Maternal weight status at conception predicts offspring body fat at age 11 years: population data from the Japan Kids Body Composition Study using dual-energy X-ray absorptiometry.

IF 2.1 4区 医学 Q1 PHYSIOLOGY
Katsuyasu Kouda, Kumiko Ohara, Harunobu Nakamura, Yuki Fujita, Masayuki Iki
{"title":"Maternal weight status at conception predicts offspring body fat at age 11 years: population data from the Japan Kids Body Composition Study using dual-energy X-ray absorptiometry.","authors":"Katsuyasu Kouda, Kumiko Ohara, Harunobu Nakamura, Yuki Fujita, Masayuki Iki","doi":"10.1186/s40101-024-00374-3","DOIUrl":null,"url":null,"abstract":"<p><strong>Background: </strong>Maternal preconception overweight status has been reported to be associated with an increased risk of overweight offspring. However, there are no published population-based studies on the association between maternal preconception weight and offspring body fat measured by dual-energy X-ray absorptiometry (DXA). The present population-based retrospective cohort study aimed to examine the association between maternal weight at conception and offspring body fat measured by DXA.</p><p><strong>Methods: </strong>The source population consisted of 5th-grade students (1244 students aged 11 years) registered at 8 municipal elementary schools in Kitakata, Fukuroi, Hamamatsu, and Himeji in Japan. The present analyses included 964 participants who provided complete information. Maternal body mass index (BMI) at conception was calculated using records in the Mother and Child Health Handbook (MCHH). Offspring body fat at age 11 years was measured with the same QDR-4500A DXA instrument in a mobile test room that was brought to each school. With regard to the prediction of excess fat in offspring, the area under the curve (AUC) calculated with receiver operating characteristic curve analysis was used to quantify the diagnostic accuracy of maternal BMI at conception.</p><p><strong>Results: </strong>Adjusted odds ratios for excess body fat in offspring of the overweight mother group (odds ratios, 4.93 to 15.32) were significantly higher than those in the non-overweight mother group. For the prediction of excess offspring fat, AUCs and 95% confidence intervals for maternal BMI at conception were greater than 0.5.</p><p><strong>Conclusion: </strong>Maternal overweight status at conception might be a risk factor for excess body fat in offspring. Maternal BMI values calculated using MCHH data have the potential to distinguish between the presence and absence of excess fat in the next generation.</p>","PeriodicalId":48730,"journal":{"name":"Journal of Physiological Anthropology","volume":"43 1","pages":"26"},"PeriodicalIF":2.1000,"publicationDate":"2024-10-19","publicationTypes":"Journal Article","fieldsOfStudy":null,"isOpenAccess":false,"openAccessPdf":"https://www.ncbi.nlm.nih.gov/pmc/articles/PMC11490147/pdf/","citationCount":"0","resultStr":null,"platform":"Semanticscholar","paperid":null,"PeriodicalName":"Journal of Physiological Anthropology","FirstCategoryId":"3","ListUrlMain":"https://doi.org/10.1186/s40101-024-00374-3","RegionNum":4,"RegionCategory":"医学","ArticlePicture":[],"TitleCN":null,"AbstractTextCN":null,"PMCID":null,"EPubDate":"","PubModel":"","JCR":"Q1","JCRName":"PHYSIOLOGY","Score":null,"Total":0}
引用次数: 0

Abstract

Background: Maternal preconception overweight status has been reported to be associated with an increased risk of overweight offspring. However, there are no published population-based studies on the association between maternal preconception weight and offspring body fat measured by dual-energy X-ray absorptiometry (DXA). The present population-based retrospective cohort study aimed to examine the association between maternal weight at conception and offspring body fat measured by DXA.

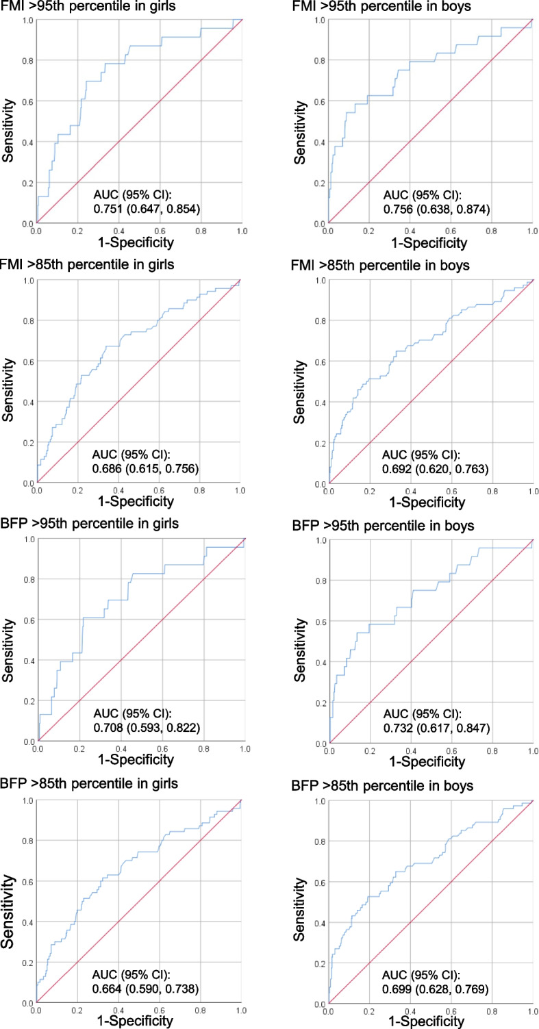
Methods: The source population consisted of 5th-grade students (1244 students aged 11 years) registered at 8 municipal elementary schools in Kitakata, Fukuroi, Hamamatsu, and Himeji in Japan. The present analyses included 964 participants who provided complete information. Maternal body mass index (BMI) at conception was calculated using records in the Mother and Child Health Handbook (MCHH). Offspring body fat at age 11 years was measured with the same QDR-4500A DXA instrument in a mobile test room that was brought to each school. With regard to the prediction of excess fat in offspring, the area under the curve (AUC) calculated with receiver operating characteristic curve analysis was used to quantify the diagnostic accuracy of maternal BMI at conception.

Results: Adjusted odds ratios for excess body fat in offspring of the overweight mother group (odds ratios, 4.93 to 15.32) were significantly higher than those in the non-overweight mother group. For the prediction of excess offspring fat, AUCs and 95% confidence intervals for maternal BMI at conception were greater than 0.5.

Conclusion: Maternal overweight status at conception might be a risk factor for excess body fat in offspring. Maternal BMI values calculated using MCHH data have the potential to distinguish between the presence and absence of excess fat in the next generation.

Abstract Image

受孕时母亲的体重状况可预测子代 11 岁时的体脂:使用双能 X 射线吸收测量法进行的日本儿童身体成分研究的人口数据。
背景:据报道,孕前母亲超重与后代超重风险增加有关。然而,目前还没有关于孕前体重与通过双能 X 射线吸收测量法(DXA)测量的后代体脂之间关系的公开发表的人群研究。本项基于人群的回顾性队列研究旨在探讨孕产妇受孕时的体重与通过 DXA 测量的后代体脂之间的关系:研究对象包括日本喜多方市、福来市、滨松市和姬路市 8 所市立小学的五年级学生(1244 名,11 岁)。本次分析包括提供完整信息的 964 名参与者。母亲受孕时的体重指数(BMI)是根据母子健康手册(MCHH)中的记录计算得出的。子代在 11 岁时的体脂测量是在一个移动测试室中使用相同的 QDR-4500A DXA 仪器进行的,该仪器被带到每所学校。在预测后代脂肪超标方面,使用接收器工作特征曲线分析法计算的曲线下面积(AUC)来量化受孕时母体体重指数的诊断准确性:结果:经调整后,超重母亲组后代体内脂肪过多的几率(几率比为 4.93 至 15.32)明显高于非超重母亲组。在预测后代脂肪过多方面,受孕时母亲体重指数的 AUC 和 95% 置信区间均大于 0.5:结论:受孕时母亲超重可能是导致后代体脂过多的一个风险因素。利用母婴健康数据计算出的母体 BMI 值有可能区分下一代是否存在过多脂肪。
本文章由计算机程序翻译,如有差异,请以英文原文为准。
求助全文
约1分钟内获得全文 求助全文
来源期刊
自引率
6.50%
发文量
39
期刊介绍: Journal of Physiological Anthropology (JPA) is an open access, peer-reviewed journal that publishes research on the physiological functions of modern mankind, with an emphasis on the physical and bio-cultural effects on human adaptability to the current environment. The objective of JPA is to evaluate physiological adaptations to modern living environments, and to publish research from different scientific fields concerned with environmental impact on human life. Topic areas include, but are not limited to: environmental physiology bio-cultural environment living environment epigenetic adaptation development and growth age and sex differences nutrition and morphology physical fitness and health Journal of Physiological Anthropology is the official journal of the Japan Society of Physiological Anthropology.
×
引用
GB/T 7714-2015
复制
MLA
复制
APA
复制
导出至
BibTeX EndNote RefMan NoteFirst NoteExpress
×
提示
您的信息不完整,为了账户安全,请先补充。
现在去补充
×
提示
您因"违规操作"
具体请查看互助需知
我知道了
×
提示
确定
请完成安全验证×
copy
已复制链接
快去分享给好友吧!
我知道了
右上角分享
点击右上角分享
0
联系我们:info@booksci.cn Book学术提供免费学术资源搜索服务,方便国内外学者检索中英文文献。致力于提供最便捷和优质的服务体验。 Copyright © 2023 布克学术 All rights reserved.
京ICP备2023020795号-1
ghs 京公网安备 11010802042870号
Book学术文献互助
Book学术文献互助群
群 号:604180095
Book学术官方微信