Stress-Induced Constraint on Expression Noise of Essential Genes in E. coli.

IF 1.8 3区 生物学 Q4 BIOCHEMISTRY & MOLECULAR BIOLOGY
Journal of Molecular Evolution Pub Date : 2024-12-01 Epub Date: 2024-10-11 DOI:10.1007/s00239-024-10211-x
Perry A LaBoone, Raquel Assis
{"title":"Stress-Induced Constraint on Expression Noise of Essential Genes in E. coli.","authors":"Perry A LaBoone, Raquel Assis","doi":"10.1007/s00239-024-10211-x","DOIUrl":null,"url":null,"abstract":"<p><p>Gene expression is an inherently noisy process that is constrained by natural selection. Yet the condition dependence of constraint on expression noise remains unclear. Here, we address this problem by studying constraint on expression noise of E. coli genes in eight diverse growth conditions. In particular, we use variation in expression noise as an analog for constraint, examining its relationships to expression level and to the number of regulatory inputs from transcription factors across and within conditions. We show that variation in expression noise is negatively associated with expression level, implicating constraint to minimize expression noise of highly expressed genes. However, this relationship is condition dependent, with the strongest constraint observed when E. coli are grown in the presence of glycerol or ciprofloxacin, which result in carbon or antibiotic stress, respectively. In contrast, we do not observe evidence of constraint on expression noise of highly regulated genes, suggesting that highly expressed and highly regulated genes represent distinct classes of genes. Indeed, we find that essential genes are often highly expressed but not highly regulated, with elevated expression noise in glycerol and ciprofloxacin conditions. Thus, our findings support the hypothesis that selective constraint on expression noise is condition dependent in E. coli, illustrating how it may play a critical role in ensuring expression stability of essential genes in unstable environments.</p>","PeriodicalId":16366,"journal":{"name":"Journal of Molecular Evolution","volume":" ","pages":"834-841"},"PeriodicalIF":1.8000,"publicationDate":"2024-12-01","publicationTypes":"Journal Article","fieldsOfStudy":null,"isOpenAccess":false,"openAccessPdf":"https://www.ncbi.nlm.nih.gov/pmc/articles/PMC11646277/pdf/","citationCount":"0","resultStr":null,"platform":"Semanticscholar","paperid":null,"PeriodicalName":"Journal of Molecular Evolution","FirstCategoryId":"99","ListUrlMain":"https://doi.org/10.1007/s00239-024-10211-x","RegionNum":3,"RegionCategory":"生物学","ArticlePicture":[],"TitleCN":null,"AbstractTextCN":null,"PMCID":null,"EPubDate":"2024/10/11 0:00:00","PubModel":"Epub","JCR":"Q4","JCRName":"BIOCHEMISTRY & MOLECULAR BIOLOGY","Score":null,"Total":0}
引用次数: 0

Abstract

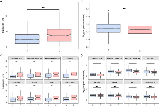
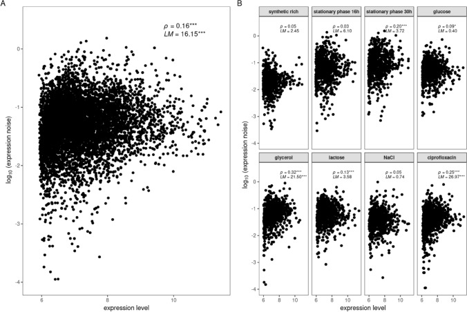
Gene expression is an inherently noisy process that is constrained by natural selection. Yet the condition dependence of constraint on expression noise remains unclear. Here, we address this problem by studying constraint on expression noise of E. coli genes in eight diverse growth conditions. In particular, we use variation in expression noise as an analog for constraint, examining its relationships to expression level and to the number of regulatory inputs from transcription factors across and within conditions. We show that variation in expression noise is negatively associated with expression level, implicating constraint to minimize expression noise of highly expressed genes. However, this relationship is condition dependent, with the strongest constraint observed when E. coli are grown in the presence of glycerol or ciprofloxacin, which result in carbon or antibiotic stress, respectively. In contrast, we do not observe evidence of constraint on expression noise of highly regulated genes, suggesting that highly expressed and highly regulated genes represent distinct classes of genes. Indeed, we find that essential genes are often highly expressed but not highly regulated, with elevated expression noise in glycerol and ciprofloxacin conditions. Thus, our findings support the hypothesis that selective constraint on expression noise is condition dependent in E. coli, illustrating how it may play a critical role in ensuring expression stability of essential genes in unstable environments.

Abstract Image

Abstract Image

Abstract Image

压力对大肠杆菌重要基因表达噪音的限制
基因表达本身就是一个嘈杂的过程,它受到自然选择的制约。然而,表达噪音的约束条件依赖性仍不清楚。在此,我们通过研究大肠杆菌基因在八种不同生长条件下的表达噪声约束来解决这一问题。特别是,我们使用表达噪音的变化来模拟约束,研究其与表达水平以及转录因子在不同条件下和不同条件下的调控输入数量之间的关系。我们的研究表明,表达噪音的变化与表达水平呈负相关,这表明高表达基因的表达噪音受限。然而,这种关系与条件有关,当大肠杆菌在甘油或环丙沙星(分别导致碳或抗生素压力)存在的条件下生长时,观察到的约束最强。相比之下,我们没有观察到高度调控基因的表达噪音受到限制的证据,这表明高度表达基因和高度调控基因代表了不同的基因类别。事实上,我们发现必需基因往往是高表达但非高调控的,在甘油和环丙沙星条件下表达噪音会升高。因此,我们的研究结果支持这样的假设,即大肠杆菌中表达噪音的选择性限制与条件有关,说明了它在确保不稳定环境中重要基因的表达稳定性方面可能发挥的关键作用。
本文章由计算机程序翻译,如有差异,请以英文原文为准。
求助全文
约1分钟内获得全文 求助全文
来源期刊
Journal of Molecular Evolution
Journal of Molecular Evolution 生物-进化生物学
CiteScore
5.50
自引率
2.60%
发文量
36
审稿时长
3 months
期刊介绍: Journal of Molecular Evolution covers experimental, computational, and theoretical work aimed at deciphering features of molecular evolution and the processes bearing on these features, from the initial formation of macromolecular systems through their evolution at the molecular level, the co-evolution of their functions in cellular and organismal systems, and their influence on organismal adaptation, speciation, and ecology. Topics addressed include the evolution of informational macromolecules and their relation to more complex levels of biological organization, including populations and taxa, as well as the molecular basis for the evolution of ecological interactions of species and the use of molecular data to infer fundamental processes in evolutionary ecology. This coverage accommodates such subfields as new genome sequences, comparative structural and functional genomics, population genetics, the molecular evolution of development, the evolution of gene regulation and gene interaction networks, and in vitro evolution of DNA and RNA, molecular evolutionary ecology, and the development of methods and theory that enable molecular evolutionary inference, including but not limited to, phylogenetic methods.
×
引用
GB/T 7714-2015
复制
MLA
复制
APA
复制
导出至
BibTeX EndNote RefMan NoteFirst NoteExpress
×
提示
您的信息不完整,为了账户安全,请先补充。
现在去补充
×
提示
您因"违规操作"
具体请查看互助需知
我知道了
×
提示
确定
请完成安全验证×
copy
已复制链接
快去分享给好友吧!
我知道了
右上角分享
点击右上角分享
0
联系我们:info@booksci.cn Book学术提供免费学术资源搜索服务,方便国内外学者检索中英文文献。致力于提供最便捷和优质的服务体验。 Copyright © 2023 布克学术 All rights reserved.
京ICP备2023020795号-1
ghs 京公网安备 11010802042870号
Book学术文献互助
Book学术文献互助群
群 号:604180095
Book学术官方微信