Desert Ant (Melophorus bagoti) Dumpers Learn from Experience to Improve Waste Disposal and Show Spatial Fidelity.

IF 2.9 2区 农林科学 Q1 ENTOMOLOGY
Insects Pub Date : 2024-10-16 DOI:10.3390/insects15100814
Sudhakar Deeti, Ken Cheng
{"title":"Desert Ant (<i>Melophorus bagoti</i>) Dumpers Learn from Experience to Improve Waste Disposal and Show Spatial Fidelity.","authors":"Sudhakar Deeti, Ken Cheng","doi":"10.3390/insects15100814","DOIUrl":null,"url":null,"abstract":"<p><p>The Central Australian red honey-pot ant <i>Melophorus bagoti</i> maintains non-cryptic ground-nesting colonies in the semi-desert habitat, performing all the activities outside the nest during the hottest periods of summer days. These ants rely on path integration and view-based cues for navigation. They manage waste by taking out unwanted food, dead nestmates, and some other wastes, typically depositing such items at distances > 5 m from the nest entrance, a process called dumping. We found that over multiple runs, dumpers headed in the same general direction, showing sector fidelity. Experienced ants dumped waste more efficiently than naive ants. Naive individuals, lacking prior exposure to the outdoor environment around the nest, exhibited much scanning and meandering during waste disposal. In contrast, experienced ants dumped waste with straighter paths and a notable absence of scanning behaviour. Furthermore, experienced dumpers deposited waste at a greater distance from the nest compared to their naive counterparts. We also investigated the navigational knowledge of naive and experienced dumpers by displacing them 2 m away from the nest. Naive dumpers were not oriented towards the nest in their initial trajectory at any of the 2 m test locations, whereas experienced dumpers were oriented towards the nest at all test locations. Naive dumpers were nest-oriented as a group, however, at the test location nearest to where they dumped their waste. These differences suggest that in red honey ants, learning supports waste disposal, with dumping being refined through experience. Dumpers gain greater spatial knowledge through repeated runs outside the nest, contributing to successful homing behaviour.</p>","PeriodicalId":13642,"journal":{"name":"Insects","volume":"15 10","pages":""},"PeriodicalIF":2.9000,"publicationDate":"2024-10-16","publicationTypes":"Journal Article","fieldsOfStudy":null,"isOpenAccess":false,"openAccessPdf":"https://www.ncbi.nlm.nih.gov/pmc/articles/PMC11508993/pdf/","citationCount":"0","resultStr":null,"platform":"Semanticscholar","paperid":null,"PeriodicalName":"Insects","FirstCategoryId":"97","ListUrlMain":"https://doi.org/10.3390/insects15100814","RegionNum":2,"RegionCategory":"农林科学","ArticlePicture":[],"TitleCN":null,"AbstractTextCN":null,"PMCID":null,"EPubDate":"","PubModel":"","JCR":"Q1","JCRName":"ENTOMOLOGY","Score":null,"Total":0}
引用次数: 0

Abstract

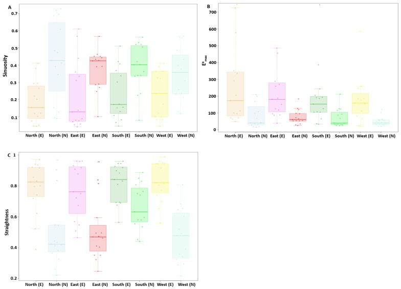
The Central Australian red honey-pot ant Melophorus bagoti maintains non-cryptic ground-nesting colonies in the semi-desert habitat, performing all the activities outside the nest during the hottest periods of summer days. These ants rely on path integration and view-based cues for navigation. They manage waste by taking out unwanted food, dead nestmates, and some other wastes, typically depositing such items at distances > 5 m from the nest entrance, a process called dumping. We found that over multiple runs, dumpers headed in the same general direction, showing sector fidelity. Experienced ants dumped waste more efficiently than naive ants. Naive individuals, lacking prior exposure to the outdoor environment around the nest, exhibited much scanning and meandering during waste disposal. In contrast, experienced ants dumped waste with straighter paths and a notable absence of scanning behaviour. Furthermore, experienced dumpers deposited waste at a greater distance from the nest compared to their naive counterparts. We also investigated the navigational knowledge of naive and experienced dumpers by displacing them 2 m away from the nest. Naive dumpers were not oriented towards the nest in their initial trajectory at any of the 2 m test locations, whereas experienced dumpers were oriented towards the nest at all test locations. Naive dumpers were nest-oriented as a group, however, at the test location nearest to where they dumped their waste. These differences suggest that in red honey ants, learning supports waste disposal, with dumping being refined through experience. Dumpers gain greater spatial knowledge through repeated runs outside the nest, contributing to successful homing behaviour.

Abstract Image

Abstract Image

Abstract Image

沙漠蚂蚁(Melophorus bagoti)倾倒者从经验中学习如何改进废物处理并表现出空间保真度。
澳大利亚中部的红蜜罐蚁(Melophorus bagoti)在半沙漠栖息地维持着非隐性的地面筑巢群,在夏季最热的时候在巢外进行所有活动。这些蚂蚁依靠路径整合和视线线索进行导航。它们通过取出不需要的食物、死去的巢友和其他一些废物来管理废物,通常将这些物品放置在距离巢穴入口大于 5 米的地方,这个过程被称为倾倒。我们发现,在多次倾倒过程中,倾倒者都朝同一个大方向倾倒,显示出扇区保真度。有经验的蚂蚁比没有经验的蚂蚁倾倒垃圾的效率更高。由于缺乏对巢穴周围室外环境的接触,天真蚂蚁在倾倒垃圾时表现出大量的扫描和徘徊。相比之下,有经验的蚂蚁倾倒垃圾的路径更直,而且明显没有扫描行为。此外,有经验的倾倒者与无经验的倾倒者相比,倾倒垃圾的地点距离蚁巢更远。我们还通过将天真和有经验的倾倒者移到离巢穴 2 米远的地方来研究它们的导航知识。在任何2米的测试地点,天真倾倒者的初始轨迹都不是朝向巢穴的,而经验丰富的倾倒者在所有测试地点都是朝向巢穴的。然而,在离倾倒垃圾地点最近的测试地点,新手倾倒者作为一个群体是面向巢穴的。这些差异表明,在红蜜蚁中,学习有助于废物的倾倒,倾倒是通过经验不断完善的。倾倒者通过在巢外反复奔跑,获得了更多的空间知识,有助于成功的归巢行为。
本文章由计算机程序翻译,如有差异,请以英文原文为准。
求助全文
约1分钟内获得全文 求助全文
来源期刊
Insects
Insects Agricultural and Biological Sciences-Insect Science
CiteScore
5.10
自引率
10.00%
发文量
1013
审稿时长
21.77 days
期刊介绍: Insects (ISSN 2075-4450) is an international, peer-reviewed open access journal of entomology published by MDPI online quarterly. It publishes reviews, research papers and communications related to the biology, physiology and the behavior of insects and arthropods. Our aim is to encourage scientists to publish their experimental and theoretical results in as much detail as possible. There is no restriction on the length of the papers. The full experimental details must be provided so that the results can be reproduced. Electronic files regarding the full details of the experimental procedure, if unable to be published in a normal way, can be deposited as supplementary material.
×
引用
GB/T 7714-2015
复制
MLA
复制
APA
复制
导出至
BibTeX EndNote RefMan NoteFirst NoteExpress
×
提示
您的信息不完整,为了账户安全,请先补充。
现在去补充
×
提示
您因"违规操作"
具体请查看互助需知
我知道了
×
提示
确定
请完成安全验证×
copy
已复制链接
快去分享给好友吧!
我知道了
右上角分享
点击右上角分享
0
联系我们:info@booksci.cn Book学术提供免费学术资源搜索服务,方便国内外学者检索中英文文献。致力于提供最便捷和优质的服务体验。 Copyright © 2023 布克学术 All rights reserved.
京ICP备2023020795号-1
ghs 京公网安备 11010802042870号
Book学术文献互助
Book学术文献互助群
群 号:604180095
Book学术官方微信