Consumption of poly-γ-glutamate-vitamin B6 supplement and urinary microbiota profiles in Korean healthy adults: a randomized, double-blinded, placebo-controlled intervention study.

IF 1.5 4区 医学 Q3 NUTRITION & DIETETICS
Nutrition Research and Practice Pub Date : 2024-10-01 Epub Date: 2024-07-10 DOI:10.4162/nrp.2024.18.5.663
Jungmin Park, Inkyung Baik
{"title":"Consumption of poly-γ-glutamate-vitamin B6 supplement and urinary microbiota profiles in Korean healthy adults: a randomized, double-blinded, placebo-controlled intervention study.","authors":"Jungmin Park, Inkyung Baik","doi":"10.4162/nrp.2024.18.5.663","DOIUrl":null,"url":null,"abstract":"<p><strong>Background/objectives: </strong>Poly-γ-glutamic acid (γ-PGA), a natural polymer found in fermented soybean products, has been reported to play a prebiotic role in the gut. This intervention study investigated the effects of γ-PGA-containing supplement consumption on urinary microbiota in healthy adults because of limited data on such investigation.</p><p><strong>Subjects/methods: </strong>A 4-week parallel trial including 39 male and female Korean adults, who were free of chronic diseases and infection, was designed as a randomized, double-blinded, placebo-controlled study. A total of 30 participants completed the study wherein the intervention group (n = 17) received a mixture supplement containing 600 mg/day of γ-PGA and 100 mg/day of vitamin B6, while the control group (n = 13) received a placebo. Paired datasets (baseline and endpoint data) of microbiota profiles, which were constructed via urinary assays of microbe-derived extracellular vesicles, were analyzed and compared between the two groups.</p><p><strong>Results: </strong>Only the intervention group yielded significant results for the Bray-Curtis and Jaccard dissimilarity indices between baseline and endpoint data (<i>P</i> < 0.05). In the phylum-level analysis of microbial composition, the <i>Firmicutes</i> to <i>Bacteroidetes</i> ratio (FB ratio) tended to decrease from baseline in the intervention group; however, it increased in the control group. Differences between the baseline and endpoint FB ratios were significant between the two groups (<i>P</i> < 0.05).</p><p><strong>Conclusion: </strong>This study's findings suggest that γ-PGA-vitamin B6 supplementation potentially alters the microbial community composition of a host. Further investigation into the biological consequences of commensal microbiota alteration by γ-PGA-containing supplement consumption is warranted.</p>","PeriodicalId":19232,"journal":{"name":"Nutrition Research and Practice","volume":"18 5","pages":"663-673"},"PeriodicalIF":1.5000,"publicationDate":"2024-10-01","publicationTypes":"Journal Article","fieldsOfStudy":null,"isOpenAccess":false,"openAccessPdf":"https://www.ncbi.nlm.nih.gov/pmc/articles/PMC11464283/pdf/","citationCount":"0","resultStr":null,"platform":"Semanticscholar","paperid":null,"PeriodicalName":"Nutrition Research and Practice","FirstCategoryId":"3","ListUrlMain":"https://doi.org/10.4162/nrp.2024.18.5.663","RegionNum":4,"RegionCategory":"医学","ArticlePicture":[],"TitleCN":null,"AbstractTextCN":null,"PMCID":null,"EPubDate":"2024/7/10 0:00:00","PubModel":"Epub","JCR":"Q3","JCRName":"NUTRITION & DIETETICS","Score":null,"Total":0}
引用次数: 0

Abstract

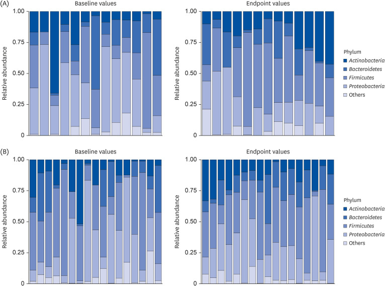
Background/objectives: Poly-γ-glutamic acid (γ-PGA), a natural polymer found in fermented soybean products, has been reported to play a prebiotic role in the gut. This intervention study investigated the effects of γ-PGA-containing supplement consumption on urinary microbiota in healthy adults because of limited data on such investigation.

Subjects/methods: A 4-week parallel trial including 39 male and female Korean adults, who were free of chronic diseases and infection, was designed as a randomized, double-blinded, placebo-controlled study. A total of 30 participants completed the study wherein the intervention group (n = 17) received a mixture supplement containing 600 mg/day of γ-PGA and 100 mg/day of vitamin B6, while the control group (n = 13) received a placebo. Paired datasets (baseline and endpoint data) of microbiota profiles, which were constructed via urinary assays of microbe-derived extracellular vesicles, were analyzed and compared between the two groups.

Results: Only the intervention group yielded significant results for the Bray-Curtis and Jaccard dissimilarity indices between baseline and endpoint data (P < 0.05). In the phylum-level analysis of microbial composition, the Firmicutes to Bacteroidetes ratio (FB ratio) tended to decrease from baseline in the intervention group; however, it increased in the control group. Differences between the baseline and endpoint FB ratios were significant between the two groups (P < 0.05).

Conclusion: This study's findings suggest that γ-PGA-vitamin B6 supplementation potentially alters the microbial community composition of a host. Further investigation into the biological consequences of commensal microbiota alteration by γ-PGA-containing supplement consumption is warranted.

Abstract Image

Abstract Image

Abstract Image

韩国健康成年人食用聚γ-谷氨酸维生素 B6 补充剂与尿液微生物群概况:一项随机、双盲、安慰剂对照干预研究。
背景/目的:聚γ-谷氨酸(γ-PGA)是一种存在于发酵大豆制品中的天然聚合物,据报道可在肠道中发挥益生元的作用。由于相关数据有限,本干预研究调查了服用含γ-PGA的补充剂对健康成年人尿液微生物群的影响:本研究设计了一项为期 4 周的平行试验,纳入了 39 名无慢性疾病和感染的韩国男性和女性成年人,作为一项随机、双盲、安慰剂对照研究。共有 30 名参与者完成了研究,其中干预组(n = 17)每天服用含 600 毫克γ-PGA 和 100 毫克维生素 B6 的混合补充剂,对照组(n = 13)服用安慰剂。通过对尿液中微生物衍生的胞外囊泡进行检测,建立了微生物群概况的配对数据集(基线和终点数据),并对两组数据进行了分析和比较:结果:只有干预组在基线数据和终点数据之间的 Bray-Curtis 和 Jaccard 差异指数上取得了显著结果(P < 0.05)。在微生物组成的门级分析中,干预组的固着菌与类杆菌之比(FB 比)从基线开始呈下降趋势,而对照组则呈上升趋势。两组的基线和终点 FB 比率差异显著(P < 0.05):本研究结果表明,补充γ-PGA-维生素 B6 有可能改变宿主的微生物群落组成。有必要进一步研究服用含γ-PGA的补充剂改变共生微生物群的生物学后果。
本文章由计算机程序翻译,如有差异,请以英文原文为准。
求助全文
约1分钟内获得全文 求助全文
来源期刊
Nutrition Research and Practice
Nutrition Research and Practice NUTRITION & DIETETICS-
CiteScore
3.50
自引率
4.20%
发文量
62
审稿时长
6-12 weeks
期刊介绍: Nutrition Research and Practice (NRP) is an official journal, jointly published by the Korean Nutrition Society and the Korean Society of Community Nutrition since 2007. The journal had been published quarterly at the initial stage and has been published bimonthly since 2010. NRP aims to stimulate research and practice across diverse areas of human nutrition. The Journal publishes peer-reviewed original manuscripts on nutrition biochemistry and metabolism, community nutrition, nutrition and disease management, nutritional epidemiology, nutrition education, foodservice management in the following categories: Original Research Articles, Notes, Communications, and Reviews. Reviews will be received by the invitation of the editors only. Statements made and opinions expressed in the manuscripts published in this Journal represent the views of authors and do not necessarily reflect the opinion of the Societies.
×
引用
GB/T 7714-2015
复制
MLA
复制
APA
复制
导出至
BibTeX EndNote RefMan NoteFirst NoteExpress
×
提示
您的信息不完整,为了账户安全,请先补充。
现在去补充
×
提示
您因"违规操作"
具体请查看互助需知
我知道了
×
提示
确定
请完成安全验证×
copy
已复制链接
快去分享给好友吧!
我知道了
右上角分享
点击右上角分享
0
联系我们:info@booksci.cn Book学术提供免费学术资源搜索服务,方便国内外学者检索中英文文献。致力于提供最便捷和优质的服务体验。 Copyright © 2023 布克学术 All rights reserved.
京ICP备2023020795号-1
ghs 京公网安备 11010802042870号
Book学术文献互助
Book学术文献互助群
群 号:604180095
Book学术官方微信