Neurofeedback Reduces P300 Amplitudes to Intensely Emotive Pictures in Depressed Cancer Patients.

IF 1.7
Clinical EEG and neuroscience Pub Date : 2025-05-01 Epub Date: 2024-10-21 DOI:10.1177/15500594241287961
Marvin Krawutschke, Martin Teufel, Kira Schmidt, Saskia Pasche, Theresa Schweig, Anna Bialek, Axel Kowalski, Mitra Tewes, Martin Schuler, Dirk Schadendorf, Norbert Scherbaum, Eva-Maria Skoda, Madeleine Fink, Bernhard W Müller
{"title":"Neurofeedback Reduces P300 Amplitudes to Intensely Emotive Pictures in Depressed Cancer Patients.","authors":"Marvin Krawutschke, Martin Teufel, Kira Schmidt, Saskia Pasche, Theresa Schweig, Anna Bialek, Axel Kowalski, Mitra Tewes, Martin Schuler, Dirk Schadendorf, Norbert Scherbaum, Eva-Maria Skoda, Madeleine Fink, Bernhard W Müller","doi":"10.1177/15500594241287961","DOIUrl":null,"url":null,"abstract":"<p><p><i>Objective.</i> Electroencephalographic neurofeedback (EEG NF) or its effects on event-related potentials (ERPs) in quantitative EEG have not yet been systematically studied in cancer patients. The aim of this study was to investigate the emotional arousal and valence effects on the event-related P300 in a visual oddball paradigm by an individualized EEG alpha and theta/beta NF intervention in cancer patients and survivors (<i>N </i>= 18, age between 31 and 73 years). <i>Methods</i>. ERPs to low and high arousal target stimuli with either emotional positive or negative content and depressive state were obtained in cancer patients before and after a five-week NF intervention in a waitlist paradigm, following the consensus on the reporting and experimental design of clinical and cognitive-behavioral NF studies (CRED-nf checklist). <i>Results</i>. Overall, P300 amplitudes decreased significantly (<i>p </i>< .05) from pre to post therapy. Effects concerning high arousal stimuli with negative and positive valences were on the border to significance. Moreover, patients achieved significant relief of depressive symptoms (<i>p </i>< .05). Especially younger participants (<55 yrs.) benefited. <i>Conclusions</i>. P300 observations could reflect a therapeutic effect on brain activity level. EEG NF alleviates depressive symptoms in cancer patients. <i>Significance</i>. Based on these findings, further studies are needed to investigate the effects on event-related potentials by NF therapy.</p>","PeriodicalId":93940,"journal":{"name":"Clinical EEG and neuroscience","volume":" ","pages":"217-229"},"PeriodicalIF":1.7000,"publicationDate":"2025-05-01","publicationTypes":"Journal Article","fieldsOfStudy":null,"isOpenAccess":false,"openAccessPdf":"https://www.ncbi.nlm.nih.gov/pmc/articles/PMC12003934/pdf/","citationCount":"0","resultStr":null,"platform":"Semanticscholar","paperid":null,"PeriodicalName":"Clinical EEG and neuroscience","FirstCategoryId":"1085","ListUrlMain":"https://doi.org/10.1177/15500594241287961","RegionNum":0,"RegionCategory":null,"ArticlePicture":[],"TitleCN":null,"AbstractTextCN":null,"PMCID":null,"EPubDate":"2024/10/21 0:00:00","PubModel":"Epub","JCR":"","JCRName":"","Score":null,"Total":0}
引用次数: 0

Abstract

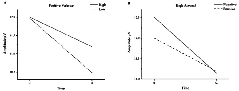
Objective. Electroencephalographic neurofeedback (EEG NF) or its effects on event-related potentials (ERPs) in quantitative EEG have not yet been systematically studied in cancer patients. The aim of this study was to investigate the emotional arousal and valence effects on the event-related P300 in a visual oddball paradigm by an individualized EEG alpha and theta/beta NF intervention in cancer patients and survivors (N = 18, age between 31 and 73 years). Methods. ERPs to low and high arousal target stimuli with either emotional positive or negative content and depressive state were obtained in cancer patients before and after a five-week NF intervention in a waitlist paradigm, following the consensus on the reporting and experimental design of clinical and cognitive-behavioral NF studies (CRED-nf checklist). Results. Overall, P300 amplitudes decreased significantly (p < .05) from pre to post therapy. Effects concerning high arousal stimuli with negative and positive valences were on the border to significance. Moreover, patients achieved significant relief of depressive symptoms (p < .05). Especially younger participants (<55 yrs.) benefited. Conclusions. P300 observations could reflect a therapeutic effect on brain activity level. EEG NF alleviates depressive symptoms in cancer patients. Significance. Based on these findings, further studies are needed to investigate the effects on event-related potentials by NF therapy.

Abstract Image

Abstract Image

Abstract Image

神经反馈可降低抑郁症癌症患者对强烈情感图片的 P300 振幅。
目的。脑电神经反馈(EEG NF)或其对定量脑电图中事件相关电位(ERPs)的影响尚未在癌症患者中进行过系统研究。本研究旨在通过对癌症患者和幸存者(N = 18,年龄在 31 至 73 岁之间)进行个体化脑电图α和θ/β神经反馈干预,研究情绪唤醒和情绪价值对视觉怪球范式中事件相关 P300 的影响。干预方法按照临床和认知行为NF研究的报告和实验设计共识(CRED-nf检查表),在候补表范式中对癌症患者进行为期五周的NF干预前后,分别获得了他们对具有积极或消极情绪内容的低唤醒和高唤醒目标刺激以及抑郁状态的ERPs。研究结果总体而言,P300振幅明显下降(p p 结论)。P300 观察结果可反映大脑活动水平的治疗效果。脑电图 NF 可减轻癌症患者的抑郁症状。意义。基于这些发现,需要进一步研究 NF 疗法对事件相关电位的影响。
本文章由计算机程序翻译,如有差异,请以英文原文为准。
求助全文
约1分钟内获得全文 求助全文
来源期刊
自引率
0.00%
发文量
0
×
引用
GB/T 7714-2015
复制
MLA
复制
APA
复制
导出至
BibTeX EndNote RefMan NoteFirst NoteExpress
×
提示
您的信息不完整,为了账户安全,请先补充。
现在去补充
×
提示
您因"违规操作"
具体请查看互助需知
我知道了
×
提示
确定
请完成安全验证×
copy
已复制链接
快去分享给好友吧!
我知道了
右上角分享
点击右上角分享
0
联系我们:info@booksci.cn Book学术提供免费学术资源搜索服务,方便国内外学者检索中英文文献。致力于提供最便捷和优质的服务体验。 Copyright © 2023 布克学术 All rights reserved.
京ICP备2023020795号-1
ghs 京公网安备 11010802042870号
Book学术文献互助
Book学术文献互助群
群 号:604180095
Book学术官方微信