Exploring the landscape of automated species identification apps: Development, promise, and user appraisal.

IF 7.6 1区 生物学 Q1 BIOLOGY
BioScience Pub Date : 2024-10-08 eCollection Date: 2024-09-01 DOI:10.1093/biosci/biae077
Minh-Xuan A Truong, René Van der Wal
{"title":"Exploring the landscape of automated species identification apps: Development, promise, and user appraisal.","authors":"Minh-Xuan A Truong, René Van der Wal","doi":"10.1093/biosci/biae077","DOIUrl":null,"url":null,"abstract":"<p><p>Two decades ago, Gaston and O'Neill (2004) deliberated on why automated species identification had not become widely employed. We no longer have to wonder: This AI-based technology is here, embedded in numerous web and mobile apps used by large audiences interested in nature. Now that automated species identification tools are available, popular, and efficient, it is time to look at how the apps are developed, what they promise, and how users appraise them. Delving into the automated species identification apps landscape, we found that free and paid apps differ fundamentally in presentation, experience, and the use of biodiversity and personal data. However, these two business models are deeply intertwined. Going forward, although big tech companies will eventually take over the landscape, citizen science programs will likely continue to have their own identification tools because of their specific purpose and their ability to create a strong sense of belonging among naturalist communities.</p>","PeriodicalId":9003,"journal":{"name":"BioScience","volume":"74 9","pages":"601-613"},"PeriodicalIF":7.6000,"publicationDate":"2024-10-08","publicationTypes":"Journal Article","fieldsOfStudy":null,"isOpenAccess":false,"openAccessPdf":"https://www.ncbi.nlm.nih.gov/pmc/articles/PMC11480699/pdf/","citationCount":"0","resultStr":null,"platform":"Semanticscholar","paperid":null,"PeriodicalName":"BioScience","FirstCategoryId":"99","ListUrlMain":"https://doi.org/10.1093/biosci/biae077","RegionNum":1,"RegionCategory":"生物学","ArticlePicture":[],"TitleCN":null,"AbstractTextCN":null,"PMCID":null,"EPubDate":"2024/9/1 0:00:00","PubModel":"eCollection","JCR":"Q1","JCRName":"BIOLOGY","Score":null,"Total":0}
引用次数: 0

Abstract

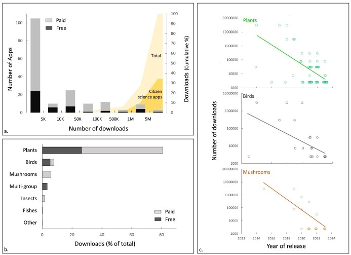
Two decades ago, Gaston and O'Neill (2004) deliberated on why automated species identification had not become widely employed. We no longer have to wonder: This AI-based technology is here, embedded in numerous web and mobile apps used by large audiences interested in nature. Now that automated species identification tools are available, popular, and efficient, it is time to look at how the apps are developed, what they promise, and how users appraise them. Delving into the automated species identification apps landscape, we found that free and paid apps differ fundamentally in presentation, experience, and the use of biodiversity and personal data. However, these two business models are deeply intertwined. Going forward, although big tech companies will eventually take over the landscape, citizen science programs will likely continue to have their own identification tools because of their specific purpose and their ability to create a strong sense of belonging among naturalist communities.

Abstract Image

Abstract Image

Abstract Image

探索物种自动识别应用程序的前景:开发、前景和用户评价。
二十年前,Gaston 和 O'Neill(2004 年)曾讨论过为什么自动物种鉴定没有得到广泛应用。现在我们不必再疑惑了:这种基于人工智能的技术已经出现,并被嵌入到众多网络和移动应用程序中,供对自然感兴趣的广大受众使用。既然物种自动识别工具已经问世、普及且高效,那么现在就该看看这些应用程序是如何开发的、它们能带来什么,以及用户如何评价它们。在深入研究自动物种识别应用程序后,我们发现免费和付费应用程序在表现形式、体验以及生物多样性和个人数据的使用方面有着本质区别。然而,这两种商业模式却深深地交织在一起。展望未来,虽然大型科技公司最终会接管这一领域,但公民科学项目可能会继续拥有自己的识别工具,因为它们有特定的目的,并能在自然主义者群体中产生强烈的归属感。
本文章由计算机程序翻译,如有差异,请以英文原文为准。
求助全文
约1分钟内获得全文 求助全文
来源期刊
BioScience
BioScience 生物-生物学
CiteScore
14.10
自引率
2.00%
发文量
109
审稿时长
3 months
期刊介绍: BioScience is a monthly journal that has been in publication since 1964. It provides readers with authoritative and current overviews of biological research. The journal is peer-reviewed and heavily cited, making it a reliable source for researchers, educators, and students. In addition to research articles, BioScience also covers topics such as biology education, public policy, history, and the fundamental principles of the biological sciences. This makes the content accessible to a wide range of readers. The journal includes professionally written feature articles that explore the latest advancements in biology. It also features discussions on professional issues, book reviews, news about the American Institute of Biological Sciences (AIBS), and columns on policy (Washington Watch) and education (Eye on Education).
×
引用
GB/T 7714-2015
复制
MLA
复制
APA
复制
导出至
BibTeX EndNote RefMan NoteFirst NoteExpress
×
提示
您的信息不完整,为了账户安全,请先补充。
现在去补充
×
提示
您因"违规操作"
具体请查看互助需知
我知道了
×
提示
确定
请完成安全验证×
copy
已复制链接
快去分享给好友吧!
我知道了
右上角分享
点击右上角分享
0
联系我们:info@booksci.cn Book学术提供免费学术资源搜索服务,方便国内外学者检索中英文文献。致力于提供最便捷和优质的服务体验。 Copyright © 2023 布克学术 All rights reserved.
京ICP备2023020795号-1
ghs 京公网安备 11010802042870号
Book学术文献互助
Book学术文献互助群
群 号:604180095
Book学术官方微信