Diet acts on sexual behavior development in a male moth.

IF 3 1区 农林科学 Q1 ENTOMOLOGY
Insect Science Pub Date : 2025-08-01 Epub Date: 2024-10-14 DOI:10.1111/1744-7917.13457
Evan Force, Caroline Suray, Christelle Monsempes, Chloé Danis, Gabrielle Bonfils, Stéphane Debernard, Matthieu Dacher
{"title":"Diet acts on sexual behavior development in a male moth.","authors":"Evan Force, Caroline Suray, Christelle Monsempes, Chloé Danis, Gabrielle Bonfils, Stéphane Debernard, Matthieu Dacher","doi":"10.1111/1744-7917.13457","DOIUrl":null,"url":null,"abstract":"<p><p>In many animals, drastic changes are observed during sexual maturation characterized by the reproductive system development concomitantly to the sexual behavior ontogenesis. These modifications are under the control of internal and external factors such as food. Sexual maturation requires considerable energetic investment, and diet has been shown to affect reproductive activities in many taxonomic groups, especially in insects and vertebrates. By contrast, diet effects on sexual behavior development remain largely unexplored. To elucidate this aspect, we used the male moth Agrotis ipsilon which undergoes sexual maturation occurring between the third and the fifth day postemergence. During this period, males are sensitive to female sex pheromones and a stereotypical sexual behavior characterized by female-oriented flight takes place. In our study, we compared (1) sex pheromone detection by electroantennography recordings and (2) behavioral response in wind tunnel assays between males fed with different diets found in nature. Compared to standard sucrose diet, males fed with sucrose, fructose, and glucose supplemented with sodium (a mineral element necessary for the locomotor activity in several moths) did not respond better to female sex pheromones but clearly exhibited an earlier behavioral response. Thus, such a diet accelerates the development of sex pheromone-mediated oriented flight, probably by facilitating the central processing of sex pheromone information in male A. ipsilon moths. Our results provide new information on the influence of nutritional intake on the ontogenesis of male sexual behavior in animals.</p>","PeriodicalId":13618,"journal":{"name":"Insect Science","volume":" ","pages":"1439-1452"},"PeriodicalIF":3.0000,"publicationDate":"2025-08-01","publicationTypes":"Journal Article","fieldsOfStudy":null,"isOpenAccess":false,"openAccessPdf":"https://www.ncbi.nlm.nih.gov/pmc/articles/PMC12369456/pdf/","citationCount":"0","resultStr":null,"platform":"Semanticscholar","paperid":null,"PeriodicalName":"Insect Science","FirstCategoryId":"97","ListUrlMain":"https://doi.org/10.1111/1744-7917.13457","RegionNum":1,"RegionCategory":"农林科学","ArticlePicture":[],"TitleCN":null,"AbstractTextCN":null,"PMCID":null,"EPubDate":"2024/10/14 0:00:00","PubModel":"Epub","JCR":"Q1","JCRName":"ENTOMOLOGY","Score":null,"Total":0}
引用次数: 0

Abstract

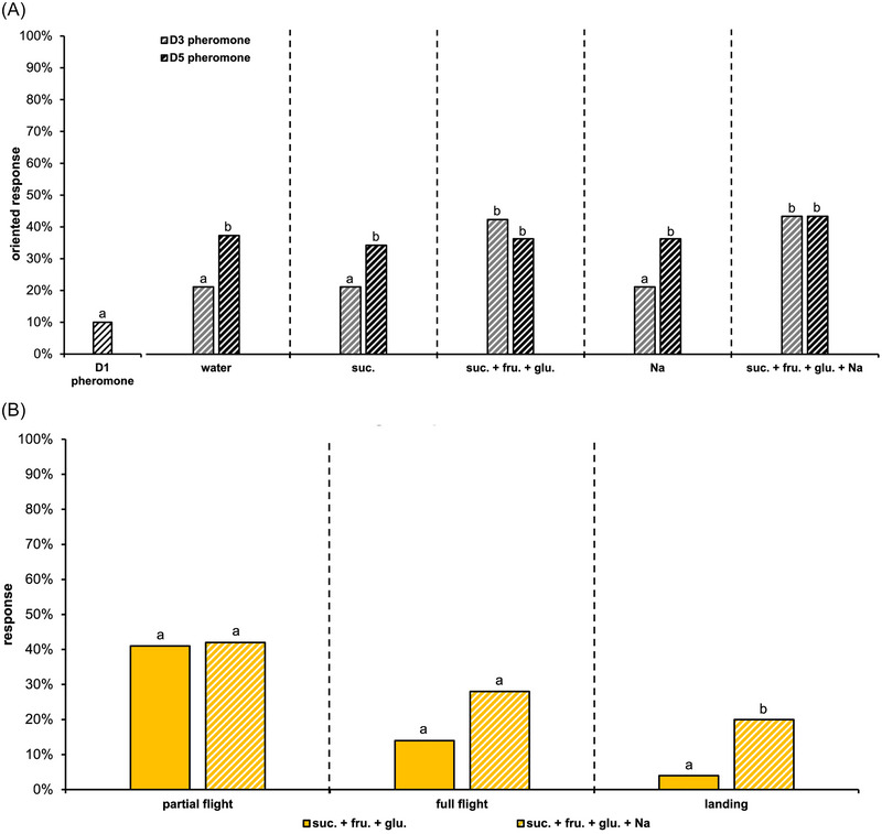
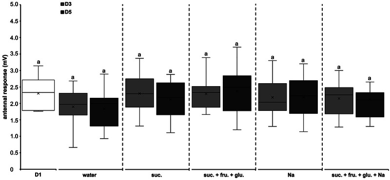
In many animals, drastic changes are observed during sexual maturation characterized by the reproductive system development concomitantly to the sexual behavior ontogenesis. These modifications are under the control of internal and external factors such as food. Sexual maturation requires considerable energetic investment, and diet has been shown to affect reproductive activities in many taxonomic groups, especially in insects and vertebrates. By contrast, diet effects on sexual behavior development remain largely unexplored. To elucidate this aspect, we used the male moth Agrotis ipsilon which undergoes sexual maturation occurring between the third and the fifth day postemergence. During this period, males are sensitive to female sex pheromones and a stereotypical sexual behavior characterized by female-oriented flight takes place. In our study, we compared (1) sex pheromone detection by electroantennography recordings and (2) behavioral response in wind tunnel assays between males fed with different diets found in nature. Compared to standard sucrose diet, males fed with sucrose, fructose, and glucose supplemented with sodium (a mineral element necessary for the locomotor activity in several moths) did not respond better to female sex pheromones but clearly exhibited an earlier behavioral response. Thus, such a diet accelerates the development of sex pheromone-mediated oriented flight, probably by facilitating the central processing of sex pheromone information in male A. ipsilon moths. Our results provide new information on the influence of nutritional intake on the ontogenesis of male sexual behavior in animals.

Abstract Image

Abstract Image

Abstract Image

饮食对雄蛾性行为发展的影响
在许多动物的性成熟过程中,都会观察到生殖系统发育与性行为发生同步进行的剧烈变化。这些变化受食物等内外因素的控制。性成熟需要大量的能量投入,在许多分类群中,尤其是在昆虫和脊椎动物中,饮食已被证明会影响生殖活动。相比之下,饮食对性行为发展的影响在很大程度上仍未得到探讨。为了阐明这方面的问题,我们使用了雄蛾 Agrotis ipsilon。在这一时期,雄蛾对雌蛾的性信息素很敏感,并出现了以趋向雌蛾飞行为特征的刻板性行为。在我们的研究中,我们比较了(1)用电听记录对性信息素的检测;(2)用自然界中不同食物喂养的雄虫在风洞试验中的行为反应。与标准蔗糖食物相比,喂食蔗糖、果糖和葡萄糖并添加钠(几种蛾子运动所需的矿物质元素)的雄蛾对雌蛾性信息素的反应并没有更好,但明显表现出更早的行为反应。因此,这种饮食可能通过促进雄性 A. ipsilon 飞蛾对性信息素信息的中枢处理,加速了性信息素介导的定向飞行的发展。我们的研究结果为营养摄入对动物雄性性行为发生的影响提供了新的信息。
本文章由计算机程序翻译,如有差异,请以英文原文为准。
求助全文
约1分钟内获得全文 求助全文
来源期刊
Insect Science
Insect Science 生物-昆虫学
CiteScore
7.80
自引率
5.00%
发文量
1379
审稿时长
6.0 months
期刊介绍: Insect Science is an English-language journal, which publishes original research articles dealing with all fields of research in into insects and other terrestrial arthropods. Papers in any of the following fields will be considered: ecology, behavior, biogeography, physiology, biochemistry, sociobiology, phylogeny, pest management, and exotic incursions. The emphasis of the journal is on the adaptation and evolutionary biology of insects from the molecular to the ecosystem level. Reviews, mini reviews and letters to the editor, book reviews, and information about academic activities of the society are also published.
×
引用
GB/T 7714-2015
复制
MLA
复制
APA
复制
导出至
BibTeX EndNote RefMan NoteFirst NoteExpress
×
提示
您的信息不完整,为了账户安全,请先补充。
现在去补充
×
提示
您因"违规操作"
具体请查看互助需知
我知道了
×
提示
确定
请完成安全验证×
copy
已复制链接
快去分享给好友吧!
我知道了
右上角分享
点击右上角分享
0
联系我们:info@booksci.cn Book学术提供免费学术资源搜索服务,方便国内外学者检索中英文文献。致力于提供最便捷和优质的服务体验。 Copyright © 2023 布克学术 All rights reserved.
京ICP备2023020795号-1
ghs 京公网安备 11010802042870号
Book学术文献互助
Book学术文献互助群
群 号:604180095
Book学术官方微信