Metacognitive Therapy for People Experiencing Persistent Post-Concussion Symptoms Following Mild Traumatic Brain Injury: A Preliminary Multiple Case-Series Study.

IF 1.8 Q3 CLINICAL NEUROLOGY
Neurotrauma reports Pub Date : 2024-10-14 eCollection Date: 2024-01-01 DOI:10.1089/neur.2024.0076
Johanne C C Rauwenhoff, Roger Hagen, Migle Karaliute, Odin Hjemdal, Leif Edward Ottesen Kennair, Stian Solem, Robert F Asarnow, Cathrine Einarsen, Joar Øveraas Halvorsen, Stephanie Paoli, Simen Berg Saksvik, Hanne Smevik, Gøril Storvig, Adrian Wells, Toril Skandsen, Alexander Olsen
{"title":"Metacognitive Therapy for People Experiencing Persistent Post-Concussion Symptoms Following Mild Traumatic Brain Injury: A Preliminary Multiple Case-Series Study.","authors":"Johanne C C Rauwenhoff, Roger Hagen, Migle Karaliute, Odin Hjemdal, Leif Edward Ottesen Kennair, Stian Solem, Robert F Asarnow, Cathrine Einarsen, Joar Øveraas Halvorsen, Stephanie Paoli, Simen Berg Saksvik, Hanne Smevik, Gøril Storvig, Adrian Wells, Toril Skandsen, Alexander Olsen","doi":"10.1089/neur.2024.0076","DOIUrl":null,"url":null,"abstract":"<p><p>After mild traumatic brain injury (mTBI), a subgroup of individuals experience persistent post-concussion symptoms (PPCS) that include headaches, cognitive difficulties, and fatigue. The aim of this preliminary study was to investigate possible effects associated with metacognitive therapy (MCT) on PPCS, maladaptive coping strategies, and positive and negative metacognitive beliefs following mTBI. A pre-post design supplemented with single-case A-B replication series to assess potential MCT mechanisms was used. Of the nine participants who received MCT, all experienced a decrease in PPCS, which constituted a reliable improvement for eight participants. For eight participants (we could calculate effect sizes for eight out of nine participants), moderate to very large decreases in maladaptive coping styles and positive and negative metacognitive beliefs were observed. However, based on visual analyses, participants 6, 8, and 9 show a downward baseline trend regarding MCT mechanisms that may have persisted into the intervention phase. No adverse events were reported. In conclusion, MCT was associated with improvements in PPCS and unhelpful psychological mechanisms, but caution is required in interpreting this association. Future research using formal single-case replication on symptom measures and randomized controlled trials appears to be justified.</p>","PeriodicalId":74300,"journal":{"name":"Neurotrauma reports","volume":"5 1","pages":"890-902"},"PeriodicalIF":1.8000,"publicationDate":"2024-10-14","publicationTypes":"Journal Article","fieldsOfStudy":null,"isOpenAccess":false,"openAccessPdf":"https://www.ncbi.nlm.nih.gov/pmc/articles/PMC11491585/pdf/","citationCount":"0","resultStr":null,"platform":"Semanticscholar","paperid":null,"PeriodicalName":"Neurotrauma reports","FirstCategoryId":"1085","ListUrlMain":"https://doi.org/10.1089/neur.2024.0076","RegionNum":0,"RegionCategory":null,"ArticlePicture":[],"TitleCN":null,"AbstractTextCN":null,"PMCID":null,"EPubDate":"2024/1/1 0:00:00","PubModel":"eCollection","JCR":"Q3","JCRName":"CLINICAL NEUROLOGY","Score":null,"Total":0}
引用次数: 0

Abstract

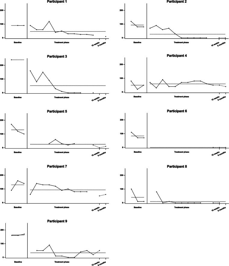
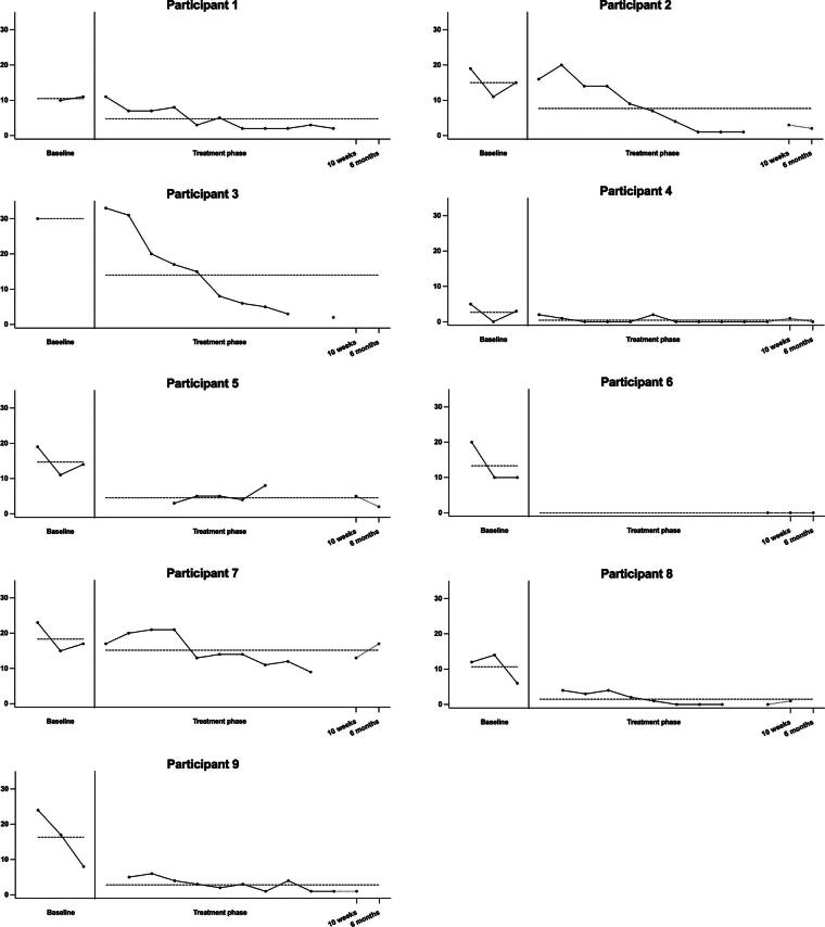
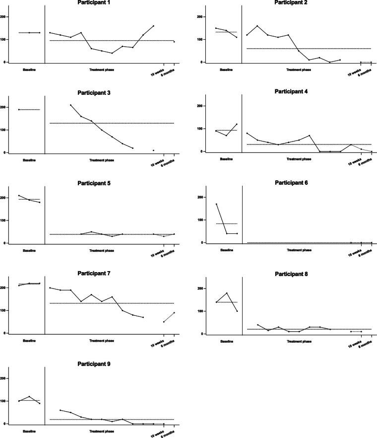
After mild traumatic brain injury (mTBI), a subgroup of individuals experience persistent post-concussion symptoms (PPCS) that include headaches, cognitive difficulties, and fatigue. The aim of this preliminary study was to investigate possible effects associated with metacognitive therapy (MCT) on PPCS, maladaptive coping strategies, and positive and negative metacognitive beliefs following mTBI. A pre-post design supplemented with single-case A-B replication series to assess potential MCT mechanisms was used. Of the nine participants who received MCT, all experienced a decrease in PPCS, which constituted a reliable improvement for eight participants. For eight participants (we could calculate effect sizes for eight out of nine participants), moderate to very large decreases in maladaptive coping styles and positive and negative metacognitive beliefs were observed. However, based on visual analyses, participants 6, 8, and 9 show a downward baseline trend regarding MCT mechanisms that may have persisted into the intervention phase. No adverse events were reported. In conclusion, MCT was associated with improvements in PPCS and unhelpful psychological mechanisms, but caution is required in interpreting this association. Future research using formal single-case replication on symptom measures and randomized controlled trials appears to be justified.

Abstract Image

Abstract Image

Abstract Image

针对轻度脑外伤后持续脑震荡症状患者的元认知疗法:初步多病例系列研究》。
轻度创伤性脑损伤(mTBI)后,一部分人会出现持续性脑震荡后症状(PPCS),包括头痛、认知困难和疲劳。这项初步研究旨在调查元认知疗法(MCT)对脑震荡后症状、不适应应对策略以及积极和消极元认知信念可能产生的影响。研究采用了前-后设计,并辅以单例 A-B 复制系列来评估潜在的 MCT 机制。在接受 MCT 的九名参与者中,所有参与者的 PPCS 都有所下降,其中八名参与者的 PPCS 有了可靠的改善。在八名参与者中(我们可以计算出九名参与者中八名的效应大小),我们观察到适应不良的应对方式以及积极和消极的元认知信念出现了中等至非常大的下降。不过,根据直观分析,6、8 和 9 号参与者的 MCT 机制显示出下降的基线趋势,这种趋势可能持续到干预阶段。没有不良事件报告。总之,MCT 与 PPCS 和无益心理机制的改善有关,但在解释这种关联时需要谨慎。在未来的研究中,有必要对症状测量和随机对照试验进行正式的单例复制。
本文章由计算机程序翻译,如有差异,请以英文原文为准。
求助全文
约1分钟内获得全文 求助全文
来源期刊
CiteScore
2.40
自引率
0.00%
发文量
0
审稿时长
8 weeks
×
引用
GB/T 7714-2015
复制
MLA
复制
APA
复制
导出至
BibTeX EndNote RefMan NoteFirst NoteExpress
×
提示
您的信息不完整,为了账户安全,请先补充。
现在去补充
×
提示
您因"违规操作"
具体请查看互助需知
我知道了
×
提示
确定
请完成安全验证×
copy
已复制链接
快去分享给好友吧!
我知道了
右上角分享
点击右上角分享
0
联系我们:info@booksci.cn Book学术提供免费学术资源搜索服务,方便国内外学者检索中英文文献。致力于提供最便捷和优质的服务体验。 Copyright © 2023 布克学术 All rights reserved.
京ICP备2023020795号-1
ghs 京公网安备 11010802042870号
Book学术文献互助
Book学术文献互助群
群 号:604180095
Book学术官方微信