Kidney replacement therapy trends in end-stage kidney disease patients in South Korea during the COVID-19 pandemic.

IF 2.4 4区 医学 Q2 MEDICINE, GENERAL & INTERNAL
Korean Journal of Internal Medicine Pub Date : 2024-11-01 Epub Date: 2024-10-24 DOI:10.3904/kjim.2024.052
Ah-Young Kim, Min-Jeong Lee, Heejung Choi, Hankil Lee, Inwhee Park
{"title":"Kidney replacement therapy trends in end-stage kidney disease patients in South Korea during the COVID-19 pandemic.","authors":"Ah-Young Kim, Min-Jeong Lee, Heejung Choi, Hankil Lee, Inwhee Park","doi":"10.3904/kjim.2024.052","DOIUrl":null,"url":null,"abstract":"<p><strong>Background/aims: </strong>The corona virus disease 2019 posed a major risk for end-stage kidney disease (ESKD) cases. Our study aimed to assess changes in kidney replacement therapy (KRT) trends and healthcare access for these patients during the pandemic.</p><p><strong>Methods: </strong>We retrospectively analyzed nationwide data from July 2017 to June 2022 to assess changes in KRT and ESKD incidence. KRT modalities included peritoneal dialysis (PD), hemodialysis (HD), and kidney transplantation (KT). We utilized the interrupted time series (ITS) method to compare changes in KRT modality before and after the incidence of the COVID-19 pandemic.</p><p><strong>Results: </strong>ESKD incidence remained stable from 2018 to April 2022. The ITS analysis confirmed that the pandemic did not significant impact overall KRT incidence. PD cases decreased (5.7% to 1.3%), while HD cases increased (81.6% to 85%), and KT recipient remained relatively stable (12.7% to 17.3%). The hospitalization and hospital stay decreased in nursing hospital (165.01 days to 147.77 days) and general hospital (61.34 days to 55.58 days) during the pandemic, however, remained unchanged for PD and KT.</p><p><strong>Conclusion: </strong>Our findings indicate no significant changes in ESKD incidence in South Korea during the pandemic. However, there were shifts in modality distribution, with decreased PD and increased HD cases. Notably, HD cases showed a significant reduction in hospital admissions and length of stay. The healthcare system demonstrated stability during the pandemic, with minimal disruptions in ESKD care.</p>","PeriodicalId":48785,"journal":{"name":"Korean Journal of Internal Medicine","volume":" ","pages":"967-978"},"PeriodicalIF":2.4000,"publicationDate":"2024-11-01","publicationTypes":"Journal Article","fieldsOfStudy":null,"isOpenAccess":false,"openAccessPdf":"https://www.ncbi.nlm.nih.gov/pmc/articles/PMC11569916/pdf/","citationCount":"0","resultStr":null,"platform":"Semanticscholar","paperid":null,"PeriodicalName":"Korean Journal of Internal Medicine","FirstCategoryId":"3","ListUrlMain":"https://doi.org/10.3904/kjim.2024.052","RegionNum":4,"RegionCategory":"医学","ArticlePicture":[],"TitleCN":null,"AbstractTextCN":null,"PMCID":null,"EPubDate":"2024/10/24 0:00:00","PubModel":"Epub","JCR":"Q2","JCRName":"MEDICINE, GENERAL & INTERNAL","Score":null,"Total":0}
引用次数: 0

Abstract

Background/aims: The corona virus disease 2019 posed a major risk for end-stage kidney disease (ESKD) cases. Our study aimed to assess changes in kidney replacement therapy (KRT) trends and healthcare access for these patients during the pandemic.

Methods: We retrospectively analyzed nationwide data from July 2017 to June 2022 to assess changes in KRT and ESKD incidence. KRT modalities included peritoneal dialysis (PD), hemodialysis (HD), and kidney transplantation (KT). We utilized the interrupted time series (ITS) method to compare changes in KRT modality before and after the incidence of the COVID-19 pandemic.

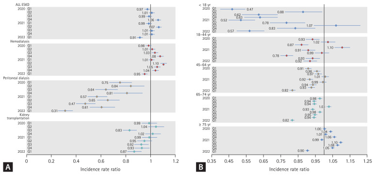
Results: ESKD incidence remained stable from 2018 to April 2022. The ITS analysis confirmed that the pandemic did not significant impact overall KRT incidence. PD cases decreased (5.7% to 1.3%), while HD cases increased (81.6% to 85%), and KT recipient remained relatively stable (12.7% to 17.3%). The hospitalization and hospital stay decreased in nursing hospital (165.01 days to 147.77 days) and general hospital (61.34 days to 55.58 days) during the pandemic, however, remained unchanged for PD and KT.

Conclusion: Our findings indicate no significant changes in ESKD incidence in South Korea during the pandemic. However, there were shifts in modality distribution, with decreased PD and increased HD cases. Notably, HD cases showed a significant reduction in hospital admissions and length of stay. The healthcare system demonstrated stability during the pandemic, with minimal disruptions in ESKD care.

Abstract Image

Abstract Image

Abstract Image

COVID-19 大流行期间韩国终末期肾病患者的肾脏替代疗法趋势。
背景/目的:2019年冠状病毒病对终末期肾病(ESKD)病例构成了重大风险。我们的研究旨在评估大流行期间这些患者的肾脏替代治疗(KRT)趋势和医疗服务的变化:我们回顾性分析了 2017 年 7 月至 2022 年 6 月的全国数据,以评估 KRT 和 ESKD 发病率的变化。KRT方式包括腹膜透析(PD)、血液透析(HD)和肾移植(KT)。我们利用间断时间序列(ITS)方法比较了COVID-19大流行前后KRT方式的变化:从2018年到2022年4月,ESKD发病率保持稳定。ITS分析证实,大流行并未对整体KRT发病率产生重大影响。PD病例减少(5.7%至1.3%),而HD病例增加(81.6%至85%),KT接受者相对稳定(12.7%至17.3%)。大流行期间,护理医院(165.01 天降至 147.77 天)和综合医院(61.34 天降至 55.58 天)的住院和住院时间均有所减少,但 PD 和 KT 的住院和住院时间保持不变:我们的研究结果表明,大流行期间韩国的 ESKD 发病率没有发生重大变化。然而,病例分布发生了变化,PD 病例减少,HD 病例增加。值得注意的是,HD 病例的入院率和住院时间明显缩短。在大流行期间,医疗保健系统表现出稳定性,ESKD治疗的中断情况极少。
本文章由计算机程序翻译,如有差异,请以英文原文为准。
求助全文
约1分钟内获得全文 求助全文
来源期刊
Korean Journal of Internal Medicine
Korean Journal of Internal Medicine MEDICINE, GENERAL & INTERNAL-
CiteScore
5.10
自引率
4.20%
发文量
129
审稿时长
20 weeks
期刊介绍: The Korean Journal of Internal Medicine is an international medical journal published in English by the Korean Association of Internal Medicine. The Journal publishes peer-reviewed original articles, reviews, and editorials on all aspects of medicine, including clinical investigations and basic research. Both human and experimental animal studies are welcome, as are new findings on the epidemiology, pathogenesis, diagnosis, and treatment of diseases. Case reports will be published only in exceptional circumstances, when they illustrate a rare occurrence of clinical importance. Letters to the editor are encouraged for specific comments on published articles and general viewpoints.
×
引用
GB/T 7714-2015
复制
MLA
复制
APA
复制
导出至
BibTeX EndNote RefMan NoteFirst NoteExpress
×
提示
您的信息不完整,为了账户安全,请先补充。
现在去补充
×
提示
您因"违规操作"
具体请查看互助需知
我知道了
×
提示
确定
请完成安全验证×
copy
已复制链接
快去分享给好友吧!
我知道了
右上角分享
点击右上角分享
0
联系我们:info@booksci.cn Book学术提供免费学术资源搜索服务,方便国内外学者检索中英文文献。致力于提供最便捷和优质的服务体验。 Copyright © 2023 布克学术 All rights reserved.
京ICP备2023020795号-1
ghs 京公网安备 11010802042870号
Book学术文献互助
Book学术文献互助群
群 号:604180095
Book学术官方微信