Association between overweight and central interleukin-6 in a nonclinical adult population.

IF 2 Q3 NEUROSCIENCES
Neuropsychopharmacology Reports Pub Date : 2024-12-01 Epub Date: 2024-10-14 DOI:10.1002/npr2.12488
Takako Enokida, Kotaro Hattori, Chiori Maeda, Takahiro Tomizawa, Hiroshi Kunugi
{"title":"Association between overweight and central interleukin-6 in a nonclinical adult population.","authors":"Takako Enokida, Kotaro Hattori, Chiori Maeda, Takahiro Tomizawa, Hiroshi Kunugi","doi":"10.1002/npr2.12488","DOIUrl":null,"url":null,"abstract":"<p><strong>Aim: </strong>Overweight is associated with low-grade systemic inflammation. However, its effect on neuroinflammation remains unclear. We examined the possible association between overweight and neuroinflammation using cerebrospinal fluid (CSF) in a nonclinical adult population in Japan.</p><p><strong>Methods: </strong>CSF and plasma levels of interleukin-1β (IL-1β), interleukin-6 (IL-6), tumor necrosis factor-α (TNF-α), plasma levels of C-reactive protein (CRP), and leptin were measured in nonclinical adult participants (35 males and 34 females) who had no current or past history of neuropsychiatric diseases. We performed partial correlation analyses with sex and age as covariates between the body mass index (BMI) and the inflammatory markers and compared them between overweight and nonoverweight participants.</p><p><strong>Results: </strong>The BMI significantly correlated with CSF levels of IL-6 (rs = 0.32, p = 0.009), plasma levels of CRP (rs = 0.30, p = 0.016), IL-1β (rs = 0.29, p = 0.019), IL-6 (rs = 0.25, p = 0.042), TNF-α (rs = 0.43, p < 0.001), and leptin (rs = 0.72, p < 0.001). Overweight participants (BMI ≧ 25) had significantly higher CSF levels of IL-6 (p < 0.001), plasma levels of IL-1β (p = 0.023), TNF-α (p < 0.001), and leptin (p < 0.001) than the nonoverweight participants.</p><p><strong>Conclusion: </strong>Overweight is associated with central IL-6, a marker for neuroinflammation, as well as systemic inflammation markers, even in a nonclinical population.</p>","PeriodicalId":19137,"journal":{"name":"Neuropsychopharmacology Reports","volume":" ","pages":"835-841"},"PeriodicalIF":2.0000,"publicationDate":"2024-12-01","publicationTypes":"Journal Article","fieldsOfStudy":null,"isOpenAccess":false,"openAccessPdf":"https://www.ncbi.nlm.nih.gov/pmc/articles/PMC11609746/pdf/","citationCount":"0","resultStr":null,"platform":"Semanticscholar","paperid":null,"PeriodicalName":"Neuropsychopharmacology Reports","FirstCategoryId":"1085","ListUrlMain":"https://doi.org/10.1002/npr2.12488","RegionNum":0,"RegionCategory":null,"ArticlePicture":[],"TitleCN":null,"AbstractTextCN":null,"PMCID":null,"EPubDate":"2024/10/14 0:00:00","PubModel":"Epub","JCR":"Q3","JCRName":"NEUROSCIENCES","Score":null,"Total":0}
引用次数: 0

Abstract

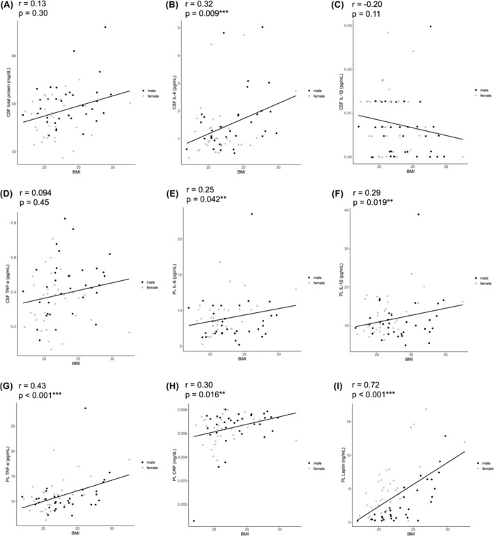
Aim: Overweight is associated with low-grade systemic inflammation. However, its effect on neuroinflammation remains unclear. We examined the possible association between overweight and neuroinflammation using cerebrospinal fluid (CSF) in a nonclinical adult population in Japan.

Methods: CSF and plasma levels of interleukin-1β (IL-1β), interleukin-6 (IL-6), tumor necrosis factor-α (TNF-α), plasma levels of C-reactive protein (CRP), and leptin were measured in nonclinical adult participants (35 males and 34 females) who had no current or past history of neuropsychiatric diseases. We performed partial correlation analyses with sex and age as covariates between the body mass index (BMI) and the inflammatory markers and compared them between overweight and nonoverweight participants.

Results: The BMI significantly correlated with CSF levels of IL-6 (rs = 0.32, p = 0.009), plasma levels of CRP (rs = 0.30, p = 0.016), IL-1β (rs = 0.29, p = 0.019), IL-6 (rs = 0.25, p = 0.042), TNF-α (rs = 0.43, p < 0.001), and leptin (rs = 0.72, p < 0.001). Overweight participants (BMI ≧ 25) had significantly higher CSF levels of IL-6 (p < 0.001), plasma levels of IL-1β (p = 0.023), TNF-α (p < 0.001), and leptin (p < 0.001) than the nonoverweight participants.

Conclusion: Overweight is associated with central IL-6, a marker for neuroinflammation, as well as systemic inflammation markers, even in a nonclinical population.

Abstract Image

Abstract Image

Abstract Image

非临床成人超重与中枢白细胞介素-6之间的关系。
目的:超重与低度全身炎症有关。然而,它对神经炎症的影响仍不清楚。我们利用日本非临床成年人群的脑脊液(CSF)研究了超重与神经炎症之间可能存在的关联:方法:我们测量了目前或过去没有神经精神疾病病史的非临床成年参与者(男性 35 人,女性 34 人)的脑脊液和血浆中白细胞介素-1β (IL-1β)、白细胞介素-6 (IL-6)、肿瘤坏死因子-α (TNF-α)、血浆中 C 反应蛋白 (CRP) 和瘦素的水平。我们对体重指数(BMI)和炎症标志物进行了部分相关分析,将性别和年龄作为协变量,并对超重和非超重参与者进行了比较:结果:体重指数与 IL-6 的 CSF 水平(rs = 0.32,p = 0.009)、CRP 的血浆水平(rs = 0.30,p = 0.016)、IL-1β(rs = 0.29,p = 0.019)、IL-6(rs = 0.25,p = 0.042)、TNF-α(rs = 0.43,p 结论:超重与中枢 IL-6 相关:即使在非临床人群中,超重也与中枢IL-6(神经炎症标志物)和全身炎症标志物有关。
本文章由计算机程序翻译,如有差异,请以英文原文为准。
求助全文
约1分钟内获得全文 求助全文
来源期刊
Neuropsychopharmacology Reports
Neuropsychopharmacology Reports Psychology-Clinical Psychology
CiteScore
3.60
自引率
4.00%
发文量
75
审稿时长
14 weeks
×
引用
GB/T 7714-2015
复制
MLA
复制
APA
复制
导出至
BibTeX EndNote RefMan NoteFirst NoteExpress
×
提示
您的信息不完整,为了账户安全,请先补充。
现在去补充
×
提示
您因"违规操作"
具体请查看互助需知
我知道了
×
提示
确定
请完成安全验证×
copy
已复制链接
快去分享给好友吧!
我知道了
右上角分享
点击右上角分享
0
联系我们:info@booksci.cn Book学术提供免费学术资源搜索服务,方便国内外学者检索中英文文献。致力于提供最便捷和优质的服务体验。 Copyright © 2023 布克学术 All rights reserved.
京ICP备2023020795号-1
ghs 京公网安备 11010802042870号
Book学术文献互助
Book学术文献互助群
群 号:604180095
Book学术官方微信