Close relationships with caregivers as protective factor for the mental health and functioning of war-affected Congolese youth.

IF 3.4 2区 医学 Q2 PUBLIC, ENVIRONMENTAL & OCCUPATIONAL HEALTH
Florian Scharpf, Roos Haer, Tobias Hecker
{"title":"Close relationships with caregivers as protective factor for the mental health and functioning of war-affected Congolese youth.","authors":"Florian Scharpf, Roos Haer, Tobias Hecker","doi":"10.1186/s13031-024-00624-2","DOIUrl":null,"url":null,"abstract":"<p><strong>Background: </strong>Supportive social connections are a crucial determinant of the mental health and adjustment of youth in conflict-torn regions. Conflict-affected youth face particular risks to their well-being due to high levels of trauma exposure and perpetration of violent acts as members of armed groups and post-conflict discrimination. However, little is known about the possible protective role of close relationships with caregivers in the aftermath of trauma. This study examined whether a higher perceived quality of relationships with caregivers would attenuate the associations between exposure to traumatic experiences and four indicators of adjustment (posttraumatic stress symptoms [PTSS], emotional problems, behavioural problems, criminal behaviour) in a sample of 268 war-affected youth (61.2% male, Mage = 16.31 years) living in Bukavu, Democratic Republic of Congo. More than half of the present sample (56.7%) were former members of armed groups.</p><p><strong>Methods: </strong>Data were collected using quantitative structured interviews and analyzed through regression models using the PROCESS macro.</p><p><strong>Results: </strong>Higher cumulative trauma exposure was significantly related to higher levels of PTSS and emotional problems, while more frequent perpetration of war-related violence was significantly related to higher levels of PTSS, behavioural problems, and criminal behavior. The perceived quality of relationships with caregivers significantly moderated the associations between youth's cumulative trauma exposure and all four outcomes. At higher perceived quality of relationships with caregivers, the associations between trauma exposure and emotional problems, behavioural problems, and criminal behaviour were no longer significant and the association with PTSS was significantly weakened. Higher perceived quality of relationships with caregivers was also directly significantly related to lower levels of mental health problems and criminal behaviour.</p><p><strong>Conclusions: </strong>The findings suggest that interventions that focus on strengthening relationships with caregivers are crucial for supporting the mental health and functioning of youth who experienced and perpetrated war-related violence.</p>","PeriodicalId":54287,"journal":{"name":"Conflict and Health","volume":"18 1","pages":"65"},"PeriodicalIF":3.4000,"publicationDate":"2024-10-22","publicationTypes":"Journal Article","fieldsOfStudy":null,"isOpenAccess":false,"openAccessPdf":"https://www.ncbi.nlm.nih.gov/pmc/articles/PMC11515726/pdf/","citationCount":"0","resultStr":null,"platform":"Semanticscholar","paperid":null,"PeriodicalName":"Conflict and Health","FirstCategoryId":"3","ListUrlMain":"https://doi.org/10.1186/s13031-024-00624-2","RegionNum":2,"RegionCategory":"医学","ArticlePicture":[],"TitleCN":null,"AbstractTextCN":null,"PMCID":null,"EPubDate":"","PubModel":"","JCR":"Q2","JCRName":"PUBLIC, ENVIRONMENTAL & OCCUPATIONAL HEALTH","Score":null,"Total":0}
引用次数: 0

Abstract

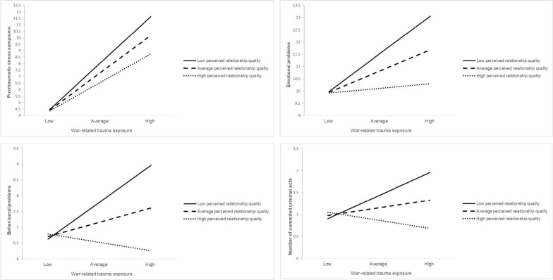
Background: Supportive social connections are a crucial determinant of the mental health and adjustment of youth in conflict-torn regions. Conflict-affected youth face particular risks to their well-being due to high levels of trauma exposure and perpetration of violent acts as members of armed groups and post-conflict discrimination. However, little is known about the possible protective role of close relationships with caregivers in the aftermath of trauma. This study examined whether a higher perceived quality of relationships with caregivers would attenuate the associations between exposure to traumatic experiences and four indicators of adjustment (posttraumatic stress symptoms [PTSS], emotional problems, behavioural problems, criminal behaviour) in a sample of 268 war-affected youth (61.2% male, Mage = 16.31 years) living in Bukavu, Democratic Republic of Congo. More than half of the present sample (56.7%) were former members of armed groups.

Methods: Data were collected using quantitative structured interviews and analyzed through regression models using the PROCESS macro.

Results: Higher cumulative trauma exposure was significantly related to higher levels of PTSS and emotional problems, while more frequent perpetration of war-related violence was significantly related to higher levels of PTSS, behavioural problems, and criminal behavior. The perceived quality of relationships with caregivers significantly moderated the associations between youth's cumulative trauma exposure and all four outcomes. At higher perceived quality of relationships with caregivers, the associations between trauma exposure and emotional problems, behavioural problems, and criminal behaviour were no longer significant and the association with PTSS was significantly weakened. Higher perceived quality of relationships with caregivers was also directly significantly related to lower levels of mental health problems and criminal behaviour.

Conclusions: The findings suggest that interventions that focus on strengthening relationships with caregivers are crucial for supporting the mental health and functioning of youth who experienced and perpetrated war-related violence.

Abstract Image

与照顾者的亲密关系是受战争影响的刚果青年心理健康和功能的保护因素。
背景:支持性社会关系是冲突地区青少年心理健康和适应能力的重要决定因素。受冲突影响的青少年由于作为武装团体成员和冲突后受歧视者而遭受严重的心理创伤和暴力行为,他们的福祉面临着特殊的风险。然而,人们对创伤后与照顾者的亲密关系可能起到的保护作用知之甚少。本研究以居住在刚果民主共和国布卡武的 268 名受战争影响的青少年(61.2% 为男性,年龄 = 16.31 岁)为样本,探讨了与照顾者的关系质量越高,是否会减弱创伤经历与四项适应指标(创伤后应激症状 [PTSS]、情绪问题、行为问题和犯罪行为)之间的关联。本样本中有一半以上(56.7%)曾是武装组织成员:方法:通过定量结构式访谈收集数据,并使用 PROCESS 宏进行回归模型分析:结果:较高的累积创伤暴露与较高的创伤后应激障碍水平和情绪问题显著相关,而较频繁的战争相关暴力与较高的创伤后应激障碍水平、行为问题和犯罪行为显著相关。与照顾者关系的感知质量在很大程度上调节了青少年累积创伤暴露与所有四种结果之间的关系。与照顾者的关系质量越高,创伤暴露与情绪问题、行为问题和犯罪行为之间的关系就不再明显,而与创伤后应激障碍的关系则明显减弱。与照顾者关系的感知质量越高,心理健康问题和犯罪行为的发生率也越低:研究结果表明,以加强与照顾者的关系为重点的干预措施对于支持经历过和实施过与战争有关的暴力的青少年的心理健康和功能至关重要。
本文章由计算机程序翻译,如有差异,请以英文原文为准。
求助全文
约1分钟内获得全文 求助全文
来源期刊
Conflict and Health
Conflict and Health Medicine-Public Health, Environmental and Occupational Health
CiteScore
6.10
自引率
5.60%
发文量
57
审稿时长
18 weeks
期刊介绍: Conflict and Health is a highly-accessed, open access journal providing a global platform to disseminate insightful and impactful studies documenting the public health impacts and responses related to armed conflict, humanitarian crises, and forced migration.
×
引用
GB/T 7714-2015
复制
MLA
复制
APA
复制
导出至
BibTeX EndNote RefMan NoteFirst NoteExpress
×
提示
您的信息不完整,为了账户安全,请先补充。
现在去补充
×
提示
您因"违规操作"
具体请查看互助需知
我知道了
×
提示
确定
请完成安全验证×
copy
已复制链接
快去分享给好友吧!
我知道了
右上角分享
点击右上角分享
0
联系我们:info@booksci.cn Book学术提供免费学术资源搜索服务,方便国内外学者检索中英文文献。致力于提供最便捷和优质的服务体验。 Copyright © 2023 布克学术 All rights reserved.
京ICP备2023020795号-1
ghs 京公网安备 11010802042870号
Book学术文献互助
Book学术文献互助群
群 号:604180095
Book学术官方微信