The Role of Dynamic Changes in Hematologic and Biochemical Parameters in Predicting Mortality in Covid-19 Patients.

IF 0.9 Q3 MEDICINE, GENERAL & INTERNAL
Medical Bulletin of Sisli Etfal Hospital Pub Date : 2024-09-30 eCollection Date: 2024-01-01 DOI:10.14744/SEMB.2024.26096
Emine Celik Tellioglu, Ahsen Oncul, Husrev Diktas, Ceren Atasoy Tahtasakal, Elif Aktas, Irem Genc Yaman, Dilek Yildiz Sevgi, Ilyas Dokmetas
{"title":"The Role of Dynamic Changes in Hematologic and Biochemical Parameters in Predicting Mortality in Covid-19 Patients.","authors":"Emine Celik Tellioglu, Ahsen Oncul, Husrev Diktas, Ceren Atasoy Tahtasakal, Elif Aktas, Irem Genc Yaman, Dilek Yildiz Sevgi, Ilyas Dokmetas","doi":"10.14744/SEMB.2024.26096","DOIUrl":null,"url":null,"abstract":"<p><strong>Objectives: </strong>The role of hematologic, inflammatory and biochemical parameters as biomarkers, their role in identifying risky patients in the early stage and their role in prognosis in COVID-19 Coronavirus disease 2019 (COVID-19) were investigated.</p><p><strong>Methods: </strong>The study included patients who were hospitalized and followed up with a prediagnosis of COVID-19 in the first wave in our country at the University of Health Sciences, Sisli Hamidiye Etfal Training and Research Hospital Demographic and clinical characteristics as well as complete blood count, C reactive protein (CRP), procalcitonin (PCT), fibrinogen (FIB), ferritin, albumin (ALB), lactate dehydrogenase (LDH) levels on admission, third, seventh and 14th days were analyzed. Patients were grouped and compared according to the occurrence of death during hospital follow-up. Variables considered significant on mortality were analyzed with univariate and multivariate logistic regression models.</p><p><strong>Results: </strong>The study was conducted with 485 patients, 273 (56.3%) males and 212 (43.72%) females. The mean age of the patients was 58±16.2 years, and 71% were in the mild-moderate and 29% in the severe-critical disease group. Disease severity, the need for intensive care unit (ICU) follow-up, and the development of death were positively correlated with age, comorbidity, neutrophil (NE), leukocyte, neutrophil-lymphocyte ratio (NLR), PCT, CRP, ferritin, LDH values, and negatively correlated with lymphocyte (LE), ALB and hemoglobin (HGB) values. In multivariate analysis, elevated PCT at hospital admission (OR: 6.96 [1.63;39.65]), LDH ≥ 352U/L (OR: 4.35 [1.23;16.61]), LE<0.810 × 109/L (OR: 3.0 [1.16;7.85]) and advanced age (OR: 1.08 [1.03;1.14]) were independently associated with in-hospital death. In hemogram and acute phase reactant monitoring, PCT, CRP and LDH were the most valuable markers for predicting death, respectively (third-day AUC: 0.90;0.83;0.83 and seventh-day AUC: 0.95;0.90;0.89, respectively).</p><p><strong>Conclusion: </strong>In our study, leukocytes, lymphocytes, NLR, CRP, PCT, ferritin, albumin and LDH at admission were valuable in predicting poor prognosis. In addition, it was determined that increases in PCT, LDH and CRP during follow-up could be used to predict in-hospital death and to identify patients requiring close follow-up.</p>","PeriodicalId":42218,"journal":{"name":"Medical Bulletin of Sisli Etfal Hospital","volume":"58 3","pages":"371-380"},"PeriodicalIF":0.9000,"publicationDate":"2024-09-30","publicationTypes":"Journal Article","fieldsOfStudy":null,"isOpenAccess":false,"openAccessPdf":"https://www.ncbi.nlm.nih.gov/pmc/articles/PMC11472194/pdf/","citationCount":"0","resultStr":null,"platform":"Semanticscholar","paperid":null,"PeriodicalName":"Medical Bulletin of Sisli Etfal Hospital","FirstCategoryId":"1085","ListUrlMain":"https://doi.org/10.14744/SEMB.2024.26096","RegionNum":0,"RegionCategory":null,"ArticlePicture":[],"TitleCN":null,"AbstractTextCN":null,"PMCID":null,"EPubDate":"2024/1/1 0:00:00","PubModel":"eCollection","JCR":"Q3","JCRName":"MEDICINE, GENERAL & INTERNAL","Score":null,"Total":0}
引用次数: 0

Abstract

Objectives: The role of hematologic, inflammatory and biochemical parameters as biomarkers, their role in identifying risky patients in the early stage and their role in prognosis in COVID-19 Coronavirus disease 2019 (COVID-19) were investigated.

Methods: The study included patients who were hospitalized and followed up with a prediagnosis of COVID-19 in the first wave in our country at the University of Health Sciences, Sisli Hamidiye Etfal Training and Research Hospital Demographic and clinical characteristics as well as complete blood count, C reactive protein (CRP), procalcitonin (PCT), fibrinogen (FIB), ferritin, albumin (ALB), lactate dehydrogenase (LDH) levels on admission, third, seventh and 14th days were analyzed. Patients were grouped and compared according to the occurrence of death during hospital follow-up. Variables considered significant on mortality were analyzed with univariate and multivariate logistic regression models.

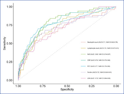
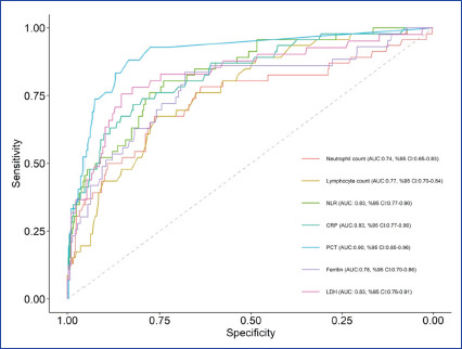
Results: The study was conducted with 485 patients, 273 (56.3%) males and 212 (43.72%) females. The mean age of the patients was 58±16.2 years, and 71% were in the mild-moderate and 29% in the severe-critical disease group. Disease severity, the need for intensive care unit (ICU) follow-up, and the development of death were positively correlated with age, comorbidity, neutrophil (NE), leukocyte, neutrophil-lymphocyte ratio (NLR), PCT, CRP, ferritin, LDH values, and negatively correlated with lymphocyte (LE), ALB and hemoglobin (HGB) values. In multivariate analysis, elevated PCT at hospital admission (OR: 6.96 [1.63;39.65]), LDH ≥ 352U/L (OR: 4.35 [1.23;16.61]), LE<0.810 × 109/L (OR: 3.0 [1.16;7.85]) and advanced age (OR: 1.08 [1.03;1.14]) were independently associated with in-hospital death. In hemogram and acute phase reactant monitoring, PCT, CRP and LDH were the most valuable markers for predicting death, respectively (third-day AUC: 0.90;0.83;0.83 and seventh-day AUC: 0.95;0.90;0.89, respectively).

Conclusion: In our study, leukocytes, lymphocytes, NLR, CRP, PCT, ferritin, albumin and LDH at admission were valuable in predicting poor prognosis. In addition, it was determined that increases in PCT, LDH and CRP during follow-up could be used to predict in-hospital death and to identify patients requiring close follow-up.

Abstract Image

Abstract Image

Abstract Image

血液学和生化指标的动态变化在预测 Covid-19 患者死亡率中的作用
目标:研究了血液学、炎症和生化指标作为生物标志物的作用,它们在早期识别高危患者中的作用,以及它们在2019年COVID-19冠状病毒病(COVID-19)预后中的作用:研究对象包括我国卫生科学大学 Sisli Hamidiye Etfal 培训与研究医院第一波住院并随访的 COVID-19 诊断前患者。研究人员分析了患者的人口统计学特征、临床特征以及入院第 1 天、第 3 天、第 7 天和第 14 天的全血细胞计数、C 反应蛋白 (CRP)、降钙素原 (PCT)、纤维蛋白原 (FIB)、铁蛋白、白蛋白 (ALB)、乳酸脱氢酶 (LDH) 水平。根据住院随访期间的死亡情况对患者进行分组和比较。采用单变量和多变量逻辑回归模型分析了被认为对死亡率有显著影响的变量:研究共涉及 485 名患者,其中男性 273 人(56.3%),女性 212 人(43.72%)。患者的平均年龄为(58±16.2)岁,71%的患者属于轻-中度疾病组,29%的患者属于重-危重疾病组。疾病严重程度、重症监护室(ICU)随访需求和死亡的发生与年龄、合并症、中性粒细胞(NE)、白细胞、中性粒细胞-淋巴细胞比值(NLR)、PCT、CRP、铁蛋白、LDH 值呈正相关,而与淋巴细胞(LE)、ALB 和血红蛋白(HGB)值呈负相关。在多变量分析中,入院时 PCT 升高(OR:6.96 [1.63;39.65])、LDH ≥ 352U/L (OR:4.35 [1.23;16.61])、LEConclusion(淋巴细胞)和 CRP 升高(OR:6.96 [1.63;39.65])与 LDH 值呈负相关:在我们的研究中,入院时的白细胞、淋巴细胞、NLR、CRP、PCT、铁蛋白、白蛋白和 LDH 对预测不良预后有价值。此外,研究还发现,随访期间 PCT、LDH 和 CRP 的增加可用于预测院内死亡,并确定需要密切随访的患者。
本文章由计算机程序翻译,如有差异,请以英文原文为准。
求助全文
约1分钟内获得全文 求助全文
来源期刊
Medical Bulletin of Sisli Etfal Hospital
Medical Bulletin of Sisli Etfal Hospital MEDICINE, GENERAL & INTERNAL-
自引率
16.70%
发文量
41
×
引用
GB/T 7714-2015
复制
MLA
复制
APA
复制
导出至
BibTeX EndNote RefMan NoteFirst NoteExpress
×
提示
您的信息不完整,为了账户安全,请先补充。
现在去补充
×
提示
您因"违规操作"
具体请查看互助需知
我知道了
×
提示
确定
请完成安全验证×
copy
已复制链接
快去分享给好友吧!
我知道了
右上角分享
点击右上角分享
0
联系我们:info@booksci.cn Book学术提供免费学术资源搜索服务,方便国内外学者检索中英文文献。致力于提供最便捷和优质的服务体验。 Copyright © 2023 布克学术 All rights reserved.
京ICP备2023020795号-1
ghs 京公网安备 11010802042870号
Book学术文献互助
Book学术文献互助群
群 号:604180095
Book学术官方微信