Disease Progression for Histologic Diagnosis of Metabolic Dysfunction-Associated Steatotic Liver Disease in the Real-World: A Nationwide US Study.

IF 2.1 4区 医学 Q3 GASTROENTEROLOGY & HEPATOLOGY
Digestive Diseases Pub Date : 2025-01-01 Epub Date: 2024-10-14 DOI:10.1159/000541945
Xinrong Zhang, Leslie Yeeman Kam, Scott D Barnett, Linda Henry, Ramsey Cheung, Mindie H Nguyen
{"title":"Disease Progression for Histologic Diagnosis of Metabolic Dysfunction-Associated Steatotic Liver Disease in the Real-World: A Nationwide US Study.","authors":"Xinrong Zhang, Leslie Yeeman Kam, Scott D Barnett, Linda Henry, Ramsey Cheung, Mindie H Nguyen","doi":"10.1159/000541945","DOIUrl":null,"url":null,"abstract":"<p><strong>Introduction: </strong>We compared clinical characteristics and outcomes in real-world metabolic dysfunction-associated steatotic liver disease (MASLD) patients with or without liver biopsy using a nationwide cohort in United States (USA) to fill in gaps in selection of biopsy patients.</p><p><strong>Methods: </strong>We conducted a retrospective cohort study of adult MASLD patients using Marketscan® Databases (1/2007-12/2021). Patients were categorized into those with or without liver biopsy during follow-up.</p><p><strong>Results: </strong>We analyzed 540,326 MASLD patients: 23,732 with and 516,594 without biopsy. Only 4% of MASLD patients received liver biopsy and biopsy rate decreased in the last 5 years (9.4%-3.6%). After 1:5 propensity score matching on baseline characteristics including age, sex, and comorbidities, a total of 23,731 patients with biopsy and 118,396 matched patients without biopsy were analyzed. The incidence per 1,000 person-years for hepatocellular carcinoma (HCC) was 0.22 versus 2.18, cirrhosis 29.75 versus 90.44, and hepatic decompensation 15.84 versus 28.25 compared patients with and without biopsy. In multivariable analysis, patients with biopsy had more than 9 times higher risk of developing HCC, 3 times higher risk of cirrhosis, and 78% higher risk of hepatic decompensation. In subgroup analysis, the association remained consistent when stratified by age (<50 and ≥50), sex, and diabetes mellitus. Predictors of having biopsy included age, metabolic diseases, and living in North central or Northeast of USA.</p><p><strong>Conclusion: </strong>These data can inform clinical patient management that biopsy patients likely represent a selected group at higher risk for disease progression, especially in clinical trials for MASLD therapies.</p><p><strong>Introduction: </strong>We compared clinical characteristics and outcomes in real-world metabolic dysfunction-associated steatotic liver disease (MASLD) patients with or without liver biopsy using a nationwide cohort in United States (USA) to fill in gaps in selection of biopsy patients.</p><p><strong>Methods: </strong>We conducted a retrospective cohort study of adult MASLD patients using Marketscan® Databases (1/2007-12/2021). Patients were categorized into those with or without liver biopsy during follow-up.</p><p><strong>Results: </strong>We analyzed 540,326 MASLD patients: 23,732 with and 516,594 without biopsy. Only 4% of MASLD patients received liver biopsy and biopsy rate decreased in the last 5 years (9.4%-3.6%). After 1:5 propensity score matching on baseline characteristics including age, sex, and comorbidities, a total of 23,731 patients with biopsy and 118,396 matched patients without biopsy were analyzed. The incidence per 1,000 person-years for hepatocellular carcinoma (HCC) was 0.22 versus 2.18, cirrhosis 29.75 versus 90.44, and hepatic decompensation 15.84 versus 28.25 compared patients with and without biopsy. In multivariable analysis, patients with biopsy had more than 9 times higher risk of developing HCC, 3 times higher risk of cirrhosis, and 78% higher risk of hepatic decompensation. In subgroup analysis, the association remained consistent when stratified by age (<50 and ≥50), sex, and diabetes mellitus. Predictors of having biopsy included age, metabolic diseases, and living in North central or Northeast of USA.</p><p><strong>Conclusion: </strong>These data can inform clinical patient management that biopsy patients likely represent a selected group at higher risk for disease progression, especially in clinical trials for MASLD therapies.</p>","PeriodicalId":11294,"journal":{"name":"Digestive Diseases","volume":" ","pages":"36-45"},"PeriodicalIF":2.1000,"publicationDate":"2025-01-01","publicationTypes":"Journal Article","fieldsOfStudy":null,"isOpenAccess":false,"openAccessPdf":"https://www.ncbi.nlm.nih.gov/pmc/articles/PMC11817862/pdf/","citationCount":"0","resultStr":null,"platform":"Semanticscholar","paperid":null,"PeriodicalName":"Digestive Diseases","FirstCategoryId":"3","ListUrlMain":"https://doi.org/10.1159/000541945","RegionNum":4,"RegionCategory":"医学","ArticlePicture":[],"TitleCN":null,"AbstractTextCN":null,"PMCID":null,"EPubDate":"2024/10/14 0:00:00","PubModel":"Epub","JCR":"Q3","JCRName":"GASTROENTEROLOGY & HEPATOLOGY","Score":null,"Total":0}
引用次数: 0

Abstract

Introduction: We compared clinical characteristics and outcomes in real-world metabolic dysfunction-associated steatotic liver disease (MASLD) patients with or without liver biopsy using a nationwide cohort in United States (USA) to fill in gaps in selection of biopsy patients.

Methods: We conducted a retrospective cohort study of adult MASLD patients using Marketscan® Databases (1/2007-12/2021). Patients were categorized into those with or without liver biopsy during follow-up.

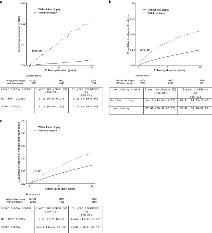
Results: We analyzed 540,326 MASLD patients: 23,732 with and 516,594 without biopsy. Only 4% of MASLD patients received liver biopsy and biopsy rate decreased in the last 5 years (9.4%-3.6%). After 1:5 propensity score matching on baseline characteristics including age, sex, and comorbidities, a total of 23,731 patients with biopsy and 118,396 matched patients without biopsy were analyzed. The incidence per 1,000 person-years for hepatocellular carcinoma (HCC) was 0.22 versus 2.18, cirrhosis 29.75 versus 90.44, and hepatic decompensation 15.84 versus 28.25 compared patients with and without biopsy. In multivariable analysis, patients with biopsy had more than 9 times higher risk of developing HCC, 3 times higher risk of cirrhosis, and 78% higher risk of hepatic decompensation. In subgroup analysis, the association remained consistent when stratified by age (<50 and ≥50), sex, and diabetes mellitus. Predictors of having biopsy included age, metabolic diseases, and living in North central or Northeast of USA.

Conclusion: These data can inform clinical patient management that biopsy patients likely represent a selected group at higher risk for disease progression, especially in clinical trials for MASLD therapies.

Introduction: We compared clinical characteristics and outcomes in real-world metabolic dysfunction-associated steatotic liver disease (MASLD) patients with or without liver biopsy using a nationwide cohort in United States (USA) to fill in gaps in selection of biopsy patients.

Methods: We conducted a retrospective cohort study of adult MASLD patients using Marketscan® Databases (1/2007-12/2021). Patients were categorized into those with or without liver biopsy during follow-up.

Results: We analyzed 540,326 MASLD patients: 23,732 with and 516,594 without biopsy. Only 4% of MASLD patients received liver biopsy and biopsy rate decreased in the last 5 years (9.4%-3.6%). After 1:5 propensity score matching on baseline characteristics including age, sex, and comorbidities, a total of 23,731 patients with biopsy and 118,396 matched patients without biopsy were analyzed. The incidence per 1,000 person-years for hepatocellular carcinoma (HCC) was 0.22 versus 2.18, cirrhosis 29.75 versus 90.44, and hepatic decompensation 15.84 versus 28.25 compared patients with and without biopsy. In multivariable analysis, patients with biopsy had more than 9 times higher risk of developing HCC, 3 times higher risk of cirrhosis, and 78% higher risk of hepatic decompensation. In subgroup analysis, the association remained consistent when stratified by age (<50 and ≥50), sex, and diabetes mellitus. Predictors of having biopsy included age, metabolic diseases, and living in North central or Northeast of USA.

Conclusion: These data can inform clinical patient management that biopsy patients likely represent a selected group at higher risk for disease progression, especially in clinical trials for MASLD therapies.

Abstract Image

Abstract Image

真实世界中代谢功能障碍相关脂肪性肝病组织学诊断的疾病进展--美国全国性研究。
简介:我们利用美国全国范围内的队列比较了真实世界中接受或未接受肝活检的代谢功能障碍相关性脂肪性肝病(MASLD)患者的临床特征和预后,以填补活检患者选择方面的空白:我们利用 Marketscan® 数据库(1/2007-12/2021)对成年 MASLD 患者进行了一项回顾性队列研究。结果:我们分析了540326名MASLD患者:我们对 540,326 名 MASLD 患者进行了分析:结果:我们对 540,326 名 MASLD 患者进行了分析:23,732 人进行了活检,516,594 人未进行活检。只有4%的MASLD患者接受了肝活检,而且活检率在过去5年中有所下降(从9.4%降至3.6%)。根据年龄、性别和合并症等基线特征进行1:5倾向评分匹配后,共分析了23731名接受活检的患者和118396名未接受活检的匹配患者。与有活检和无活检的患者相比,每千人年肝细胞癌(HCC)发病率分别为 0.22 对 2.18,肝硬化 29.75 对 90.44,肝功能失代偿 15.84 对 28.25。在多变量分析中,有活检的患者患 HCC 的风险比无活检的患者高 9 倍以上,肝硬化的风险比无活检的患者高 3 倍,肝功能失代偿的风险比无活检的患者高 78%。在亚组分析中,根据年龄(50 岁和≥50 岁)、性别和糖尿病进行分层后,这种关联性仍然保持一致。进行活组织检查的预测因素包括年龄、代谢性疾病和居住在美国中北部或东北部:这些数据可为临床患者管理提供信息,即活检患者可能是疾病进展风险较高的特定群体,尤其是在MASLD疗法的临床试验中。
本文章由计算机程序翻译,如有差异,请以英文原文为准。
求助全文
约1分钟内获得全文 求助全文
来源期刊
Digestive Diseases
Digestive Diseases 医学-胃肠肝病学
CiteScore
4.80
自引率
0.00%
发文量
58
审稿时长
2 months
期刊介绍: Each issue of this journal is dedicated to a special topic of current interest, covering both clinical and basic science topics in gastrointestinal function and disorders. The contents of each issue are comprehensive and reflect the state of the art, featuring editorials, reviews, mini reviews and original papers. These individual contributions encompass a variety of disciplines including all fields of gastroenterology. ''Digestive Diseases'' bridges the communication gap between advances made in the academic setting and their application in patient care. The journal is a valuable service for clinicians, specialists and physicians-in-training.
×
引用
GB/T 7714-2015
复制
MLA
复制
APA
复制
导出至
BibTeX EndNote RefMan NoteFirst NoteExpress
×
提示
您的信息不完整,为了账户安全,请先补充。
现在去补充
×
提示
您因"违规操作"
具体请查看互助需知
我知道了
×
提示
确定
请完成安全验证×
copy
已复制链接
快去分享给好友吧!
我知道了
右上角分享
点击右上角分享
0
联系我们:info@booksci.cn Book学术提供免费学术资源搜索服务,方便国内外学者检索中英文文献。致力于提供最便捷和优质的服务体验。 Copyright © 2023 布克学术 All rights reserved.
京ICP备2023020795号-1
ghs 京公网安备 11010802042870号
Book学术文献互助
Book学术文献互助群
群 号:604180095
Book学术官方微信