Corrected Thermodynamics of Black Holes in f(R) Gravity with Electrodynamic Field and Cosmological Constant.

IF 2 3区 物理与天体物理 Q2 PHYSICS, MULTIDISCIPLINARY
Entropy Pub Date : 2024-10-15 DOI:10.3390/e26100868
Mou Xu, Yuying Zhang, Liu Yang, Shining Yang, Jianbo Lu
{"title":"Corrected Thermodynamics of Black Holes in <i>f</i>(<i>R</i>) Gravity with Electrodynamic Field and Cosmological Constant.","authors":"Mou Xu, Yuying Zhang, Liu Yang, Shining Yang, Jianbo Lu","doi":"10.3390/e26100868","DOIUrl":null,"url":null,"abstract":"<p><p>The thermodynamics of black holes (BHs) and their corrections have become a hot topic in the study of gravitational physics, with significant progress made in recent decades. In this paper, we study the thermodynamics and corrections of spherically symmetric BHs in models f(R)=R+αR2 and f(R)=R+2γR+8Λ under the f(R) theory, which includes the electrodynamic field and the cosmological constant. Considering thermal fluctuations around equilibrium states, we find that, for both f(R) models, the corrected entropy is meaningful in the case of a negative cosmological constant (anti-de Sitter-RN spacetime) with Λ=-1. It is shown that when the BHs' horizon radius is small, thermal fluctuations have a more significant effect on the corrected entropy. Using the corrected entropy, we derive expressions for the relevant corrected thermodynamic quantities (such as Helmholtz free energy, internal energy, Gibbs free energy, and specific heat) and calculate the effects of the correction terms. The results indicate that the corrections to Helmholtz free energy and Gibbs free energy, caused by thermal fluctuations, are remarkable for small BHs. In addition, we explore the stability of BHs using specific heat. The study reveals that the corrected BH thermodynamics exhibit locally stable for both models, and corrected systems undergo a Hawking-Page phase transition. Considering the requirement on the non-negative volume of BHs, we also investigate the constraint on the EH radius of BHs.</p>","PeriodicalId":11694,"journal":{"name":"Entropy","volume":"26 10","pages":""},"PeriodicalIF":2.0000,"publicationDate":"2024-10-15","publicationTypes":"Journal Article","fieldsOfStudy":null,"isOpenAccess":false,"openAccessPdf":"https://www.ncbi.nlm.nih.gov/pmc/articles/PMC11507423/pdf/","citationCount":"0","resultStr":null,"platform":"Semanticscholar","paperid":null,"PeriodicalName":"Entropy","FirstCategoryId":"101","ListUrlMain":"https://doi.org/10.3390/e26100868","RegionNum":3,"RegionCategory":"物理与天体物理","ArticlePicture":[],"TitleCN":null,"AbstractTextCN":null,"PMCID":null,"EPubDate":"","PubModel":"","JCR":"Q2","JCRName":"PHYSICS, MULTIDISCIPLINARY","Score":null,"Total":0}
引用次数: 0

Abstract

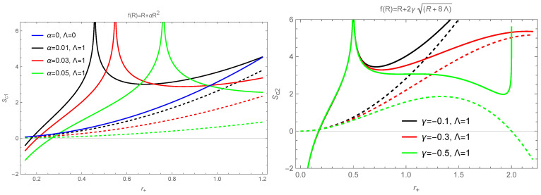
The thermodynamics of black holes (BHs) and their corrections have become a hot topic in the study of gravitational physics, with significant progress made in recent decades. In this paper, we study the thermodynamics and corrections of spherically symmetric BHs in models f(R)=R+αR2 and f(R)=R+2γR+8Λ under the f(R) theory, which includes the electrodynamic field and the cosmological constant. Considering thermal fluctuations around equilibrium states, we find that, for both f(R) models, the corrected entropy is meaningful in the case of a negative cosmological constant (anti-de Sitter-RN spacetime) with Λ=-1. It is shown that when the BHs' horizon radius is small, thermal fluctuations have a more significant effect on the corrected entropy. Using the corrected entropy, we derive expressions for the relevant corrected thermodynamic quantities (such as Helmholtz free energy, internal energy, Gibbs free energy, and specific heat) and calculate the effects of the correction terms. The results indicate that the corrections to Helmholtz free energy and Gibbs free energy, caused by thermal fluctuations, are remarkable for small BHs. In addition, we explore the stability of BHs using specific heat. The study reveals that the corrected BH thermodynamics exhibit locally stable for both models, and corrected systems undergo a Hawking-Page phase transition. Considering the requirement on the non-negative volume of BHs, we also investigate the constraint on the EH radius of BHs.

Abstract Image

Abstract Image

Abstract Image

具有电动场和宇宙常数的 f(R) 引力下黑洞的修正热力学。
黑洞(BHs)的热力学及其修正已成为引力物理学研究的热门话题,近几十年来取得了重大进展。本文在包含电动场和宇宙学常数的f(R)理论下,研究了f(R)=R+αR2和f(R)=R+2γR+8Λ模型中球面对称黑洞的热力学及其修正。考虑到平衡态周围的热波动,我们发现,对于这两种 f(R)模型,在负宇宙学常数(反德西特-RN 时空)的情况下,校正熵是有意义的,Λ=-1。研究表明,当黑体的视界半径较小时,热波动对修正熵的影响更为显著。利用修正熵,我们推导出了相关修正热力学量(如亥姆霍兹自由能、内能、吉布斯自由能和比热)的表达式,并计算了修正项的影响。结果表明,热波动对赫尔姆霍兹自由能和吉布斯自由能的修正作用对于小型黑体来说非常显著。此外,我们还利用比热探讨了 BH 的稳定性。研究发现,修正后的 BH 热力学在两个模型中都表现出局部稳定,修正后的系统会发生霍金-帕格相变。考虑到对BHs非负体积的要求,我们还研究了对BHs EH半径的约束。
本文章由计算机程序翻译,如有差异,请以英文原文为准。
求助全文
约1分钟内获得全文 求助全文
来源期刊
Entropy
Entropy PHYSICS, MULTIDISCIPLINARY-
CiteScore
4.90
自引率
11.10%
发文量
1580
审稿时长
21.05 days
期刊介绍: Entropy (ISSN 1099-4300), an international and interdisciplinary journal of entropy and information studies, publishes reviews, regular research papers and short notes. Our aim is to encourage scientists to publish as much as possible their theoretical and experimental details. There is no restriction on the length of the papers. If there are computation and the experiment, the details must be provided so that the results can be reproduced.
×
引用
GB/T 7714-2015
复制
MLA
复制
APA
复制
导出至
BibTeX EndNote RefMan NoteFirst NoteExpress
×
提示
您的信息不完整,为了账户安全,请先补充。
现在去补充
×
提示
您因"违规操作"
具体请查看互助需知
我知道了
×
提示
确定
请完成安全验证×
copy
已复制链接
快去分享给好友吧!
我知道了
右上角分享
点击右上角分享
0
联系我们:info@booksci.cn Book学术提供免费学术资源搜索服务,方便国内外学者检索中英文文献。致力于提供最便捷和优质的服务体验。 Copyright © 2023 布克学术 All rights reserved.
京ICP备2023020795号-1
ghs 京公网安备 11010802042870号
Book学术文献互助
Book学术文献互助群
群 号:604180095
Book学术官方微信