Insights Into Modern Undergraduate Ultrasound Education: Prospective Comparison of Digital and Analog Teaching Resources in a Flipped Classroom Concept - The DIvAN Study.

IF 1.6 Q3 RADIOLOGY, NUCLEAR MEDICINE & MEDICAL IMAGING
Ultrasound International Open Pub Date : 2024-10-09 eCollection Date: 2024-01-01 DOI:10.1055/a-2389-9410
Johannes M Weimer, Florian Recker, Leonie Horn, Julian Kuenzel, Klaus Dirks, Carlotta Ille, Holger Buggenhagen, Norbert Börner, Andreas Michael Weimer, Thomas Vieth, Liv Lorenz, Maximilian Rink, Daniel Merkel, Anna Dionysopoulou, Michael Ludwig, Roman Kloeckner, Julia Weinmann-Menke, Lukas Müller
{"title":"Insights Into Modern Undergraduate Ultrasound Education: Prospective Comparison of Digital and Analog Teaching Resources in a Flipped Classroom Concept - The DIvAN Study.","authors":"Johannes M Weimer, Florian Recker, Leonie Horn, Julian Kuenzel, Klaus Dirks, Carlotta Ille, Holger Buggenhagen, Norbert Börner, Andreas Michael Weimer, Thomas Vieth, Liv Lorenz, Maximilian Rink, Daniel Merkel, Anna Dionysopoulou, Michael Ludwig, Roman Kloeckner, Julia Weinmann-Menke, Lukas Müller","doi":"10.1055/a-2389-9410","DOIUrl":null,"url":null,"abstract":"<p><p><b>Purpose</b>   Sonography training has become an important part of university medicine courses. This study explores the impact of digital and analog teaching resources on learning outcomes, knowledge retention, and student preferences and motivation in a flipped classroom setting. <b>Materials and Methods</b>   This prospective controlled study involving two groups of third-year medical students included a voluntary three-day compact ultrasound course given in a flipped classroom, comprising 26 teaching units of 45 minutes each. Hardcopy lecture notes (control group) and E-learning (study group) were used as teaching resources. Evaluations were conducted before (pre) and during the preparation phase (intermediate), and after (post) the face-to-face course. Likert scale responses, written theory tests with very short answer questions (Theorypre, Theoryinter, Theorypost), and practical examinations (Practiceinter, Practicepost) were used for student self-assessment and to measure attitude, motivation, as well as theoretical and practical skills. <b>Results</b>   A total of N=236 complete data sets (study group n=136; control group n=100) were analyzed. Both groups showed an equivalent initial level of, and a continuous and significant (p<0.01) increase in, subjective and objective skills over the evaluated time frame. The study group achieved significantly (p<0.05) better results in Theoryinter, Theorypost, Practiceinter, and Practicepost. The study group evaluated their teaching resource and the training concept significantly (p<0.05) better. <b>Conclusion</b>   The integration of digital resources into sonography education provides comparable learning outcomes to traditional analog materials, enhancing the preparatory phase. In the future, digitally supported training should be used more.</p>","PeriodicalId":44852,"journal":{"name":"Ultrasound International Open","volume":"10 ","pages":"a23899410"},"PeriodicalIF":1.6000,"publicationDate":"2024-10-09","publicationTypes":"Journal Article","fieldsOfStudy":null,"isOpenAccess":false,"openAccessPdf":"https://www.ncbi.nlm.nih.gov/pmc/articles/PMC11472524/pdf/","citationCount":"0","resultStr":null,"platform":"Semanticscholar","paperid":null,"PeriodicalName":"Ultrasound International Open","FirstCategoryId":"1085","ListUrlMain":"https://doi.org/10.1055/a-2389-9410","RegionNum":0,"RegionCategory":null,"ArticlePicture":[],"TitleCN":null,"AbstractTextCN":null,"PMCID":null,"EPubDate":"2024/1/1 0:00:00","PubModel":"eCollection","JCR":"Q3","JCRName":"RADIOLOGY, NUCLEAR MEDICINE & MEDICAL IMAGING","Score":null,"Total":0}
引用次数: 0

Abstract

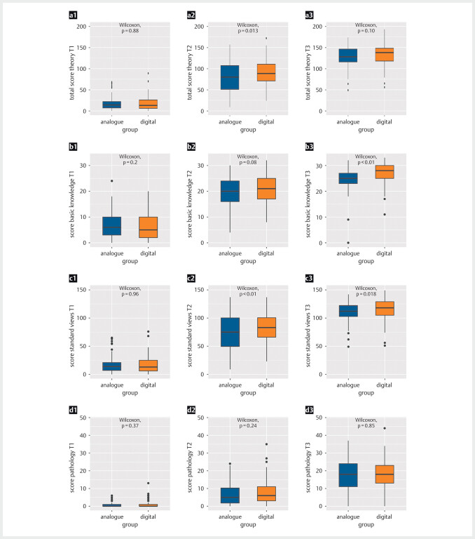
Purpose   Sonography training has become an important part of university medicine courses. This study explores the impact of digital and analog teaching resources on learning outcomes, knowledge retention, and student preferences and motivation in a flipped classroom setting. Materials and Methods   This prospective controlled study involving two groups of third-year medical students included a voluntary three-day compact ultrasound course given in a flipped classroom, comprising 26 teaching units of 45 minutes each. Hardcopy lecture notes (control group) and E-learning (study group) were used as teaching resources. Evaluations were conducted before (pre) and during the preparation phase (intermediate), and after (post) the face-to-face course. Likert scale responses, written theory tests with very short answer questions (Theorypre, Theoryinter, Theorypost), and practical examinations (Practiceinter, Practicepost) were used for student self-assessment and to measure attitude, motivation, as well as theoretical and practical skills. Results   A total of N=236 complete data sets (study group n=136; control group n=100) were analyzed. Both groups showed an equivalent initial level of, and a continuous and significant (p<0.01) increase in, subjective and objective skills over the evaluated time frame. The study group achieved significantly (p<0.05) better results in Theoryinter, Theorypost, Practiceinter, and Practicepost. The study group evaluated their teaching resource and the training concept significantly (p<0.05) better. Conclusion   The integration of digital resources into sonography education provides comparable learning outcomes to traditional analog materials, enhancing the preparatory phase. In the future, digitally supported training should be used more.

Abstract Image

Abstract Image

Abstract Image

现代本科超声教育的启示:翻转课堂概念中数字和模拟教学资源的前瞻性比较 - DIvAN 研究。
目的 超声造影培训已成为大学医学课程的重要组成部分。本研究探讨了在翻转课堂环境下,数字和模拟教学资源对学习效果、知识保留、学生偏好和学习动机的影响。材料与方法 这项前瞻性对照研究涉及两组三年级医学生,包括在翻转课堂上自愿开设的为期三天的紧凑型超声课程,共有 26 个教学单元,每个单元 45 分钟。硬拷贝讲义(对照组)和电子学习(学习组)被用作教学资源。在面授课程之前(前)、准备阶段(中)和之后(后)进行了评估。采用李克特量表、带简答题的书面理论测试(理论前、理论中、理论后)和实践考试(实践中、实践后)对学生进行自我评估,衡量学生的态度、学习动机以及理论和实践技能。结果 共分析了 N=236 组完整数据(研究组 n=136;对照组 n=100)。研究组和对照组的初始水平相当,且具有持续性和显著性(p 结论 将数字资源整合到超声造影教育中,可提供与传统模拟材料相当的学习成果,从而加强预备阶段的学习。今后,应更多地使用数字支持培训。
本文章由计算机程序翻译,如有差异,请以英文原文为准。
求助全文
约1分钟内获得全文 求助全文
来源期刊
Ultrasound International Open
Ultrasound International Open RADIOLOGY, NUCLEAR MEDICINE & MEDICAL IMAGING-
CiteScore
3.00
自引率
0.00%
发文量
7
审稿时长
12 weeks
×
引用
GB/T 7714-2015
复制
MLA
复制
APA
复制
导出至
BibTeX EndNote RefMan NoteFirst NoteExpress
×
提示
您的信息不完整,为了账户安全,请先补充。
现在去补充
×
提示
您因"违规操作"
具体请查看互助需知
我知道了
×
提示
确定
请完成安全验证×
copy
已复制链接
快去分享给好友吧!
我知道了
右上角分享
点击右上角分享
0
联系我们:info@booksci.cn Book学术提供免费学术资源搜索服务,方便国内外学者检索中英文文献。致力于提供最便捷和优质的服务体验。 Copyright © 2023 布克学术 All rights reserved.
京ICP备2023020795号-1
ghs 京公网安备 11010802042870号
Book学术文献互助
Book学术文献互助群
群 号:604180095
Book学术官方微信