Proline Priming Enhances Seed Vigour and Biochemical Attributes of Rice (Oryza sativa L.) during Germination.

IF 0.9 Q3 BIOLOGY
Tropical life sciences research Pub Date : 2024-10-01 Epub Date: 2024-10-07 DOI:10.21315/tlsr2024.35.3.7
Cloee Kher Yan Kong, Rattanak Sambath Lee, Kamariah Hasan, Clement Kiing Fook Wong, Chui Yao Teh
{"title":"Proline Priming Enhances Seed Vigour and Biochemical Attributes of Rice (<i>Oryza sativa</i> L.) during Germination.","authors":"Cloee Kher Yan Kong, Rattanak Sambath Lee, Kamariah Hasan, Clement Kiing Fook Wong, Chui Yao Teh","doi":"10.21315/tlsr2024.35.3.7","DOIUrl":null,"url":null,"abstract":"<p><p>Seed vigour is a desirable trait especially for direct seeded rice (DSR) cultivation. Seeds with high vigour could improve seed germination, support seedlings in competing with weeds for water and nutrients, and improving seedling establishment throughout the early stages of crop growth. The success of DSR system which account for more 25% of world cultivation areas is highly dependent on the seed vigour and seedling establishment. Seed priming is a promising technique to improve seed vigour. Proline is an amino acid that has been well studied for its roles in plants under different environmental stress conditions. Nevertheless, the effect of proline as a seed priming agent in improving seed vigour in rice remain elusive. In this research, the effect of 24 h of proline priming at various concentrations (0 mM, 1 mM, 2 mM, 10 mM and 20 mM) on rice seed vigour, amylase activity, and total soluble sugar (TSS) content of a Malaysia <i>indica</i> rice variety, MR269 was investigated. Results showed that seeds primed with lower concentration of proline (0 mM, 1 mM and 2 mM) had better germination responses while priming at high concentrations (10 mM and 20 mM) reduced seed germination. Among the concentration tested, priming with 1 mM proline enhanced seed vigour with significantly higher germination percentage (GP), germination rate index (GRI) and seedling vigour index (SVI). In addition, proline primed seeds also exhibited increased amylase activity and TSS content as compared to unprimed seeds. However, priming seed with 20 mM proline was detrimental to the seed vigour and seedling growth whereby lower GP, GRI and SVI and higher mean germination time (MGT) were observed. In short, this study shows that proline could be a potential seed priming agent to improve seed vigour in rice.</p>","PeriodicalId":23477,"journal":{"name":"Tropical life sciences research","volume":"35 3","pages":"149-163"},"PeriodicalIF":0.9000,"publicationDate":"2024-10-01","publicationTypes":"Journal Article","fieldsOfStudy":null,"isOpenAccess":false,"openAccessPdf":"https://www.ncbi.nlm.nih.gov/pmc/articles/PMC11507969/pdf/","citationCount":"0","resultStr":null,"platform":"Semanticscholar","paperid":null,"PeriodicalName":"Tropical life sciences research","FirstCategoryId":"1085","ListUrlMain":"https://doi.org/10.21315/tlsr2024.35.3.7","RegionNum":0,"RegionCategory":null,"ArticlePicture":[],"TitleCN":null,"AbstractTextCN":null,"PMCID":null,"EPubDate":"2024/10/7 0:00:00","PubModel":"Epub","JCR":"Q3","JCRName":"BIOLOGY","Score":null,"Total":0}
引用次数: 0

Abstract

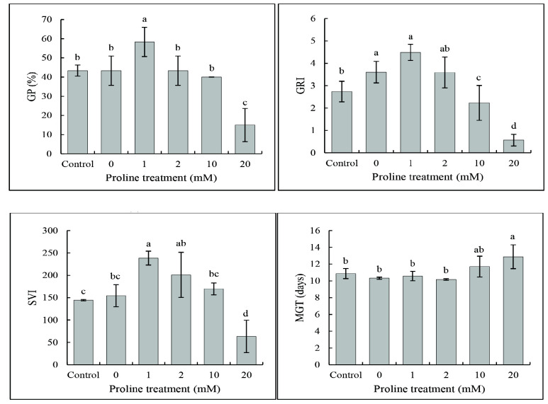
Seed vigour is a desirable trait especially for direct seeded rice (DSR) cultivation. Seeds with high vigour could improve seed germination, support seedlings in competing with weeds for water and nutrients, and improving seedling establishment throughout the early stages of crop growth. The success of DSR system which account for more 25% of world cultivation areas is highly dependent on the seed vigour and seedling establishment. Seed priming is a promising technique to improve seed vigour. Proline is an amino acid that has been well studied for its roles in plants under different environmental stress conditions. Nevertheless, the effect of proline as a seed priming agent in improving seed vigour in rice remain elusive. In this research, the effect of 24 h of proline priming at various concentrations (0 mM, 1 mM, 2 mM, 10 mM and 20 mM) on rice seed vigour, amylase activity, and total soluble sugar (TSS) content of a Malaysia indica rice variety, MR269 was investigated. Results showed that seeds primed with lower concentration of proline (0 mM, 1 mM and 2 mM) had better germination responses while priming at high concentrations (10 mM and 20 mM) reduced seed germination. Among the concentration tested, priming with 1 mM proline enhanced seed vigour with significantly higher germination percentage (GP), germination rate index (GRI) and seedling vigour index (SVI). In addition, proline primed seeds also exhibited increased amylase activity and TSS content as compared to unprimed seeds. However, priming seed with 20 mM proline was detrimental to the seed vigour and seedling growth whereby lower GP, GRI and SVI and higher mean germination time (MGT) were observed. In short, this study shows that proline could be a potential seed priming agent to improve seed vigour in rice.

Abstract Image

Abstract Image

Abstract Image

脯氨酸引物可增强水稻(Oryza sativa L.)种子萌发过程中的活力和生化属性。
种子活力是一种理想的性状,尤其是在直播稻(DSR)栽培中。高活性种子可提高种子发芽率,帮助秧苗与杂草争夺水分和养分,并在作物生长早期提高秧苗的成活率。占世界种植面积 25% 以上的单粒播种(DSR)系统的成功与否在很大程度上取决于种子活力和秧苗成活率。种子打底是一项很有前景的提高种子活力的技术。脯氨酸是一种氨基酸,它在不同环境胁迫条件下对植物的作用已得到深入研究。然而,脯氨酸作为种子催熟剂在提高水稻种子活力方面的作用仍不明确。本研究调查了不同浓度(0 mM、1 mM、2 mM、10 mM 和 20 mM)的脯氨酸诱导 24 小时对马来西亚籼稻品种 MR269 的水稻种子活力、淀粉酶活性和总可溶性糖(TSS)含量的影响。结果表明,用较低浓度的脯氨酸(0 毫摩尔、1 毫摩尔和 2 毫摩尔)催芽的种子萌发反应较好,而用高浓度(10 毫摩尔和 20 毫摩尔)催芽的种子萌发反应较差。在测试的浓度中,用 1 毫摩尔脯氨酸引种可增强种子活力,显著提高发芽率(GP)、发芽率指数(GRI)和幼苗活力指数(SVI)。此外,与未添加脯氨酸的种子相比,添加了脯氨酸的种子的淀粉酶活性和 TSS 含量也有所提高。然而,用 20 mM 脯氨酸为种子打底不利于种子活力和幼苗生长,因为观察到的 GP、GRI 和 SVI 较低,平均发芽时间(MGT)较高。总之,这项研究表明,脯氨酸可能是一种潜在的种子底肥剂,可提高水稻种子的活力。
本文章由计算机程序翻译,如有差异,请以英文原文为准。
求助全文
约1分钟内获得全文 求助全文
来源期刊
CiteScore
2.60
自引率
0.00%
发文量
40
审稿时长
20 weeks
期刊介绍: Tropical Life Sciences Research (TLSR) formerly known as Journal of Bioscience seeks to publish relevant ideas and knowledge addressing vital life sciences issues in the tropical region. The Journal’s scope is interdisciplinary in nature and covers any aspects related to issues on life sciences especially from the field of biochemistry, microbiology, biotechnology and animal, plant, environmental, biomedical and pharmaceutical sciences. TLSR practices double blind peer review system to ensure and maintain the good quality of articles published in this journal. Two issues are published annually in printed and electronic form. TLSR also accepts review articles, experimental papers and short communications. The Chief Editor would like to invite researchers to use this journal as a mean to rapidly promote their research findings.
×
引用
GB/T 7714-2015
复制
MLA
复制
APA
复制
导出至
BibTeX EndNote RefMan NoteFirst NoteExpress
×
提示
您的信息不完整,为了账户安全,请先补充。
现在去补充
×
提示
您因"违规操作"
具体请查看互助需知
我知道了
×
提示
确定
请完成安全验证×
copy
已复制链接
快去分享给好友吧!
我知道了
右上角分享
点击右上角分享
0
联系我们:info@booksci.cn Book学术提供免费学术资源搜索服务,方便国内外学者检索中英文文献。致力于提供最便捷和优质的服务体验。 Copyright © 2023 布克学术 All rights reserved.
京ICP备2023020795号-1
ghs 京公网安备 11010802042870号
Book学术文献互助
Book学术文献互助群
群 号:604180095
Book学术官方微信