A Multi-institutional Cluster Analysis to Identify Groups of Courses with Exemplary Opportunity Gaps for Undergraduate Students in the Biological Sciences.

IF 4.1 2区 教育学 Q1 EDUCATION, SCIENTIFIC DISCIPLINES
Kameryn Denaro, Marco Molinaro, Stefano Fiorini, Rebecca L Matz, Chris Mead, Meryl Motika, Nita Tarchinski, Montserrat Valdivia Medinaceli, W Carson Byrd, Benjamin Koester, Hye Rin Lee, Timothy McKay, Brian K Sato
{"title":"A Multi-institutional Cluster Analysis to Identify Groups of Courses with Exemplary Opportunity Gaps for Undergraduate Students in the Biological Sciences.","authors":"Kameryn Denaro, Marco Molinaro, Stefano Fiorini, Rebecca L Matz, Chris Mead, Meryl Motika, Nita Tarchinski, Montserrat Valdivia Medinaceli, W Carson Byrd, Benjamin Koester, Hye Rin Lee, Timothy McKay, Brian K Sato","doi":"10.1187/cbe.24-02-0051","DOIUrl":null,"url":null,"abstract":"<p><p>Examining institutional data from seven cohorts of students intending to major in biology across five research-intensive institutions, this work analyzes opportunity gaps-defined as the difference between the grade received by students from the dominant and nondominant sociodemographic groups in institutions of higher education-at the course-section level across mathematics, physics, biology, and chemistry disciplines. From this analysis, we find that the majority of course sections have large opportunity gaps between female and male students, students who are Black, Latino/a/e/x, or indigenous to the United States and its territories and students who are White or Asian, first-generation and non-first-generation students, and low-income and non-low-income students. This work provides a framework to analyze equity across institutions using robust methodology, including: using multiple approaches to measure grades, quantile regression rankscores which adjust for previous academic performance, and cluster analysis. Recommendations are provided for institutions to identify faculty who have equitable course sections, automate equity analyses, and compare results to other institutions to make a change toward more equitable outcomes.</p>","PeriodicalId":56321,"journal":{"name":"Cbe-Life Sciences Education","volume":"23 4","pages":"ar53"},"PeriodicalIF":4.1000,"publicationDate":"2024-12-01","publicationTypes":"Journal Article","fieldsOfStudy":null,"isOpenAccess":false,"openAccessPdf":"https://www.ncbi.nlm.nih.gov/pmc/articles/PMC11659849/pdf/","citationCount":"0","resultStr":null,"platform":"Semanticscholar","paperid":null,"PeriodicalName":"Cbe-Life Sciences Education","FirstCategoryId":"95","ListUrlMain":"https://doi.org/10.1187/cbe.24-02-0051","RegionNum":2,"RegionCategory":"教育学","ArticlePicture":[],"TitleCN":null,"AbstractTextCN":null,"PMCID":null,"EPubDate":"","PubModel":"","JCR":"Q1","JCRName":"EDUCATION, SCIENTIFIC DISCIPLINES","Score":null,"Total":0}
引用次数: 0

Abstract

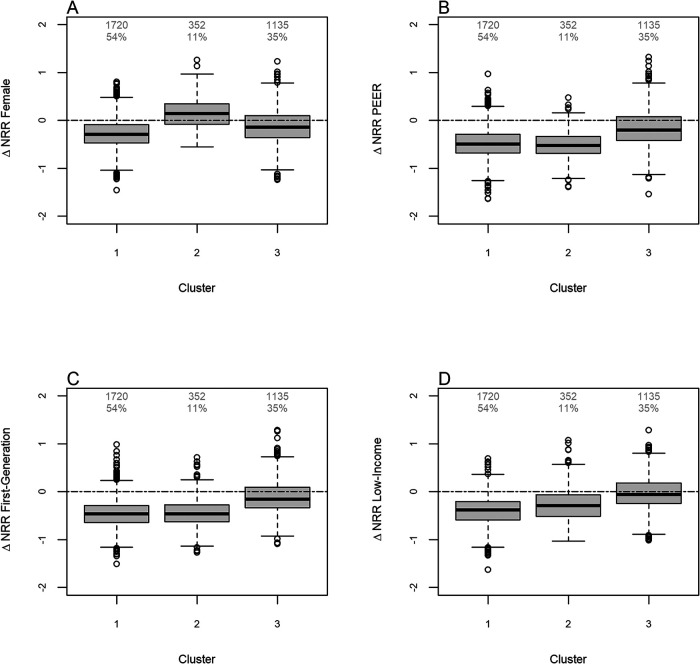
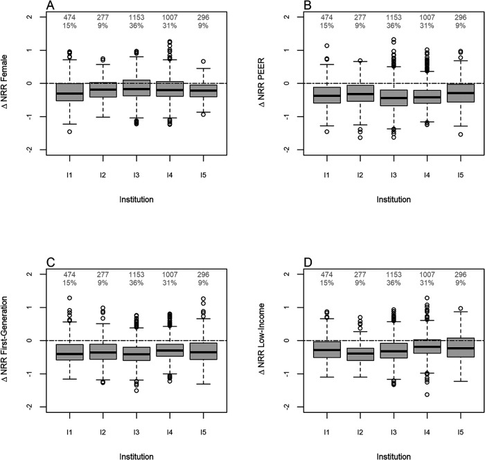
Examining institutional data from seven cohorts of students intending to major in biology across five research-intensive institutions, this work analyzes opportunity gaps-defined as the difference between the grade received by students from the dominant and nondominant sociodemographic groups in institutions of higher education-at the course-section level across mathematics, physics, biology, and chemistry disciplines. From this analysis, we find that the majority of course sections have large opportunity gaps between female and male students, students who are Black, Latino/a/e/x, or indigenous to the United States and its territories and students who are White or Asian, first-generation and non-first-generation students, and low-income and non-low-income students. This work provides a framework to analyze equity across institutions using robust methodology, including: using multiple approaches to measure grades, quantile regression rankscores which adjust for previous academic performance, and cluster analysis. Recommendations are provided for institutions to identify faculty who have equitable course sections, automate equity analyses, and compare results to other institutions to make a change toward more equitable outcomes.

Abstract Image

Abstract Image

Abstract Image

通过多机构聚类分析,为生物科学专业的本科生确定具有示范性机会差距的课程组。
通过研究五所研究密集型院校中七批生物专业学生的院校数据,本研究分析了高等教育院校中优势社会人口群体和非优势社会人口群体学生在数学、物理、生物和化学学科中,在课程部分层面上的机会差距--机会差距被定义为优势社会人口群体和非优势社会人口群体学生所获成绩之间的差异。通过分析,我们发现大多数课程在女生和男生、黑人、拉丁裔/a/e/x 或美国本土及其领地的学生和白人或亚裔学生、第一代和非第一代学生、低收入和非低收入学生之间存在巨大的机会差距。这项工作提供了一个框架,利用可靠的方法来分析各院校之间的公平性,包括:使用多种方法来衡量成绩、调整以往学业成绩的量化回归排名分数以及聚类分析。建议各院校识别拥有公平课程部分的教师,自动进行公平分析,并将结果与其他院校进行比较,以实现更公平的结果。
本文章由计算机程序翻译,如有差异,请以英文原文为准。
求助全文
约1分钟内获得全文 求助全文
来源期刊
Cbe-Life Sciences Education
Cbe-Life Sciences Education EDUCATION, SCIENTIFIC DISCIPLINES-
CiteScore
6.50
自引率
13.50%
发文量
100
审稿时长
>12 weeks
期刊介绍: CBE—Life Sciences Education (LSE), a free, online quarterly journal, is published by the American Society for Cell Biology (ASCB). The journal was launched in spring 2002 as Cell Biology Education—A Journal of Life Science Education. The ASCB changed the name of the journal in spring 2006 to better reflect the breadth of its readership and the scope of its submissions. LSE publishes peer-reviewed articles on life science education at the K–12, undergraduate, and graduate levels. The ASCB believes that learning in biology encompasses diverse fields, including math, chemistry, physics, engineering, computer science, and the interdisciplinary intersections of biology with these fields. Within biology, LSE focuses on how students are introduced to the study of life sciences, as well as approaches in cell biology, developmental biology, neuroscience, biochemistry, molecular biology, genetics, genomics, bioinformatics, and proteomics.
×
引用
GB/T 7714-2015
复制
MLA
复制
APA
复制
导出至
BibTeX EndNote RefMan NoteFirst NoteExpress
×
提示
您的信息不完整,为了账户安全,请先补充。
现在去补充
×
提示
您因"违规操作"
具体请查看互助需知
我知道了
×
提示
确定
请完成安全验证×
copy
已复制链接
快去分享给好友吧!
我知道了
右上角分享
点击右上角分享
0
联系我们:info@booksci.cn Book学术提供免费学术资源搜索服务,方便国内外学者检索中英文文献。致力于提供最便捷和优质的服务体验。 Copyright © 2023 布克学术 All rights reserved.
京ICP备2023020795号-1
ghs 京公网安备 11010802042870号
Book学术文献互助
Book学术文献互助群
群 号:604180095
Book学术官方微信