D-dimer as a Predictive Biomarker of Response to Chemotherapy in Patients With Metastatic Breast Cancer.

IF 2.6 Q2 MEDICINE, RESEARCH & EXPERIMENTAL
Biomarker Insights Pub Date : 2024-10-17 eCollection Date: 2024-01-01 DOI:10.1177/11772719241290704
Lubana Alkhoder, Maher Salamoon, Maher Saifo, Sulaf Alwassouf
{"title":"D-dimer as a Predictive Biomarker of Response to Chemotherapy in Patients With Metastatic Breast Cancer.","authors":"Lubana Alkhoder, Maher Salamoon, Maher Saifo, Sulaf Alwassouf","doi":"10.1177/11772719241290704","DOIUrl":null,"url":null,"abstract":"<p><strong>Background: </strong>Tumor-induced coagulation is widely observed in cancer patients. Moreover, it is associated with tumorigenesis, tumor progression and metastasis, by creating a proliferative and proangiogenic microenvironment. Therefore, D-dimer, a fibrin degradation product, correlates with tumor prognosis in several cancer types.</p><p><strong>Objectives: </strong>This study aims to investigate whether D-dimer levels can be a predictive and monitoring indicator for chemotherapy response in metastatic breast cancer (MBC) patients.</p><p><strong>Design: </strong>This was a prospective study.</p><p><strong>Methods: </strong>This study included two groups, 76 patients diagnosed with metastatic breast carcinoma and 25 patients with primary breast carcinoma. Plasma D-dimer levels were measured prospectively before chemotherapy initiation, and after the fourth treatment cycle in MBC patients. D-dimer levels before chemotherapy (D0) were analyzed using Receiver Operating Characteristic (ROC) curves to determine the optimal cut-off baseline values of D0, and to evaluate their discriminatory abilities in predicting response to chemotherapy.</p><p><strong>Results: </strong>In the preliminary response evaluation, the mean level of D-dimer significantly decreased by 0.65 μg/ml in patients with partial response patterns, and by 0.5 μg/ml in patients with stable disease. In the disease progression group, a marked increase was seen in D-dimer levels by 1.2 μg/ml. Analysis of ROC curves showed that D-dimer levels at D0 could discriminate the response to chemotherapy, whereas progressive disease rate correlated with higher levels of D-dimer.</p><p><strong>Conclusion: </strong>D-dimer level in plasma is a useful predictive and monitoring marker of response to chemotherapy in metastatic breast cancer.</p>","PeriodicalId":47060,"journal":{"name":"Biomarker Insights","volume":"19 ","pages":"11772719241290704"},"PeriodicalIF":2.6000,"publicationDate":"2024-10-17","publicationTypes":"Journal Article","fieldsOfStudy":null,"isOpenAccess":false,"openAccessPdf":"https://www.ncbi.nlm.nih.gov/pmc/articles/PMC11489913/pdf/","citationCount":"0","resultStr":null,"platform":"Semanticscholar","paperid":null,"PeriodicalName":"Biomarker Insights","FirstCategoryId":"1085","ListUrlMain":"https://doi.org/10.1177/11772719241290704","RegionNum":0,"RegionCategory":null,"ArticlePicture":[],"TitleCN":null,"AbstractTextCN":null,"PMCID":null,"EPubDate":"2024/1/1 0:00:00","PubModel":"eCollection","JCR":"Q2","JCRName":"MEDICINE, RESEARCH & EXPERIMENTAL","Score":null,"Total":0}
引用次数: 0

Abstract

Background: Tumor-induced coagulation is widely observed in cancer patients. Moreover, it is associated with tumorigenesis, tumor progression and metastasis, by creating a proliferative and proangiogenic microenvironment. Therefore, D-dimer, a fibrin degradation product, correlates with tumor prognosis in several cancer types.

Objectives: This study aims to investigate whether D-dimer levels can be a predictive and monitoring indicator for chemotherapy response in metastatic breast cancer (MBC) patients.

Design: This was a prospective study.

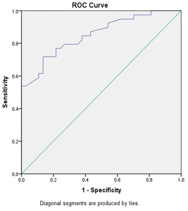
Methods: This study included two groups, 76 patients diagnosed with metastatic breast carcinoma and 25 patients with primary breast carcinoma. Plasma D-dimer levels were measured prospectively before chemotherapy initiation, and after the fourth treatment cycle in MBC patients. D-dimer levels before chemotherapy (D0) were analyzed using Receiver Operating Characteristic (ROC) curves to determine the optimal cut-off baseline values of D0, and to evaluate their discriminatory abilities in predicting response to chemotherapy.

Results: In the preliminary response evaluation, the mean level of D-dimer significantly decreased by 0.65 μg/ml in patients with partial response patterns, and by 0.5 μg/ml in patients with stable disease. In the disease progression group, a marked increase was seen in D-dimer levels by 1.2 μg/ml. Analysis of ROC curves showed that D-dimer levels at D0 could discriminate the response to chemotherapy, whereas progressive disease rate correlated with higher levels of D-dimer.

Conclusion: D-dimer level in plasma is a useful predictive and monitoring marker of response to chemotherapy in metastatic breast cancer.

Abstract Image

Abstract Image

Abstract Image

D-二聚体作为转移性乳腺癌患者化疗反应的预测性生物标记物
背景:肿瘤诱导凝血在癌症患者中广泛存在。此外,肿瘤诱导凝血与肿瘤发生、肿瘤进展和转移有关,因为它创造了一个增殖和促血管生成的微环境。因此,纤维蛋白降解产物 D-二聚体与多种癌症类型的肿瘤预后相关:本研究旨在探讨 D-二聚体水平是否可作为转移性乳腺癌(MBC)患者化疗反应的预测和监测指标:设计:这是一项前瞻性研究:本研究包括两组患者,分别是76名确诊为转移性乳腺癌的患者和25名原发性乳腺癌患者。在开始化疗前和第四个治疗周期后,对 MBC 患者的血浆 D-二聚体水平进行前瞻性测量。使用接收者操作特征曲线(ROC)分析化疗前(D0)的D-二聚体水平,以确定D0的最佳临界基线值,并评估其预测化疗反应的判别能力:在初步反应评估中,部分反应模式患者的 D-二聚体平均水平明显下降了 0.65 μg/ml,病情稳定患者的 D-二聚体平均水平下降了 0.5 μg/ml。在疾病进展组中,D-二聚体水平明显增加了 1.2 μg/ml。ROC曲线分析表明,D0时的D-二聚体水平可判别对化疗的反应,而疾病进展率与较高的D-二聚体水平相关:结论:血浆中的D-二聚体水平是预测和监测转移性乳腺癌化疗反应的有效指标。
本文章由计算机程序翻译,如有差异,请以英文原文为准。
求助全文
约1分钟内获得全文 求助全文
来源期刊
Biomarker Insights
Biomarker Insights MEDICINE, RESEARCH & EXPERIMENTAL-
CiteScore
6.00
自引率
0.00%
发文量
26
审稿时长
8 weeks
期刊介绍: An open access, peer reviewed electronic journal that covers all aspects of biomarker research and clinical applications.
×
引用
GB/T 7714-2015
复制
MLA
复制
APA
复制
导出至
BibTeX EndNote RefMan NoteFirst NoteExpress
×
提示
您的信息不完整,为了账户安全,请先补充。
现在去补充
×
提示
您因"违规操作"
具体请查看互助需知
我知道了
×
提示
确定
请完成安全验证×
copy
已复制链接
快去分享给好友吧!
我知道了
右上角分享
点击右上角分享
0
联系我们:info@booksci.cn Book学术提供免费学术资源搜索服务,方便国内外学者检索中英文文献。致力于提供最便捷和优质的服务体验。 Copyright © 2023 布克学术 All rights reserved.
京ICP备2023020795号-1
ghs 京公网安备 11010802042870号
Book学术文献互助
Book学术文献互助群
群 号:604180095
Book学术官方微信