Comparative Analysis of Transcription Factors TWIST2, GATA3, and HES5 in Glioblastoma Multiforme : Evaluating Biomarker Potential and Therapeutic Targets Using in Silico Methods.

IF 1.7 4区 医学 Q4 CLINICAL NEUROLOGY
Journal of Korean Neurosurgical Society Pub Date : 2025-03-01 Epub Date: 2024-10-24 DOI:10.3340/jkns.2024.0149
Suhmi Chung, Choonghyo Kim
{"title":"Comparative Analysis of Transcription Factors TWIST2, GATA3, and HES5 in Glioblastoma Multiforme : Evaluating Biomarker Potential and Therapeutic Targets Using in Silico Methods.","authors":"Suhmi Chung, Choonghyo Kim","doi":"10.3340/jkns.2024.0149","DOIUrl":null,"url":null,"abstract":"<p><strong>Objective: </strong>Glioblastoma multiforme (GBM) is characterized by substantial heterogeneity and limited therapeutic options. As molecular approaches to central nervous system tumors have gained prominence, this study examined the roles of three genes, TWIST2, GATA3, and HES5, known to be involved in oncogenesis, developmental processes, and maintenance of cancer stem cell properties, which have not yet been extensively studied in GBM. This study is the first to present gene expression data for TWIST2, GATA3, and HES5 specifically within the context of GBM patient survival.</p><p><strong>Methods: </strong>Gene expression data for TWIST2, GATA3, and HES5 were collected from GBM and normal brain tissues using datasets from The Cancer Genome Atlas via the Genomic Data Commons portal and the Genotype-Tissue Expression database. These data were rigorously analyzed using in silico methods.</p><p><strong>Results: </strong>All three genes were significantly more expressed in GBM tissues than in normal tissues. TWIST2 and GATA3 were linked to lower survival rates in GBM patients. Interestingly, higher HES5 levels were associated with better survival rates, suggesting a complex role that needs more investigation.</p><p><strong>Conclusion: </strong>This study shows that TWIST2, GATA3, and HES5 could help predict outcomes in GBM patients. Our multigene model offers a better understanding of GBM and points to new treatment options, bringing hope for improved therapies and patient outcomes. This research advances our knowledge of GBM and highlights the potential of molecular diagnostics in oncology.</p>","PeriodicalId":16283,"journal":{"name":"Journal of Korean Neurosurgical Society","volume":" ","pages":"202-212"},"PeriodicalIF":1.7000,"publicationDate":"2025-03-01","publicationTypes":"Journal Article","fieldsOfStudy":null,"isOpenAccess":false,"openAccessPdf":"https://www.ncbi.nlm.nih.gov/pmc/articles/PMC11924635/pdf/","citationCount":"0","resultStr":null,"platform":"Semanticscholar","paperid":null,"PeriodicalName":"Journal of Korean Neurosurgical Society","FirstCategoryId":"3","ListUrlMain":"https://doi.org/10.3340/jkns.2024.0149","RegionNum":4,"RegionCategory":"医学","ArticlePicture":[],"TitleCN":null,"AbstractTextCN":null,"PMCID":null,"EPubDate":"2024/10/24 0:00:00","PubModel":"Epub","JCR":"Q4","JCRName":"CLINICAL NEUROLOGY","Score":null,"Total":0}
引用次数: 0

Abstract

Objective: Glioblastoma multiforme (GBM) is characterized by substantial heterogeneity and limited therapeutic options. As molecular approaches to central nervous system tumors have gained prominence, this study examined the roles of three genes, TWIST2, GATA3, and HES5, known to be involved in oncogenesis, developmental processes, and maintenance of cancer stem cell properties, which have not yet been extensively studied in GBM. This study is the first to present gene expression data for TWIST2, GATA3, and HES5 specifically within the context of GBM patient survival.

Methods: Gene expression data for TWIST2, GATA3, and HES5 were collected from GBM and normal brain tissues using datasets from The Cancer Genome Atlas via the Genomic Data Commons portal and the Genotype-Tissue Expression database. These data were rigorously analyzed using in silico methods.

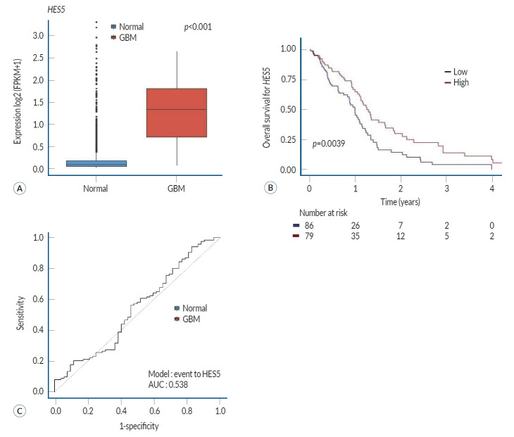
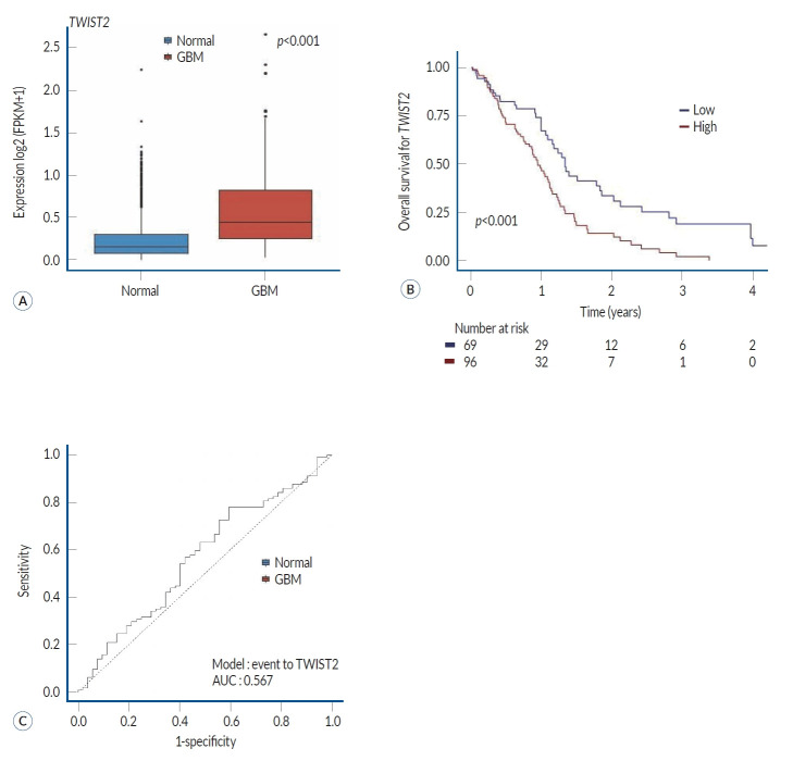
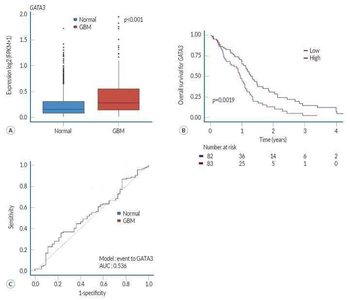
Results: All three genes were significantly more expressed in GBM tissues than in normal tissues. TWIST2 and GATA3 were linked to lower survival rates in GBM patients. Interestingly, higher HES5 levels were associated with better survival rates, suggesting a complex role that needs more investigation.

Conclusion: This study shows that TWIST2, GATA3, and HES5 could help predict outcomes in GBM patients. Our multigene model offers a better understanding of GBM and points to new treatment options, bringing hope for improved therapies and patient outcomes. This research advances our knowledge of GBM and highlights the potential of molecular diagnostics in oncology.

Abstract Image

Abstract Image

Abstract Image

多形性胶质母细胞瘤中转录因子 TWIST2、GATA3 和 HES5 的比较分析:使用 In Silico 方法评估生物标记物的潜力和治疗靶点。
目的:多形性胶质母细胞瘤(GBM)的特点是异质性强,治疗方案有限。随着治疗中枢神经系统(CNS)肿瘤的分子方法日益突出,本研究考察了 TWIST2、GATA3 和 HES5 这三个基因的作用,已知它们参与肿瘤发生、发育过程和癌症干细胞特性的维持,但尚未对它们在 GBM 中的作用进行广泛研究。本研究首次提出了 TWIST2、GATA3 和 HES5 的基因表达数据,特别是与 GBM 患者生存相关的数据:癌症基因组图谱(TCGA)的数据集通过基因组数据共享(GDC)门户和基因型-组织表达(GTEx)数据库收集了GBM和正常脑组织中TWIST2、GATA3和HES5的基因表达数据。这些数据采用硅学方法进行了严格分析:结果:所有三个基因在 GBM 组织中的表达量都明显高于正常组织。TWIST2 和 GATA3 与 GBM 患者较低的存活率有关。有趣的是,较高的 HES5 水平与较高的存活率相关,这表明其作用复杂,需要进一步研究:这项研究表明,TWIST2、GATA3 和 HES5 可以帮助预测 GBM 患者的预后。我们的多基因模型让我们更好地了解了 GBM,并指出了新的治疗方案,为改善疗法和患者预后带来了希望。这项研究增进了我们对 GBM 的了解,并凸显了分子诊断在肿瘤学中的潜力。
本文章由计算机程序翻译,如有差异,请以英文原文为准。
求助全文
约1分钟内获得全文 求助全文
来源期刊
CiteScore
2.90
自引率
6.20%
发文量
109
审稿时长
3-8 weeks
期刊介绍: The Journal of Korean Neurosurgical Society (J Korean Neurosurg Soc) is the official journal of the Korean Neurosurgical Society, and published bimonthly (1st day of January, March, May, July, September, and November). It launched in October 31, 1972 with Volume 1 and Number 1. J Korean Neurosurg Soc aims to allow neurosurgeons from around the world to enrich their knowledge of patient management, education, and clinical or experimental research, and hence their professionalism. This journal publishes Laboratory Investigations, Clinical Articles, Review Articles, Case Reports, Technical Notes, and Letters to the Editor. Our field of interest involves clinical neurosurgery (cerebrovascular disease, neuro-oncology, skull base neurosurgery, spine, pediatric neurosurgery, functional neurosurgery, epilepsy, neuro-trauma, and peripheral nerve disease) and laboratory work in neuroscience.
×
引用
GB/T 7714-2015
复制
MLA
复制
APA
复制
导出至
BibTeX EndNote RefMan NoteFirst NoteExpress
×
提示
您的信息不完整,为了账户安全,请先补充。
现在去补充
×
提示
您因"违规操作"
具体请查看互助需知
我知道了
×
提示
确定
请完成安全验证×
copy
已复制链接
快去分享给好友吧!
我知道了
右上角分享
点击右上角分享
0
联系我们:info@booksci.cn Book学术提供免费学术资源搜索服务,方便国内外学者检索中英文文献。致力于提供最便捷和优质的服务体验。 Copyright © 2023 布克学术 All rights reserved.
京ICP备2023020795号-1
ghs 京公网安备 11010802042870号
Book学术文献互助
Book学术文献互助群
群 号:604180095
Book学术官方微信