Aripiprazole once-monthly for the treatment of adult patients with earlier-stage bipolar I disorder: a post hoc analysis of data from a double-blind, placebo-controlled, 52-week randomized withdrawal trial.

IF 3.5 2区 医学 Q2 PSYCHIATRY
Karimah S Bell Lynum, Christine F Castro, Zhen Zhang, Mehul Patel, Mauricio Tohen
{"title":"Aripiprazole once-monthly for the treatment of adult patients with earlier-stage bipolar I disorder: a post hoc analysis of data from a double-blind, placebo-controlled, 52-week randomized withdrawal trial.","authors":"Karimah S Bell Lynum, Christine F Castro, Zhen Zhang, Mehul Patel, Mauricio Tohen","doi":"10.1186/s40345-024-00358-3","DOIUrl":null,"url":null,"abstract":"<p><strong>Background: </strong>Increased awareness of the factors contributing to the diagnostic disparities seen in bipolar disorder between individuals of different heritage is needed to achieve equity in diagnosis and treatment. One such inequity is the provision of earlier treatment. Earlier treatment of patients diagnosed with bipolar disorder may prolong time to recurrence of mood episodes and reduce functional impairment and other poor outcomes associated with disease progression. The aim of this post hoc analysis was to study the efficacy and safety of long-acting injectable aripiprazole once-monthly 400 mg (AOM 400) in patients with earlier-stage bipolar I disorder (BP-I). Data from a 52-week multicenter, double-blind, placebo-controlled, randomized withdrawal trial of AOM 400 versus placebo in patients with BP‑I (NCT01567527) were analyzed. Those patients in the lowest quartiles for age (18-≤32 years; n = 70) or disease duration (0.13-≤4.6 years; n = 67) at baseline were categorized with earlier-stage BP-I. The primary endpoint was time from randomization to recurrence of any mood episode. Other endpoints included proportion of patients with recurrence of any mood episode, and change from baseline in Young Mania Rating Scale (YMRS) and Montgomery-Åsberg Depression Rating Scale (MADRS) total scores.</p><p><strong>Results: </strong>Maintenance treatment with AOM 400 significantly delayed time to recurrence of any mood episode versus placebo in patients aged 18-≤32 years (hazard ratio [HR]: 2.46 [95% confidence interval (CI) 1.09, 5.55]; p = 0.0251) or with disease duration 0.13-≤4.6 years (HR: 3.21 [95% CI 1.35, 7.65]; p = 0.005). This was largely driven by a lower proportion of patients in the AOM 400 group with YMRS total score ≥15 or clinical worsening. Changes from baseline in MADRS total score in both earlier-stage groups indicated AOM 400 did not worsen depression versus placebo. The safety profile of AOM 400 was consistent with the original study. Note that the original study included patients who had previously been stabilized on AOM 400 monotherapy, which may have enriched the population with patients who respond to and tolerate AOM 400.</p><p><strong>Conclusions: </strong>In this post hoc analysis, AOM 400 prolonged time to recurrence of any mood episode versus placebo in earlier-stage BP-I. These findings support early initiation of maintenance treatment with AOM 400.</p>","PeriodicalId":13944,"journal":{"name":"International Journal of Bipolar Disorders","volume":"12 1","pages":"37"},"PeriodicalIF":3.5000,"publicationDate":"2024-10-27","publicationTypes":"Journal Article","fieldsOfStudy":null,"isOpenAccess":false,"openAccessPdf":"https://www.ncbi.nlm.nih.gov/pmc/articles/PMC11513778/pdf/","citationCount":"0","resultStr":null,"platform":"Semanticscholar","paperid":null,"PeriodicalName":"International Journal of Bipolar Disorders","FirstCategoryId":"3","ListUrlMain":"https://doi.org/10.1186/s40345-024-00358-3","RegionNum":2,"RegionCategory":"医学","ArticlePicture":[],"TitleCN":null,"AbstractTextCN":null,"PMCID":null,"EPubDate":"","PubModel":"","JCR":"Q2","JCRName":"PSYCHIATRY","Score":null,"Total":0}
引用次数: 0

Abstract

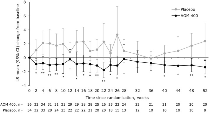
Background: Increased awareness of the factors contributing to the diagnostic disparities seen in bipolar disorder between individuals of different heritage is needed to achieve equity in diagnosis and treatment. One such inequity is the provision of earlier treatment. Earlier treatment of patients diagnosed with bipolar disorder may prolong time to recurrence of mood episodes and reduce functional impairment and other poor outcomes associated with disease progression. The aim of this post hoc analysis was to study the efficacy and safety of long-acting injectable aripiprazole once-monthly 400 mg (AOM 400) in patients with earlier-stage bipolar I disorder (BP-I). Data from a 52-week multicenter, double-blind, placebo-controlled, randomized withdrawal trial of AOM 400 versus placebo in patients with BP‑I (NCT01567527) were analyzed. Those patients in the lowest quartiles for age (18-≤32 years; n = 70) or disease duration (0.13-≤4.6 years; n = 67) at baseline were categorized with earlier-stage BP-I. The primary endpoint was time from randomization to recurrence of any mood episode. Other endpoints included proportion of patients with recurrence of any mood episode, and change from baseline in Young Mania Rating Scale (YMRS) and Montgomery-Åsberg Depression Rating Scale (MADRS) total scores.

Results: Maintenance treatment with AOM 400 significantly delayed time to recurrence of any mood episode versus placebo in patients aged 18-≤32 years (hazard ratio [HR]: 2.46 [95% confidence interval (CI) 1.09, 5.55]; p = 0.0251) or with disease duration 0.13-≤4.6 years (HR: 3.21 [95% CI 1.35, 7.65]; p = 0.005). This was largely driven by a lower proportion of patients in the AOM 400 group with YMRS total score ≥15 or clinical worsening. Changes from baseline in MADRS total score in both earlier-stage groups indicated AOM 400 did not worsen depression versus placebo. The safety profile of AOM 400 was consistent with the original study. Note that the original study included patients who had previously been stabilized on AOM 400 monotherapy, which may have enriched the population with patients who respond to and tolerate AOM 400.

Conclusions: In this post hoc analysis, AOM 400 prolonged time to recurrence of any mood episode versus placebo in earlier-stage BP-I. These findings support early initiation of maintenance treatment with AOM 400.

Abstract Image

Abstract Image

Abstract Image

阿立哌唑每月一次用于治疗早期双相情感障碍 I 的成年患者:对一项双盲、安慰剂对照、为期 52 周的随机戒断试验数据的事后分析。
背景:为了实现诊断和治疗的公平性,我们需要进一步认识导致不同血统的人在双相情感障碍诊断方面存在差异的因素。其中一个不公平因素就是早期治疗。对确诊为躁狂症的患者进行早期治疗,可以延长情绪发作复发的时间,减少功能障碍和其他与疾病进展相关的不良后果。这项事后分析旨在研究长效注射用阿立哌唑每月一次,每次400毫克(AOM 400)对早期双相情感障碍(BP-I)患者的疗效和安全性。研究人员分析了一项为期52周的多中心、双盲、安慰剂对照、随机戒断试验的数据,该试验对BP-I患者进行了AOM 400与安慰剂的对比试验(NCT01567527)。基线年龄(18-≤32 岁;n = 70)或病程(0.13-≤4.6 年;n = 67)处于最低四分位数的患者被归类为早期 BP-I 患者。主要终点为从随机化到任何情绪发作复发的时间。其他终点包括复发任何情绪发作的患者比例,以及青年躁狂评定量表(YMRS)和蒙哥马利-阿斯伯格抑郁评定量表(MADRS)总分与基线相比的变化:与安慰剂相比,在18-≤32岁或病程0.13-≤4.6年的患者中,AOM 400的维持治疗可明显延迟情绪复发时间(危险比[HR]:2.46[95% 置信区间(CI)1.09, 5.55];P = 0.0251)(HR:3.21[95% CI 1.35, 7.65];P = 0.005)。这主要是因为AOM 400组中YMRS总分≥15分或临床病情恶化的患者比例较低。两个早期阶段组的MADRS总分与基线相比的变化表明,与安慰剂相比,AOM 400并没有使抑郁症恶化。AOM 400的安全性与最初的研究结果一致。需要注意的是,最初的研究中包括了之前接受过AOM 400单药治疗并病情稳定的患者,这可能会使对AOM 400有反应并能耐受的患者群体更加丰富:在这项事后分析中,与安慰剂相比,AOM 400可延长早期BP-I患者的情绪复发时间。这些研究结果支持尽早开始使用AOM 400进行维持治疗。
本文章由计算机程序翻译,如有差异,请以英文原文为准。
求助全文
约1分钟内获得全文 求助全文
来源期刊
International Journal of Bipolar Disorders
International Journal of Bipolar Disorders Medicine-Psychiatry and Mental Health
CiteScore
6.70
自引率
5.00%
发文量
26
审稿时长
13 weeks
期刊介绍: The International Journal of Bipolar Disorders is a peer-reviewed, open access online journal published under the SpringerOpen brand. It publishes contributions from the broad range of clinical, psychological and biological research in bipolar disorders. It is the official journal of the ECNP-ENBREC (European Network of Bipolar Research Expert Centres ) Bipolar Disorders Network, the International Group for the study of Lithium Treated Patients (IGSLi) and the Deutsche Gesellschaft für Bipolare Störungen (DGBS) and invites clinicians and researchers from around the globe to submit original research papers, short research communications, reviews, guidelines, case reports and letters to the editor that help to enhance understanding of bipolar disorders.
×
引用
GB/T 7714-2015
复制
MLA
复制
APA
复制
导出至
BibTeX EndNote RefMan NoteFirst NoteExpress
×
提示
您的信息不完整,为了账户安全,请先补充。
现在去补充
×
提示
您因"违规操作"
具体请查看互助需知
我知道了
×
提示
确定
请完成安全验证×
copy
已复制链接
快去分享给好友吧!
我知道了
右上角分享
点击右上角分享
0
联系我们:info@booksci.cn Book学术提供免费学术资源搜索服务,方便国内外学者检索中英文文献。致力于提供最便捷和优质的服务体验。 Copyright © 2023 布克学术 All rights reserved.
京ICP备2023020795号-1
ghs 京公网安备 11010802042870号
Book学术文献互助
Book学术文献互助群
群 号:604180095
Book学术官方微信