Detecting Longitudinal Trends between Passively Collected Phone Use and Anxiety among College Students.

Q1 Computer Science
Digital Biomarkers Pub Date : 2024-09-05 eCollection Date: 2024-01-01 DOI:10.1159/000540546
Joseph A Gyorda, Damien Lekkas, Nicholas C Jacobson
{"title":"Detecting Longitudinal Trends between Passively Collected Phone Use and Anxiety among College Students.","authors":"Joseph A Gyorda, Damien Lekkas, Nicholas C Jacobson","doi":"10.1159/000540546","DOIUrl":null,"url":null,"abstract":"<p><strong>Introduction: </strong>Existing theories and empirical works link phone use with anxiety; however, most leverage subjective self-reports of phone use (e.g., validated questionnaires) that may not correspond well with true behavior. Moreover, most works linking phone use with anxiety do not interrogate associations within a temporal framework. Accordingly, the present study sought to investigate the utility of passively sensed phone use as a longitudinal predictor of anxiety symptomatology within a population particularly vulnerable to experiencing anxiety.</p><p><strong>Methods: </strong>Using data from the GLOBEM study, which continuously collected longitudinal behavioral data from a college cohort of <i>N</i> = 330 students, weekly PHQ-4 anxiety subscale scores across 3 years (2019-2021) were paired with median daily phone use records from the 2 weeks prior to anxiety self-report completion. Phone use was operationalized through unlock duration which was passively curated via Apple's \"Screen Time\" feature. GPS-tracked location data was further utilized to specify whether an individual's phone use was at home or away from home. Within-individual and temporal associations between phone use and anxiety were modeled within an ordinal mixed-effects logistic regression framework.</p><p><strong>Results: </strong>While there was no significant association between anxiety levels and either median total phone use or median phone use at home, participants in the top quartile of median phone use away from home were predicted to exhibit clinically significant anxiety levels 20% more frequently than participants in the bottom quartile during the first study year; however, this association weakened across successive years. Importantly, these associations remained after controlling for age, physical activity, sleep, and baseline anxiety levels and were not recapitulated when operationalizing phone use with unlock frequency.</p><p><strong>Conclusions: </strong>These findings suggest that phone use may be leveraged as a means of mitigating or coping with anxiety in social situations outside the home, while pandemic-related developments may also have attenuated this behavior later in the study. Nevertheless, the present results suggest promise in interrogating a larger suite of objectively measured phone use behaviors within the context of social anxiety.</p>","PeriodicalId":11242,"journal":{"name":"Digital Biomarkers","volume":"8 1","pages":"181-193"},"PeriodicalIF":0.0000,"publicationDate":"2024-09-05","publicationTypes":"Journal Article","fieldsOfStudy":null,"isOpenAccess":false,"openAccessPdf":"https://www.ncbi.nlm.nih.gov/pmc/articles/PMC11521436/pdf/","citationCount":"0","resultStr":null,"platform":"Semanticscholar","paperid":null,"PeriodicalName":"Digital Biomarkers","FirstCategoryId":"1085","ListUrlMain":"https://doi.org/10.1159/000540546","RegionNum":0,"RegionCategory":null,"ArticlePicture":[],"TitleCN":null,"AbstractTextCN":null,"PMCID":null,"EPubDate":"2024/1/1 0:00:00","PubModel":"eCollection","JCR":"Q1","JCRName":"Computer Science","Score":null,"Total":0}
引用次数: 0

Abstract

Introduction: Existing theories and empirical works link phone use with anxiety; however, most leverage subjective self-reports of phone use (e.g., validated questionnaires) that may not correspond well with true behavior. Moreover, most works linking phone use with anxiety do not interrogate associations within a temporal framework. Accordingly, the present study sought to investigate the utility of passively sensed phone use as a longitudinal predictor of anxiety symptomatology within a population particularly vulnerable to experiencing anxiety.

Methods: Using data from the GLOBEM study, which continuously collected longitudinal behavioral data from a college cohort of N = 330 students, weekly PHQ-4 anxiety subscale scores across 3 years (2019-2021) were paired with median daily phone use records from the 2 weeks prior to anxiety self-report completion. Phone use was operationalized through unlock duration which was passively curated via Apple's "Screen Time" feature. GPS-tracked location data was further utilized to specify whether an individual's phone use was at home or away from home. Within-individual and temporal associations between phone use and anxiety were modeled within an ordinal mixed-effects logistic regression framework.

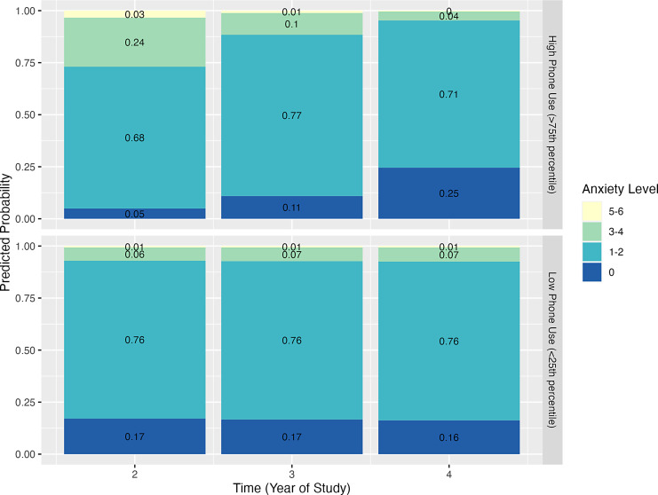
Results: While there was no significant association between anxiety levels and either median total phone use or median phone use at home, participants in the top quartile of median phone use away from home were predicted to exhibit clinically significant anxiety levels 20% more frequently than participants in the bottom quartile during the first study year; however, this association weakened across successive years. Importantly, these associations remained after controlling for age, physical activity, sleep, and baseline anxiety levels and were not recapitulated when operationalizing phone use with unlock frequency.

Conclusions: These findings suggest that phone use may be leveraged as a means of mitigating or coping with anxiety in social situations outside the home, while pandemic-related developments may also have attenuated this behavior later in the study. Nevertheless, the present results suggest promise in interrogating a larger suite of objectively measured phone use behaviors within the context of social anxiety.

Abstract Image

Abstract Image

检测大学生被动收集手机使用情况与焦虑之间的纵向趋势。
导言:现有的理论和实证研究将手机使用与焦虑联系在一起;然而,大多数研究利用的是对手机使用的主观自我报告(如有效问卷),这些报告可能与真实行为并不相符。此外,大多数将手机使用与焦虑联系起来的研究都没有在时间框架内对两者的关联进行分析。因此,本研究试图调查被动感知的手机使用情况作为焦虑症状纵向预测指标在焦虑症高发人群中的实用性:GLOBEM 研究持续收集了 N = 330 名大学生的纵向行为数据,利用该研究的数据,将 3 年内(2019-2021 年)每周的 PHQ-4 焦虑子量表得分与完成焦虑自我报告前 2 周的每日手机使用记录中位数配对。通过苹果公司的 "屏幕时间 "功能被动整理出的解锁时长对手机使用情况进行操作。此外,还利用 GPS 跟踪位置数据来确定个人的手机使用是在家里还是在外面。在一个序数混合效应逻辑回归框架内,对手机使用与焦虑之间的个体内部和时间关联进行了建模:虽然焦虑水平与手机总使用量中位数或在家使用量中位数之间没有明显关联,但在第一个研究年度,手机离家使用量中位数排名前四分位数的参与者比排名后四分位数的参与者在临床上表现出明显焦虑水平的频率要高出 20%;然而,这种关联在连续几年中逐渐减弱。重要的是,在控制了年龄、体力活动、睡眠和基线焦虑水平后,这些关联依然存在,而且在用解锁频率操作手机使用时,这些关联也没有再现:这些研究结果表明,在家庭以外的社交场合,使用手机可能是减轻或应对焦虑的一种手段,而在研究后期,与大流行病相关的发展也可能会削弱这种行为。尽管如此,本研究结果表明,在社交焦虑的背景下,对更多客观测量的手机使用行为进行研究是有前景的。
本文章由计算机程序翻译,如有差异,请以英文原文为准。
求助全文
约1分钟内获得全文 求助全文
来源期刊
Digital Biomarkers
Digital Biomarkers Medicine-Medicine (miscellaneous)
CiteScore
10.60
自引率
0.00%
发文量
12
审稿时长
23 weeks
×
引用
GB/T 7714-2015
复制
MLA
复制
APA
复制
导出至
BibTeX EndNote RefMan NoteFirst NoteExpress
×
提示
您的信息不完整,为了账户安全,请先补充。
现在去补充
×
提示
您因"违规操作"
具体请查看互助需知
我知道了
×
提示
确定
请完成安全验证×
copy
已复制链接
快去分享给好友吧!
我知道了
右上角分享
点击右上角分享
0
联系我们:info@booksci.cn Book学术提供免费学术资源搜索服务,方便国内外学者检索中英文文献。致力于提供最便捷和优质的服务体验。 Copyright © 2023 布克学术 All rights reserved.
京ICP备2023020795号-1
ghs 京公网安备 11010802042870号
Book学术文献互助
Book学术文献互助群
群 号:604180095
Book学术官方微信