Tongue Pressure and Grip Strength as Indicators of Persistent Dysphagia After Acute Stroke.

IF 3 3区 医学 Q1 OTORHINOLARYNGOLOGY
Dysphagia Pub Date : 2025-06-01 Epub Date: 2024-10-28 DOI:10.1007/s00455-024-10766-3
Miho Ohashi, Yoichiro Aoyagi, Tatsuya Iwasawa, Kumiko Sakaguchi, Tomonari Saito, Yuki Sakamoto, Daisuke Ishiyama, Kazumi Kimura
{"title":"Tongue Pressure and Grip Strength as Indicators of Persistent Dysphagia After Acute Stroke.","authors":"Miho Ohashi, Yoichiro Aoyagi, Tatsuya Iwasawa, Kumiko Sakaguchi, Tomonari Saito, Yuki Sakamoto, Daisuke Ishiyama, Kazumi Kimura","doi":"10.1007/s00455-024-10766-3","DOIUrl":null,"url":null,"abstract":"<p><p>This study aimed to identify the independent predictors of postacute stroke dysphagia at discharge using sarcopenia-related parameters. This single-center prospective observational study assessed consecutive inpatients diagnosed with cerebral infarction or cerebral hemorrhage upon admission to the stroke unit. Tongue pressure, grip strength, and body composition were evaluated within 48 h. Dysphagia was defined by a functional oral intake scale of ≤ 5. Patient characteristics were compared between non-dysphagia and dysphagia groups using Mann-Whitney or chi-squared tests. Logistic regression analysis was performed using age, sex, tongue pressure, grip strength, skeletal muscle mass index (SMI), and National Institutes of Health Stroke Scale (NIHSS) scores as explanatory variables, with dysphagia at discharge as the objective variable. A total of 302 patients (mean age: 69.4 ± 13.8 years, 67.5% male) were analyzed, with 64 having dysphagia at discharge (21.2%). The dysphagia group was significantly older (p<0.001), had higher NIHSS scores on admission (p<0.001), lower SMI (p = 0.002), lower grip strength (p<0.001), and lower tongue pressure (p<0.001) than the non-dysphagia group. Logistic regression revealed that age (OR: 1.042, p = 0.018), tongue pressure (OR: 0.954, p = 0.010), and grip strength (OR: 0.943, p = 0.048) on admission were independent predictors of dysphagia at discharge, while NIHSS scores (OR: 1.403, p = 0.106), sex, and SMI (OR: 1.403, p = 0.150) were not. Older age, reduced tongue pressure, and reduced grip strength are strong predictors of persistent poststroke dysphagia at discharge. Thus, muscle strength is a more valuable parameter than muscle mass in predicting persistent poststroke dysphagia.</p>","PeriodicalId":11508,"journal":{"name":"Dysphagia","volume":" ","pages":"660-667"},"PeriodicalIF":3.0000,"publicationDate":"2025-06-01","publicationTypes":"Journal Article","fieldsOfStudy":null,"isOpenAccess":false,"openAccessPdf":"https://www.ncbi.nlm.nih.gov/pmc/articles/PMC12145320/pdf/","citationCount":"0","resultStr":null,"platform":"Semanticscholar","paperid":null,"PeriodicalName":"Dysphagia","FirstCategoryId":"3","ListUrlMain":"https://doi.org/10.1007/s00455-024-10766-3","RegionNum":3,"RegionCategory":"医学","ArticlePicture":[],"TitleCN":null,"AbstractTextCN":null,"PMCID":null,"EPubDate":"2024/10/28 0:00:00","PubModel":"Epub","JCR":"Q1","JCRName":"OTORHINOLARYNGOLOGY","Score":null,"Total":0}
引用次数: 0

Abstract

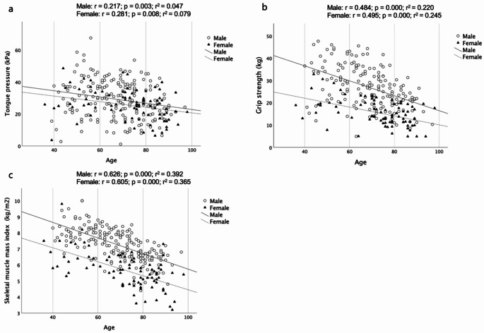
This study aimed to identify the independent predictors of postacute stroke dysphagia at discharge using sarcopenia-related parameters. This single-center prospective observational study assessed consecutive inpatients diagnosed with cerebral infarction or cerebral hemorrhage upon admission to the stroke unit. Tongue pressure, grip strength, and body composition were evaluated within 48 h. Dysphagia was defined by a functional oral intake scale of ≤ 5. Patient characteristics were compared between non-dysphagia and dysphagia groups using Mann-Whitney or chi-squared tests. Logistic regression analysis was performed using age, sex, tongue pressure, grip strength, skeletal muscle mass index (SMI), and National Institutes of Health Stroke Scale (NIHSS) scores as explanatory variables, with dysphagia at discharge as the objective variable. A total of 302 patients (mean age: 69.4 ± 13.8 years, 67.5% male) were analyzed, with 64 having dysphagia at discharge (21.2%). The dysphagia group was significantly older (p<0.001), had higher NIHSS scores on admission (p<0.001), lower SMI (p = 0.002), lower grip strength (p<0.001), and lower tongue pressure (p<0.001) than the non-dysphagia group. Logistic regression revealed that age (OR: 1.042, p = 0.018), tongue pressure (OR: 0.954, p = 0.010), and grip strength (OR: 0.943, p = 0.048) on admission were independent predictors of dysphagia at discharge, while NIHSS scores (OR: 1.403, p = 0.106), sex, and SMI (OR: 1.403, p = 0.150) were not. Older age, reduced tongue pressure, and reduced grip strength are strong predictors of persistent poststroke dysphagia at discharge. Thus, muscle strength is a more valuable parameter than muscle mass in predicting persistent poststroke dysphagia.

Abstract Image

Abstract Image

作为急性中风后持续性吞咽困难指标的舌压和握力。
本研究旨在利用肌肉疏松症相关参数来确定急性中风后出院时吞咽困难的独立预测因素。这项单中心前瞻性观察研究对连续住院的脑梗塞或脑出血患者进行了评估。吞咽困难的定义是口腔功能摄入量表≤5。使用曼-惠特尼或卡方检验比较非吞咽困难组和吞咽困难组患者的特征。使用年龄、性别、舌压、握力、骨骼肌质量指数 (SMI) 和美国国立卫生研究院卒中量表 (NIHSS) 评分作为解释变量,以出院时的吞咽困难作为客观变量,进行逻辑回归分析。共分析了 302 名患者(平均年龄:69.4 ± 13.8 岁,67.5% 为男性),其中 64 名患者出院时出现吞咽困难(21.2%)。吞咽困难组患者的年龄明显较大(p
本文章由计算机程序翻译,如有差异,请以英文原文为准。
求助全文
约1分钟内获得全文 求助全文
来源期刊
Dysphagia
Dysphagia 医学-耳鼻喉科学
CiteScore
4.90
自引率
15.40%
发文量
149
审稿时长
6-12 weeks
期刊介绍: Dysphagia aims to serve as a voice for the benefit of the patient. The journal is devoted exclusively to swallowing and its disorders. The purpose of the journal is to provide a source of information to the flourishing dysphagia community. Over the past years, the field of dysphagia has grown rapidly, and the community of dysphagia researchers have galvanized with ambition to represent dysphagia patients. In addition to covering a myriad of disciplines in medicine and speech pathology, the following topics are also covered, but are not limited to: bio-engineering, deglutition, esophageal motility, immunology, and neuro-gastroenterology. The journal aims to foster a growing need for further dysphagia investigation, to disseminate knowledge through research, and to stimulate communication among interested professionals. The journal publishes original papers, technical and instrumental notes, letters to the editor, and review articles.
×
引用
GB/T 7714-2015
复制
MLA
复制
APA
复制
导出至
BibTeX EndNote RefMan NoteFirst NoteExpress
×
提示
您的信息不完整,为了账户安全,请先补充。
现在去补充
×
提示
您因"违规操作"
具体请查看互助需知
我知道了
×
提示
确定
请完成安全验证×
copy
已复制链接
快去分享给好友吧!
我知道了
右上角分享
点击右上角分享
0
联系我们:info@booksci.cn Book学术提供免费学术资源搜索服务,方便国内外学者检索中英文文献。致力于提供最便捷和优质的服务体验。 Copyright © 2023 布克学术 All rights reserved.
京ICP备2023020795号-1
ghs 京公网安备 11010802042870号
Book学术文献互助
Book学术文献互助群
群 号:604180095
Book学术官方微信