High-Flow Nasal Aerosol Therapy; Regional Aerosol Deposition and Airway Responsiveness.

IF 1.8 4区 医学 Q3 RESPIRATORY SYSTEM
Srinivasa Potla, Gerald C Smaldone
{"title":"High-Flow Nasal Aerosol Therapy; Regional Aerosol Deposition and Airway Responsiveness.","authors":"Srinivasa Potla, Gerald C Smaldone","doi":"10.1089/jamp.2024.0026","DOIUrl":null,"url":null,"abstract":"<p><p><b><i>Introduction:</i></b> In normal subjects, during tidal breathing, aerosols deposit by settling in small airways. With obstructive lung disease (OLD), collapse of airways during expiration causes turbulence and increased deposition in central airways. High-flow nasal cannula (HFNC) therapy, washing out dead space, may affect deposition mechanisms and drug delivery. This study compared aerosol deposition and airway responsiveness in OLD after traditional and HFNC nebulization therapy. <b><i>Methods:</i></b> Twelve subjects with moderate to severe OLD participated in a two-day study. Spirometry was measured pre- and post-aerosol inhalation. On Day 1 (D1) subjects tidally inhaled radiolabeled albuterol (<sup>99m</sup>Tc DTPA) by mouth via AeroTech II, (Biodex. Shirley, NY). Day 2 (D2) inhalation was via HFNC using <i>i-AIRE</i> (InspiRx, Inc. Somerset, NJ). The HFNC system (60 L/m) was infused by syringe pump at 50 mL/h. D2 lung deposition was monitored in real time by gamma camera to match D1. Pre and post heart rate, O<sub>2</sub> sat, and nasopharyngeal deposition (NP) were measured. Mechanistic contributions were modeled using multiple linear regression (MLR) of deposition rate (DR µg/m) as a function of breathing frequency, airway geometry (FEV<sub>1</sub>), and parenchymal integrity (DLCO). <b><i>Results:</i></b> Albuterol lung depositions were matched (<i>p</i> = 0.13) with D1 central/peripheral (sC/P) ratios 1.99 ± 0.98. Following HFNC, peripheral deposition increased (31% ± 33%, sC/P = 1.51 ± 0.43, <i>p</i> = 0.01). D2/D1% change FVC increased by 16.1 ± 16.7% (<i>p</i> = 0.003). NP deposition averaged 333% of lung. Heart rate and O<sub>2</sub> sat were unaffected (<i>p</i> = 0.31, <i>p</i> = 0.63 respectively). DR analysis was markedly different between D1 (<i>R</i><sup>2</sup> = 0.82) and D2 (<i>R</i><sup>2</sup> = 0.12). <b><i>Conclusion:</i></b> In subjects with OLD, HFNC nebulization at 60 L/min was well tolerated and increased peripheral drug delivery. Spirometry significantly improved. Systemic effects were undetected indicating limited nasal absorption. MLR demonstrated that different mechanisms of deposition govern traditional vs HFNC aerosol delivery. Breath-enhanced nebulization via HFNC may provide controllable and effective aerosol therapy in OLD.</p>","PeriodicalId":14940,"journal":{"name":"Journal of Aerosol Medicine and Pulmonary Drug Delivery","volume":" ","pages":"338-345"},"PeriodicalIF":1.8000,"publicationDate":"2024-12-01","publicationTypes":"Journal Article","fieldsOfStudy":null,"isOpenAccess":false,"openAccessPdf":"https://www.ncbi.nlm.nih.gov/pmc/articles/PMC11669759/pdf/","citationCount":"0","resultStr":null,"platform":"Semanticscholar","paperid":null,"PeriodicalName":"Journal of Aerosol Medicine and Pulmonary Drug Delivery","FirstCategoryId":"3","ListUrlMain":"https://doi.org/10.1089/jamp.2024.0026","RegionNum":4,"RegionCategory":"医学","ArticlePicture":[],"TitleCN":null,"AbstractTextCN":null,"PMCID":null,"EPubDate":"2024/10/22 0:00:00","PubModel":"Epub","JCR":"Q3","JCRName":"RESPIRATORY SYSTEM","Score":null,"Total":0}
引用次数: 0

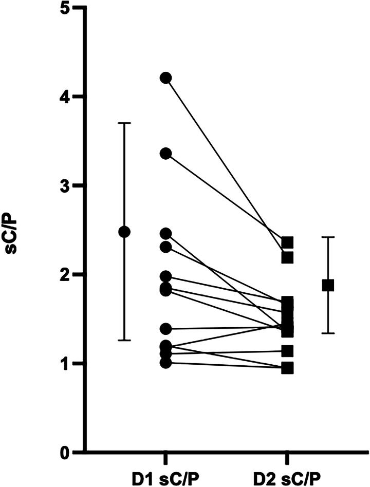
Abstract

Introduction: In normal subjects, during tidal breathing, aerosols deposit by settling in small airways. With obstructive lung disease (OLD), collapse of airways during expiration causes turbulence and increased deposition in central airways. High-flow nasal cannula (HFNC) therapy, washing out dead space, may affect deposition mechanisms and drug delivery. This study compared aerosol deposition and airway responsiveness in OLD after traditional and HFNC nebulization therapy. Methods: Twelve subjects with moderate to severe OLD participated in a two-day study. Spirometry was measured pre- and post-aerosol inhalation. On Day 1 (D1) subjects tidally inhaled radiolabeled albuterol (99mTc DTPA) by mouth via AeroTech II, (Biodex. Shirley, NY). Day 2 (D2) inhalation was via HFNC using i-AIRE (InspiRx, Inc. Somerset, NJ). The HFNC system (60 L/m) was infused by syringe pump at 50 mL/h. D2 lung deposition was monitored in real time by gamma camera to match D1. Pre and post heart rate, O2 sat, and nasopharyngeal deposition (NP) were measured. Mechanistic contributions were modeled using multiple linear regression (MLR) of deposition rate (DR µg/m) as a function of breathing frequency, airway geometry (FEV1), and parenchymal integrity (DLCO). Results: Albuterol lung depositions were matched (p = 0.13) with D1 central/peripheral (sC/P) ratios 1.99 ± 0.98. Following HFNC, peripheral deposition increased (31% ± 33%, sC/P = 1.51 ± 0.43, p = 0.01). D2/D1% change FVC increased by 16.1 ± 16.7% (p = 0.003). NP deposition averaged 333% of lung. Heart rate and O2 sat were unaffected (p = 0.31, p = 0.63 respectively). DR analysis was markedly different between D1 (R2 = 0.82) and D2 (R2 = 0.12). Conclusion: In subjects with OLD, HFNC nebulization at 60 L/min was well tolerated and increased peripheral drug delivery. Spirometry significantly improved. Systemic effects were undetected indicating limited nasal absorption. MLR demonstrated that different mechanisms of deposition govern traditional vs HFNC aerosol delivery. Breath-enhanced nebulization via HFNC may provide controllable and effective aerosol therapy in OLD.

Abstract Image

Abstract Image

Abstract Image

高流量鼻腔气溶胶疗法;区域气溶胶沉积和气道反应性。
简介正常人在潮式呼吸时,气溶胶会沉积在小气道中。患有阻塞性肺病(OLD)时,呼气时气道塌陷会导致湍流,增加在中央气道的沉积。高流量鼻插管(HFNC)疗法可冲洗死腔,可能会影响沉积机制和药物输送。本研究比较了传统和高流量鼻导管雾化疗法后 OLD 的气溶胶沉积和气道反应性。方法:12 名中重度 OLD 患者参加了为期两天的研究。在雾化吸入前后测量肺活量。第 1 天(D1),受试者通过 AeroTech II(Biodex.Shirley, NY)口服吸入放射性标记的阿布特罗(99m锝 DTPA)。第 2 天(D2)通过使用 i-AIRE 的 HFNC(InspiRx, Inc.)HFNC 系统(60 升/米)由注射泵以 50 毫升/小时的速度注入。通过伽马相机实时监测 D2 肺沉积,以与 D1 相匹配。测量前后的心率、氧气饱和度和鼻咽沉积物(NP)。使用沉积率(DR µg/m)作为呼吸频率、气道几何形状(FEV1)和实质组织完整性(DLCO)的函数的多元线性回归(MLR)对机理贡献进行建模。结果:阿布特罗肺部沉积物与 D1 中心/外周(sC/P)比值为 1.99 ± 0.98,两者相匹配(p = 0.13)。HFNC 后,外周沉积增加(31% ± 33%,sC/P = 1.51 ± 0.43,p = 0.01)。D2/D1% 变化 FVC 增加了 16.1 ± 16.7%(p = 0.003)。NP 沉积平均占肺的 333%。心率和氧饱和度未受影响(分别为 p = 0.31 和 p = 0.63)。DR 分析在 D1(R2 = 0.82)和 D2(R2 = 0.12)之间存在明显差异。结论对于 OLD 受试者,60 升/分钟的 HFNC 雾化治疗耐受性良好,并能增加外周给药量。肺活量明显改善。未发现全身效应,表明鼻腔吸收有限。MLR 表明,传统雾化给药与 HFNC 雾化给药的沉积机制不同。通过 HFNC 进行呼吸增强雾化可为 OLD 提供可控、有效的气溶胶治疗。
本文章由计算机程序翻译,如有差异,请以英文原文为准。
求助全文
约1分钟内获得全文 求助全文
来源期刊
CiteScore
6.70
自引率
2.90%
发文量
34
审稿时长
>12 weeks
期刊介绍: Journal of Aerosol Medicine and Pulmonary Drug Delivery is the only peer-reviewed journal delivering innovative, authoritative coverage of the health effects of inhaled aerosols and delivery of drugs through the pulmonary system. The Journal is a forum for leading experts, addressing novel topics such as aerosolized chemotherapy, aerosolized vaccines, methods to determine toxicities, and delivery of aerosolized drugs in the intubated patient. Journal of Aerosol Medicine and Pulmonary Drug Delivery coverage includes: Pulmonary drug delivery Airway reactivity and asthma treatment Inhalation of particles and gases in the respiratory tract Toxic effects of inhaled agents Aerosols as tools for studying basic physiologic phenomena.
×
引用
GB/T 7714-2015
复制
MLA
复制
APA
复制
导出至
BibTeX EndNote RefMan NoteFirst NoteExpress
×
提示
您的信息不完整,为了账户安全,请先补充。
现在去补充
×
提示
您因"违规操作"
具体请查看互助需知
我知道了
×
提示
确定
请完成安全验证×
copy
已复制链接
快去分享给好友吧!
我知道了
右上角分享
点击右上角分享
0
联系我们:info@booksci.cn Book学术提供免费学术资源搜索服务,方便国内外学者检索中英文文献。致力于提供最便捷和优质的服务体验。 Copyright © 2023 布克学术 All rights reserved.
京ICP备2023020795号-1
ghs 京公网安备 11010802042870号
Book学术文献互助
Book学术文献互助群
群 号:604180095
Book学术官方微信