Technology for helping people with neuromotor, intellectual, and speech disabilities engage in leisure and communication activities: a proof-of-concept study.

IF 1.3 4区 医学 Q3 REHABILITATION
Giulio E Lancioni, Jorge Navarro, Antonella Mellino, Elena Bortolozzi, Nirbhay N Singh, Mark F O'Reilly, Jeff Sigafoos, Gloria Alberti
{"title":"Technology for helping people with neuromotor, intellectual, and speech disabilities engage in leisure and communication activities: a proof-of-concept study.","authors":"Giulio E Lancioni, Jorge Navarro, Antonella Mellino, Elena Bortolozzi, Nirbhay N Singh, Mark F O'Reilly, Jeff Sigafoos, Gloria Alberti","doi":"10.1097/MRR.0000000000000649","DOIUrl":null,"url":null,"abstract":"<p><p>We extended the assessment of our recently developed technology to help people with neuromotor, intellectual, and speech disabilities access (listen to) music, communicate with distant partners, and answer questions. The technology included a tablet (1) fitted with an Internet connection, a SIM card, WhatsApp Messenger, and MacroDroid application, and (2) interfaced with different pairs of response sensors. Six participants were included in the study, which was carried out according to a nonconcurrent multiple baseline design across participants. During the baseline phase (5-8 sessions carried out over 1-2 weeks), participants were unable to access music, make video calls, or answer questions using a regular tablet. During the intervention phase (50-102 sessions carried out with the technology over 2-4 months), however, they activated means of 4.7-7.6 songs and 0.4-3.6 video calls per session. Moreover, they answered correctly a mean of 69-96% of the questions presented to them. These results suggest that our technology solution is a viable and potentially valuable resource for people with extensive disabilities.</p>","PeriodicalId":14301,"journal":{"name":"International Journal of Rehabilitation Research","volume":" ","pages":"282-286"},"PeriodicalIF":1.3000,"publicationDate":"2024-12-01","publicationTypes":"Journal Article","fieldsOfStudy":null,"isOpenAccess":false,"openAccessPdf":"https://www.ncbi.nlm.nih.gov/pmc/articles/PMC11520330/pdf/","citationCount":"0","resultStr":null,"platform":"Semanticscholar","paperid":null,"PeriodicalName":"International Journal of Rehabilitation Research","FirstCategoryId":"3","ListUrlMain":"https://doi.org/10.1097/MRR.0000000000000649","RegionNum":4,"RegionCategory":"医学","ArticlePicture":[],"TitleCN":null,"AbstractTextCN":null,"PMCID":null,"EPubDate":"2024/10/18 0:00:00","PubModel":"Epub","JCR":"Q3","JCRName":"REHABILITATION","Score":null,"Total":0}
引用次数: 0

Abstract

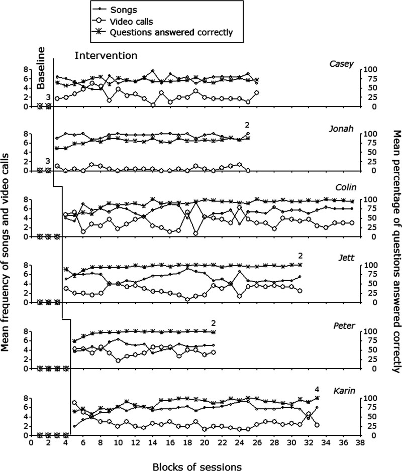
We extended the assessment of our recently developed technology to help people with neuromotor, intellectual, and speech disabilities access (listen to) music, communicate with distant partners, and answer questions. The technology included a tablet (1) fitted with an Internet connection, a SIM card, WhatsApp Messenger, and MacroDroid application, and (2) interfaced with different pairs of response sensors. Six participants were included in the study, which was carried out according to a nonconcurrent multiple baseline design across participants. During the baseline phase (5-8 sessions carried out over 1-2 weeks), participants were unable to access music, make video calls, or answer questions using a regular tablet. During the intervention phase (50-102 sessions carried out with the technology over 2-4 months), however, they activated means of 4.7-7.6 songs and 0.4-3.6 video calls per session. Moreover, they answered correctly a mean of 69-96% of the questions presented to them. These results suggest that our technology solution is a viable and potentially valuable resource for people with extensive disabilities.

Abstract Image

Abstract Image

帮助神经运动、智力和语言残疾人参与休闲和交流活动的技术:概念验证研究。
我们对最近开发的技术进行了扩展评估,以帮助神经运动、智力和语言残障人士获取(聆听)音乐、与远方的伙伴交流并回答问题。该技术包括一台平板电脑,(1) 装有互联网连接、SIM 卡、WhatsApp Messenger 和 MacroDroid 应用程序,(2) 与不同的反应传感器配对连接。共有六名参与者参与了这项研究,研究采用了跨参与者的非并行多重基线设计。在基线阶段(1-2 周内进行 5-8 次训练),参与者无法使用普通平板电脑播放音乐、进行视频通话或回答问题。然而,在干预阶段(在 2-4 个月内使用该技术进行 50-102 次训练),他们每次平均能激活 4.7-7.6 首歌曲和 0.4-3.6 次视频通话。此外,他们平均正确回答了 69-96% 的问题。这些结果表明,我们的技术解决方案对于有广泛残疾的人来说是一种可行的、有潜在价值的资源。
本文章由计算机程序翻译,如有差异,请以英文原文为准。
求助全文
约1分钟内获得全文 求助全文
来源期刊
CiteScore
3.10
自引率
0.00%
发文量
88
审稿时长
6-12 weeks
期刊介绍: International Journal of Rehabilitation Research is a quarterly, peer-reviewed, interdisciplinary forum for the publication of research into functioning, disability and contextual factors experienced by persons of all ages in both developed and developing societies. The wealth of information offered makes the journal a valuable resource for researchers, practitioners, and administrators in such fields as rehabilitation medicine, outcome measurement nursing, social and vocational rehabilitation/case management, return to work, special education, social policy, social work and social welfare, sociology, psychology, psychiatry assistive technology and environmental factors/disability. Areas of interest include functioning and disablement throughout the life cycle; rehabilitation programmes for persons with physical, sensory, mental and developmental disabilities; measurement of functioning and disability; special education and vocational rehabilitation; equipment access and transportation; information technology; independent living; consumer, legal, economic and sociopolitical aspects of functioning, disability and contextual factors.
×
引用
GB/T 7714-2015
复制
MLA
复制
APA
复制
导出至
BibTeX EndNote RefMan NoteFirst NoteExpress
×
提示
您的信息不完整,为了账户安全,请先补充。
现在去补充
×
提示
您因"违规操作"
具体请查看互助需知
我知道了
×
提示
确定
请完成安全验证×
copy
已复制链接
快去分享给好友吧!
我知道了
右上角分享
点击右上角分享
0
联系我们:info@booksci.cn Book学术提供免费学术资源搜索服务,方便国内外学者检索中英文文献。致力于提供最便捷和优质的服务体验。 Copyright © 2023 布克学术 All rights reserved.
京ICP备2023020795号-1
ghs 京公网安备 11010802042870号
Book学术文献互助
Book学术文献互助群
群 号:604180095
Book学术官方微信