Fecal microbiota transplantation in a patient with chronic diarrhea and primary and secondary immunodeficiency (common variable immunodeficiency and splenectomy).

IF 4.8 2区 医学 Q2 IMMUNOLOGY
Frontiers in Cellular and Infection Microbiology Pub Date : 2024-09-30 eCollection Date: 2024-01-01 DOI:10.3389/fcimb.2024.1456672
Katarzyna Napiórkowska-Baran, Jarosław Biliński, Małgorzata Pujanek, Paweł Hałakuc, Antoni Pietryga, Bartłomiej Szymczak, Aleksander Deptuła, Tomasz Rosada, Zbigniew Bartuzi
{"title":"Fecal microbiota transplantation in a patient with chronic diarrhea and primary and secondary immunodeficiency (common variable immunodeficiency and splenectomy).","authors":"Katarzyna Napiórkowska-Baran, Jarosław Biliński, Małgorzata Pujanek, Paweł Hałakuc, Antoni Pietryga, Bartłomiej Szymczak, Aleksander Deptuła, Tomasz Rosada, Zbigniew Bartuzi","doi":"10.3389/fcimb.2024.1456672","DOIUrl":null,"url":null,"abstract":"<p><p>The gut microbiota serves a crucial role in the development of host immunity. Immunocompromised patients are particularly vulnerable to dysbiosis not only by virtue of a defect in the immune system but also due to increased susceptibility to infection and multiple courses of antibiotic therapy. Fecal microbiota transplantation is by far the most effective option for restoring gastrointestinal homeostasis. However, it is contraindicated in patients with significant primary and secondary immunodeficiencies. This article presents the case of a 59-year-old patient with common variable immunodeficiency, after splenectomy at age 39 for primary immune thrombocytopenia, who manifested diarrhea of up to 10 stools per day accompanied by secondary malnutrition and cachexia. The patient was admitted to the hospital on multiple occasions due to this condition, with stool PCR tests confirming a HHV-5 (<i>Cytomegalovirus</i>, CMV) infection. Following the administration of valganciclovir, the patient's complaints diminished, although, upon cessation of the drug, the symptoms recurred. In addition, the patient had an intestinal infection with <i>C. difficile</i> etiology. Given that the patient's therapeutic options had been exhausted, after obtaining informed consent from the patient and approval from the bioethics committee to conduct a medical experiment, treatment of diarrhea was undertaken by fecal microbiota transplantation with the certified preparation Mbiotix HBI from the Human Biome Institute. The patient underwent two transplants, with a one-week interval between them. The initial procedure was performed using the endoscopic method, while the subsequent was conducted using the capsule method. Following the administration of the applied treatment, the patient's symptoms were successfully alleviated, and no adverse effects were observed. A microbiological analysis of the intestinal microbiota was conducted prior to and following transplantation via next-generation sequencing (NGS). No recurrence of symptoms was observed during the two-year follow-up period. To the best of our knowledge, this is the first fecal microbiota transplantation in an adult patient with primary and secondary immunodeficiency.</p>","PeriodicalId":12458,"journal":{"name":"Frontiers in Cellular and Infection Microbiology","volume":"14 ","pages":"1456672"},"PeriodicalIF":4.8000,"publicationDate":"2024-09-30","publicationTypes":"Journal Article","fieldsOfStudy":null,"isOpenAccess":false,"openAccessPdf":"https://www.ncbi.nlm.nih.gov/pmc/articles/PMC11472351/pdf/","citationCount":"0","resultStr":null,"platform":"Semanticscholar","paperid":null,"PeriodicalName":"Frontiers in Cellular and Infection Microbiology","FirstCategoryId":"3","ListUrlMain":"https://doi.org/10.3389/fcimb.2024.1456672","RegionNum":2,"RegionCategory":"医学","ArticlePicture":[],"TitleCN":null,"AbstractTextCN":null,"PMCID":null,"EPubDate":"2024/1/1 0:00:00","PubModel":"eCollection","JCR":"Q2","JCRName":"IMMUNOLOGY","Score":null,"Total":0}
引用次数: 0

Abstract

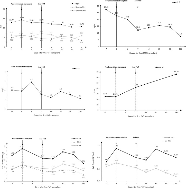
The gut microbiota serves a crucial role in the development of host immunity. Immunocompromised patients are particularly vulnerable to dysbiosis not only by virtue of a defect in the immune system but also due to increased susceptibility to infection and multiple courses of antibiotic therapy. Fecal microbiota transplantation is by far the most effective option for restoring gastrointestinal homeostasis. However, it is contraindicated in patients with significant primary and secondary immunodeficiencies. This article presents the case of a 59-year-old patient with common variable immunodeficiency, after splenectomy at age 39 for primary immune thrombocytopenia, who manifested diarrhea of up to 10 stools per day accompanied by secondary malnutrition and cachexia. The patient was admitted to the hospital on multiple occasions due to this condition, with stool PCR tests confirming a HHV-5 (Cytomegalovirus, CMV) infection. Following the administration of valganciclovir, the patient's complaints diminished, although, upon cessation of the drug, the symptoms recurred. In addition, the patient had an intestinal infection with C. difficile etiology. Given that the patient's therapeutic options had been exhausted, after obtaining informed consent from the patient and approval from the bioethics committee to conduct a medical experiment, treatment of diarrhea was undertaken by fecal microbiota transplantation with the certified preparation Mbiotix HBI from the Human Biome Institute. The patient underwent two transplants, with a one-week interval between them. The initial procedure was performed using the endoscopic method, while the subsequent was conducted using the capsule method. Following the administration of the applied treatment, the patient's symptoms were successfully alleviated, and no adverse effects were observed. A microbiological analysis of the intestinal microbiota was conducted prior to and following transplantation via next-generation sequencing (NGS). No recurrence of symptoms was observed during the two-year follow-up period. To the best of our knowledge, this is the first fecal microbiota transplantation in an adult patient with primary and secondary immunodeficiency.

Abstract Image

Abstract Image

Abstract Image

为一名患有慢性腹泻、原发性和继发性免疫缺陷症(常见变异性免疫缺陷症和脾切除术)的患者进行粪便微生物群移植。
肠道微生物群对宿主免疫力的发展起着至关重要的作用。免疫力低下的病人特别容易受到菌群失调的影响,这不仅是因为免疫系统存在缺陷,还因为他们更容易受到感染和多次接受抗生素治疗。粪便微生物群移植是目前恢复胃肠道平衡最有效的方法。然而,对于存在严重原发性和继发性免疫缺陷的患者来说,这种方法是禁忌的。本文介绍了一例 59 岁的常见变异性免疫缺陷患者的病例,该患者在 39 岁时因原发性免疫血小板减少症接受了脾脏切除术,表现为每天腹泻多达 10 次,并伴有继发性营养不良和恶病质。患者因此多次入院,大便 PCR 检测证实感染了 HHV-5(巨细胞病毒,CMV)。服用缬更昔洛韦后,患者的症状有所减轻,但停药后症状又复发了。此外,患者还患有艰难梭菌肠道感染。鉴于患者的治疗方案已经用尽,在征得患者知情同意和生物伦理委员会批准进行医学实验后,采用人类生物群研究所的认证制剂 Mbiotix HBI 进行粪便微生物群移植治疗腹泻。患者接受了两次移植,两次移植间隔一周。首次移植采用内窥镜方法,随后的移植采用胶囊方法。在进行了应用治疗后,患者的症状得到了成功缓解,也没有发现任何不良反应。在移植前和移植后,通过新一代测序(NGS)对肠道微生物群进行了微生物分析。在两年的随访期间,没有发现症状复发。据我们所知,这是首次为原发性和继发性免疫缺陷成年患者进行粪便微生物群移植。
本文章由计算机程序翻译,如有差异,请以英文原文为准。
求助全文
约1分钟内获得全文 求助全文
来源期刊
CiteScore
7.90
自引率
7.00%
发文量
1817
审稿时长
14 weeks
期刊介绍: Frontiers in Cellular and Infection Microbiology is a leading specialty journal, publishing rigorously peer-reviewed research across all pathogenic microorganisms and their interaction with their hosts. Chief Editor Yousef Abu Kwaik, University of Louisville is supported by an outstanding Editorial Board of international experts. This multidisciplinary open-access journal is at the forefront of disseminating and communicating scientific knowledge and impactful discoveries to researchers, academics, clinicians and the public worldwide. Frontiers in Cellular and Infection Microbiology includes research on bacteria, fungi, parasites, viruses, endosymbionts, prions and all microbial pathogens as well as the microbiota and its effect on health and disease in various hosts. The research approaches include molecular microbiology, cellular microbiology, gene regulation, proteomics, signal transduction, pathogenic evolution, genomics, structural biology, and virulence factors as well as model hosts. Areas of research to counteract infectious agents by the host include the host innate and adaptive immune responses as well as metabolic restrictions to various pathogenic microorganisms, vaccine design and development against various pathogenic microorganisms, and the mechanisms of antibiotic resistance and its countermeasures.
×
引用
GB/T 7714-2015
复制
MLA
复制
APA
复制
导出至
BibTeX EndNote RefMan NoteFirst NoteExpress
×
提示
您的信息不完整,为了账户安全,请先补充。
现在去补充
×
提示
您因"违规操作"
具体请查看互助需知
我知道了
×
提示
确定
请完成安全验证×
copy
已复制链接
快去分享给好友吧!
我知道了
右上角分享
点击右上角分享
0
联系我们:info@booksci.cn Book学术提供免费学术资源搜索服务,方便国内外学者检索中英文文献。致力于提供最便捷和优质的服务体验。 Copyright © 2023 布克学术 All rights reserved.
京ICP备2023020795号-1
ghs 京公网安备 11010802042870号
Book学术文献互助
Book学术文献互助群
群 号:604180095
Book学术官方微信