sup>, 2015. Cox proportional hazards models were used to assess the hazard ratios (HRs) and 95% confidence intervals (CIs). We clarified the shape of association between TyG index and mortality using restricted cubic splines and piecewise linear regression. <b>Results:</b> After a median follow-up period of 82 months, 800 (23.9%) deaths occurred, of which 190 (5.7%) were due to cardiovascular causes. Participants in the top quintile had higher risks of all-cause mortality (HR, 1.38; 95% CI, 1.04-1.48) and cardiovascular mortality (HR, 2.43; 95% CI, 1.32-4.45) than those in the lowest quintile. TyG index and all-cause mortality had a J-shaped relationship with a threshold value of 9.32, while TyG index and cardiovascular mortality had a reversed L-shaped relationship with a threshold value of 9.37. Higher TyG index was associated with increased risks of all-cause mortality (per SD increment, HR, 1.52; 95% CI, 1.27-1.82) and cardiovascular mortality (per SD increment, HR, 2.17; 95% CI, 1.54-3.04) when above the threshold values. The sensitivity analyses demonstrated similar findings. <b>Conclusions:</b> TyG index in diabetic patients was nonlinearly correlated with mortality risks, potentially predicting all-cause and cardiovascular mortality.</p>","PeriodicalId":13966,"journal":{"name":"International Journal of Endocrinology","volume":"2024 ","pages":"6417205"},"PeriodicalIF":2.3000,"publicationDate":"2024-10-23","publicationTypes":"Journal Article","fieldsOfStudy":null,"isOpenAccess":false,"openAccessPdf":"https://www.ncbi.nlm.nih.gov/pmc/articles/PMC11524704/pdf/","citationCount":"0","resultStr":null,"platform":"Semanticscholar","paperid":null,"PeriodicalName":"International Journal of Endocrinology","FirstCategoryId":"3","ListUrlMain":"https://doi.org/10.1155/2024/6417205","RegionNum":4,"RegionCategory":"医学","ArticlePicture":[],"TitleCN":null,"AbstractTextCN":null,"PMCID":null,"EPubDate":"2024/1/1 0:00:00","PubModel":"eCollection","JCR":"Q3","JCRName":"ENDOCRINOLOGY & METABOLISM","Score":null,"Total":0}
引用次数: 0

Abstract

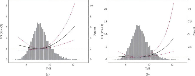
Objective: To determine the associations between triglyceride-glucose (TyG) index and mortality from all causes and cardiovascular causes in diabetic population. Methods: 3349 participants with diabetes mellitus (DM) from the 1999-2014 National Health and Nutrition Examination Surveys (NHANES), aged 18-85 years were included and grouped based on the TyG index in quintiles. Mortality was followed up through December 31th, 2015. Cox proportional hazards models were used to assess the hazard ratios (HRs) and 95% confidence intervals (CIs). We clarified the shape of association between TyG index and mortality using restricted cubic splines and piecewise linear regression. Results: After a median follow-up period of 82 months, 800 (23.9%) deaths occurred, of which 190 (5.7%) were due to cardiovascular causes. Participants in the top quintile had higher risks of all-cause mortality (HR, 1.38; 95% CI, 1.04-1.48) and cardiovascular mortality (HR, 2.43; 95% CI, 1.32-4.45) than those in the lowest quintile. TyG index and all-cause mortality had a J-shaped relationship with a threshold value of 9.32, while TyG index and cardiovascular mortality had a reversed L-shaped relationship with a threshold value of 9.37. Higher TyG index was associated with increased risks of all-cause mortality (per SD increment, HR, 1.52; 95% CI, 1.27-1.82) and cardiovascular mortality (per SD increment, HR, 2.17; 95% CI, 1.54-3.04) when above the threshold values. The sensitivity analyses demonstrated similar findings. Conclusions: TyG index in diabetic patients was nonlinearly correlated with mortality risks, potentially predicting all-cause and cardiovascular mortality.

Abstract Image

Abstract Image

甘油三酯-葡萄糖指数对糖尿病患者全因死亡率和心血管死亡率的预测价值:一项回顾性研究:TyG指数与糖尿病死亡率。
目的确定糖尿病患者的甘油三酯-葡萄糖(TyG)指数与各种原因和心血管原因导致的死亡率之间的关系。方法:纳入1999-2014年美国国家健康与营养调查(NHANES)中年龄在18-85岁之间的3349名糖尿病(DM)患者,并根据TyG指数的五分位数进行分组。死亡率随访至 2015 年 12 月 31 日。采用 Cox 比例危险模型评估危险比 (HR) 和 95% 置信区间 (CI)。我们使用限制性三次样条和片断线性回归阐明了TyG指数与死亡率之间的关系。结果中位随访期为 82 个月,共有 800 人(23.9%)死亡,其中 190 人(5.7%)死于心血管疾病。最高五分位数参与者的全因死亡风险(HR,1.38;95% CI,1.04-1.48)和心血管死亡风险(HR,2.43;95% CI,1.32-4.45)高于最低五分位数参与者。TyG指数与全因死亡率呈J型关系,临界值为9.32,而TyG指数与心血管死亡率呈相反的L型关系,临界值为9.37。当TyG指数高于阈值时,TyG指数越高,全因死亡(每标准差增量,HR,1.52;95% CI,1.27-1.82)和心血管死亡(每标准差增量,HR,2.17;95% CI,1.54-3.04)的风险越高。敏感性分析显示了类似的结果。结论糖尿病患者的TyG指数与死亡风险呈非线性关系,可预测全因死亡率和心血管死亡率。
本文章由计算机程序翻译,如有差异,请以英文原文为准。
求助全文
约1分钟内获得全文 求助全文
来源期刊
International Journal of Endocrinology
International Journal of Endocrinology ENDOCRINOLOGY & METABOLISM-
CiteScore
5.20
自引率
0.00%
发文量
147
审稿时长
1 months
期刊介绍: International Journal of Endocrinology is a peer-reviewed, Open Access journal that provides a forum for scientists and clinicians working in basic and translational research. The journal publishes original research articles, review articles, and clinical studies that provide insights into the endocrine system and its associated diseases at a genomic, molecular, biochemical and cellular level.
×
引用
GB/T 7714-2015
复制
MLA
复制
APA
复制
导出至
BibTeX EndNote RefMan NoteFirst NoteExpress
×
提示
您的信息不完整,为了账户安全,请先补充。
现在去补充
×
提示
您因"违规操作"
具体请查看互助需知
我知道了
×
提示
确定
请完成安全验证×
copy
已复制链接
快去分享给好友吧!
我知道了
右上角分享
点击右上角分享
0
联系我们:info@booksci.cn Book学术提供免费学术资源搜索服务,方便国内外学者检索中英文文献。致力于提供最便捷和优质的服务体验。 Copyright © 2023 布克学术 All rights reserved.
京ICP备2023020795号-1
ghs 京公网安备 11010802042870号
Book学术文献互助
Book学术文献互助群
群 号:604180095
Book学术官方微信