Association of polychlorinated biphenyls with vitamin D among rural Chinese adults with normal glycaemia and type 2 diabetes mellitus.

IF 5.3 2区 环境科学与生态学 Q1 ENVIRONMENTAL SCIENCES
Rui Zhang, Dandan Wei, Keliang Fan, Lulu Wang, Yu Song, Wenqian Huo, Qingqing Xu, Huadong Ni
{"title":"Association of polychlorinated biphenyls with vitamin D among rural Chinese adults with normal glycaemia and type 2 diabetes mellitus.","authors":"Rui Zhang, Dandan Wei, Keliang Fan, Lulu Wang, Yu Song, Wenqian Huo, Qingqing Xu, Huadong Ni","doi":"10.1186/s12940-024-01130-x","DOIUrl":null,"url":null,"abstract":"<p><strong>Background: </strong>Endocrine function in patients with type 2 diabetes (T2DM) typically differs from those with normal glucose tolerance (NGT). However, few epidemiologic studies have explored how these differences impact the association between exposure to polychlorinated biphenyls (PCBs) and vitamin D levels.</p><p><strong>Methods: </strong>This study included 1,705 subjects aged 18-79 years from the Henan Rural Cohort [887 NGT and 818 T2DM]. Linear regression was applied to evaluate the associations between PCB exposure and vitamin D levels. Quantile g-computation regression (QG) and Bayesian kernel machine regression (BKMR) were applied to evaluate the impact of PCB mixtures on vitamin D levels. Interaction effects of ΣPCBs with HOMA2-%β and HOMA2-IR on vitamin D levels were assessed.</p><p><strong>Results: </strong>Plasma ΣPCBs was positively associated with 25(OH)D2 in the NGT group (β = 0.060, 95% CI: 0.028, 0.092). Conversely, in T2DM group, ΣPCBs was negatively associated with 25(OH)D3 and 25(OH)D (β = -0.049, 95% CI: -0.072, -0.026; β = -0.043, 95% CI: -0.063, -0.023). Similarly, both QG and BKMR analysis revealed a negative association between PCB mixture exposure and vitamin D levels in the T2DM group, contrary to the results observed in the NGT groups. Furthermore, the negative association of ΣPCBs with 25(OH)D2 and 25(OH)D disappeared or changed to a positive association with the increase of HOMA2-%β levels.</p><p><strong>Conclusions: </strong>These findings suggest that decreased β cell function may exacerbate the negative effects of PCB exposure on vitamin D levels. Recognizing T2DM patients' sensitivity to PCBs is vital for protecting chronic disease health.</p>","PeriodicalId":11686,"journal":{"name":"Environmental Health","volume":"23 1","pages":"86"},"PeriodicalIF":5.3000,"publicationDate":"2024-10-17","publicationTypes":"Journal Article","fieldsOfStudy":null,"isOpenAccess":false,"openAccessPdf":"https://www.ncbi.nlm.nih.gov/pmc/articles/PMC11484225/pdf/","citationCount":"0","resultStr":null,"platform":"Semanticscholar","paperid":null,"PeriodicalName":"Environmental Health","FirstCategoryId":"93","ListUrlMain":"https://doi.org/10.1186/s12940-024-01130-x","RegionNum":2,"RegionCategory":"环境科学与生态学","ArticlePicture":[],"TitleCN":null,"AbstractTextCN":null,"PMCID":null,"EPubDate":"","PubModel":"","JCR":"Q1","JCRName":"ENVIRONMENTAL SCIENCES","Score":null,"Total":0}
引用次数: 0

Abstract

Background: Endocrine function in patients with type 2 diabetes (T2DM) typically differs from those with normal glucose tolerance (NGT). However, few epidemiologic studies have explored how these differences impact the association between exposure to polychlorinated biphenyls (PCBs) and vitamin D levels.

Methods: This study included 1,705 subjects aged 18-79 years from the Henan Rural Cohort [887 NGT and 818 T2DM]. Linear regression was applied to evaluate the associations between PCB exposure and vitamin D levels. Quantile g-computation regression (QG) and Bayesian kernel machine regression (BKMR) were applied to evaluate the impact of PCB mixtures on vitamin D levels. Interaction effects of ΣPCBs with HOMA2-%β and HOMA2-IR on vitamin D levels were assessed.

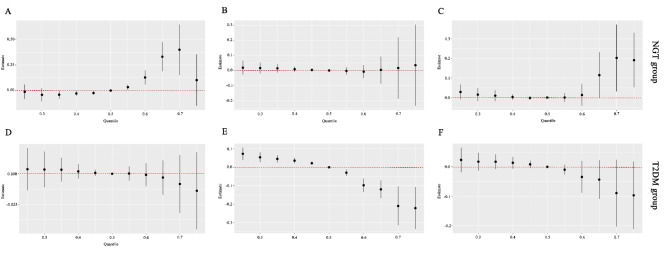
Results: Plasma ΣPCBs was positively associated with 25(OH)D2 in the NGT group (β = 0.060, 95% CI: 0.028, 0.092). Conversely, in T2DM group, ΣPCBs was negatively associated with 25(OH)D3 and 25(OH)D (β = -0.049, 95% CI: -0.072, -0.026; β = -0.043, 95% CI: -0.063, -0.023). Similarly, both QG and BKMR analysis revealed a negative association between PCB mixture exposure and vitamin D levels in the T2DM group, contrary to the results observed in the NGT groups. Furthermore, the negative association of ΣPCBs with 25(OH)D2 and 25(OH)D disappeared or changed to a positive association with the increase of HOMA2-%β levels.

Conclusions: These findings suggest that decreased β cell function may exacerbate the negative effects of PCB exposure on vitamin D levels. Recognizing T2DM patients' sensitivity to PCBs is vital for protecting chronic disease health.

Abstract Image

Abstract Image

Abstract Image

血糖正常和 2 型糖尿病的中国农村成年人体内多氯联苯与维生素 D 的关系。
背景:2 型糖尿病(T2DM)患者的内分泌功能通常不同于正常糖耐量(NGT)患者。然而,很少有流行病学研究探讨这些差异如何影响多氯联苯(PCBs)暴露与维生素 D 水平之间的关联:本研究纳入了河南省农村队列中 18-79 岁的 1 705 名受试者 [887 名 NGT 和 818 名 T2DM]。采用线性回归评估多氯联苯暴露与维生素 D 水平之间的关系。定量 g 计算回归(QG)和贝叶斯核机器回归(BKMR)用于评估多氯联苯混合物对维生素 D 水平的影响。评估了 ΣPCBs 与 HOMA2-%β 和 HOMA2-IR 对维生素 D 水平的交互作用:结果:在 NGT 组中,血浆 ΣPCBs 与 25(OH)D2 呈正相关(β = 0.060,95% CI:0.028,0.092)。相反,在 T2DM 组中,ΣPCBs 与 25(OH)D3 和 25(OH)D 呈负相关(β = -0.049,95% CI:-0.072,-0.026;β = -0.043,95% CI:-0.063,-0.023)。同样,QG 和 BKMR 分析表明,在 T2DM 组中,多氯联苯混合物暴露与维生素 D 水平呈负相关,这与在 NGT 组中观察到的结果相反。此外,ΣPCB 与 25(OH)D2 和 25(OH)D 的负相关消失,或随着 HOMA2-%β 水平的增加而转变为正相关:这些研究结果表明,β 细胞功能下降可能会加剧多氯联苯暴露对维生素 D 水平的负面影响。认识到 T2DM 患者对多氯联苯的敏感性对于保护慢性疾病患者的健康至关重要。
本文章由计算机程序翻译,如有差异,请以英文原文为准。
求助全文
约1分钟内获得全文 求助全文
来源期刊
Environmental Health
Environmental Health 环境科学-公共卫生、环境卫生与职业卫生
CiteScore
10.10
自引率
1.70%
发文量
115
审稿时长
3.0 months
期刊介绍: Environmental Health publishes manuscripts on all aspects of environmental and occupational medicine and related studies in toxicology and epidemiology. Environmental Health is aimed at scientists and practitioners in all areas of environmental science where human health and well-being are involved, either directly or indirectly. Environmental Health is a public health journal serving the public health community and scientists working on matters of public health interest and importance pertaining to the environment.
×
引用
GB/T 7714-2015
复制
MLA
复制
APA
复制
导出至
BibTeX EndNote RefMan NoteFirst NoteExpress
×
提示
您的信息不完整,为了账户安全,请先补充。
现在去补充
×
提示
您因"违规操作"
具体请查看互助需知
我知道了
×
提示
确定
请完成安全验证×
copy
已复制链接
快去分享给好友吧!
我知道了
右上角分享
点击右上角分享
0
联系我们:info@booksci.cn Book学术提供免费学术资源搜索服务,方便国内外学者检索中英文文献。致力于提供最便捷和优质的服务体验。 Copyright © 2023 布克学术 All rights reserved.
京ICP备2023020795号-1
ghs 京公网安备 11010802042870号
Book学术文献互助
Book学术文献互助群
群 号:604180095
Book学术官方微信