Speech perception in the Specific Learning Disorder with and without Persistent Speech Sound Disorder.

IF 0.8 Q4 AUDIOLOGY & SPEECH-LANGUAGE PATHOLOGY
CoDAS Pub Date : 2024-10-04 eCollection Date: 2024-01-01 DOI:10.1590/2317-1782/20242024034pt
Mariana Martins Appezzato, Clara Regina Brandão de Avila
{"title":"Speech perception in the Specific Learning Disorder with and without Persistent Speech Sound Disorder.","authors":"Mariana Martins Appezzato, Clara Regina Brandão de Avila","doi":"10.1590/2317-1782/20242024034pt","DOIUrl":null,"url":null,"abstract":"<p><strong>Purpose: </strong>Investigate if speech perception skills can differentiate school children with Specific Reading Disorders (SRD) with and without Persistent Speech Sound Disorders (PSSD).</p><p><strong>Methods: </strong>80 children, regularly enrolled in the 2nd (N=1), 3rd (N=28), 4th (N=29), 5th (N=15) and 6th (N=7) grades participated in the study. Control Group (CG) (N=48): no complaints, no speech alteration; and Resarch Group (RG) (N=32) - with SRD, RGI (N=15) without PSSD and RGII (N=17) with PSSD. Two tests evaluated auditory input reception: Simplified evaluation of auditory processing; and Perception task of nonwords, with Portuguese language structure (DNPLS). Data was analyzed by: Likelihood Ratio Test, Kruskal-Wallis test, Dunn test with Bonferroni correction, Mann-Whitney test, Spearman correlation, and construction of a ROC curve to obtain a threshold value for the correct answers in the perception of non-words test.</p><p><strong>Results: </strong>Control and RGI showed higher correct answer scores than RGII. There was no difference between the correct answer distributions of the Control and RGI, and RGI and RGII in the test of DNPLS and the number of correct answers in the CG was higher than in the RGII.</p><p><strong>Conclusion: </strong>The ability to discriminate non-words enabled the differentiated between school-aged children with SRD associated with PSSD and typical children, thus characterizing this group for presenting a number of correct answers lower than 30.5, considering the task proposed to discriminate non-words. These results suggest that the presence of PSSD worsens the performance in speech perception of the schoolchildren with SRD.</p>","PeriodicalId":46547,"journal":{"name":"CoDAS","volume":"36 5","pages":"e20240034"},"PeriodicalIF":0.8000,"publicationDate":"2024-10-04","publicationTypes":"Journal Article","fieldsOfStudy":null,"isOpenAccess":false,"openAccessPdf":"https://www.ncbi.nlm.nih.gov/pmc/articles/PMC11534149/pdf/","citationCount":"0","resultStr":null,"platform":"Semanticscholar","paperid":null,"PeriodicalName":"CoDAS","FirstCategoryId":"1085","ListUrlMain":"https://doi.org/10.1590/2317-1782/20242024034pt","RegionNum":0,"RegionCategory":null,"ArticlePicture":[],"TitleCN":null,"AbstractTextCN":null,"PMCID":null,"EPubDate":"2024/1/1 0:00:00","PubModel":"eCollection","JCR":"Q4","JCRName":"AUDIOLOGY & SPEECH-LANGUAGE PATHOLOGY","Score":null,"Total":0}
引用次数: 0

Abstract

Purpose: Investigate if speech perception skills can differentiate school children with Specific Reading Disorders (SRD) with and without Persistent Speech Sound Disorders (PSSD).

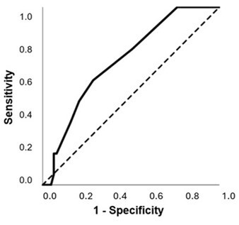
Methods: 80 children, regularly enrolled in the 2nd (N=1), 3rd (N=28), 4th (N=29), 5th (N=15) and 6th (N=7) grades participated in the study. Control Group (CG) (N=48): no complaints, no speech alteration; and Resarch Group (RG) (N=32) - with SRD, RGI (N=15) without PSSD and RGII (N=17) with PSSD. Two tests evaluated auditory input reception: Simplified evaluation of auditory processing; and Perception task of nonwords, with Portuguese language structure (DNPLS). Data was analyzed by: Likelihood Ratio Test, Kruskal-Wallis test, Dunn test with Bonferroni correction, Mann-Whitney test, Spearman correlation, and construction of a ROC curve to obtain a threshold value for the correct answers in the perception of non-words test.

Results: Control and RGI showed higher correct answer scores than RGII. There was no difference between the correct answer distributions of the Control and RGI, and RGI and RGII in the test of DNPLS and the number of correct answers in the CG was higher than in the RGII.

Conclusion: The ability to discriminate non-words enabled the differentiated between school-aged children with SRD associated with PSSD and typical children, thus characterizing this group for presenting a number of correct answers lower than 30.5, considering the task proposed to discriminate non-words. These results suggest that the presence of PSSD worsens the performance in speech perception of the schoolchildren with SRD.

Abstract Image

Abstract Image

伴有或不伴有持续性言语发音障碍的特殊学习障碍患者的言语感知能力。
目的:调查言语感知能力是否能够区分有特殊阅读障碍(SRD)和无持续性言语发音障碍(PSSD)的学龄儿童。方法:80 名正常就读二年级(N=1)、三年级(N=28)、四年级(N=29)、五年级(N=15)和六年级(N=7)的儿童参与研究。对照组(CG)(48人):无主诉,无言语改变;研究组(RG)(32人)--有SRD,RGI(15人)无PSSD,RGII(17人)有PSSD。有两项测试评估了听觉输入接收情况:听觉处理简化评估和葡萄牙语结构非词感知任务(DNPLS)。数据分析方法包括数据分析方法包括:似然比检验、Kruskal-Wallis 检验、经 Bonferroni 校正的 Dunn 检验、Mann-Whitney 检验、Spearman 相关性,以及构建 ROC 曲线,以获得非词感知测试中正确答案的阈值:结果:对照组和 RGI 的正确答案得分高于 RGII。在 DNPLS 测试中,对照组和 RGI、RGI 和 RGII 的正确答案分布没有差异,CG 的正确答案数高于 RGII:非单词辨别能力可将患有与 PSSD 相关的 SRD 的学龄儿童与典型儿童区分开来,因此,考虑到所提出的非单词辨别任务,这组儿童的正确答案数低于 30.5。这些结果表明,PSSD 的存在会使患有 SRD 的学龄儿童的言语感知能力下降。
本文章由计算机程序翻译,如有差异,请以英文原文为准。
求助全文
约1分钟内获得全文 求助全文
来源期刊
CoDAS
CoDAS AUDIOLOGY & SPEECH-LANGUAGE PATHOLOGY-
CiteScore
0.90
自引率
12.50%
发文量
103
审稿时长
30 weeks
×
引用
GB/T 7714-2015
复制
MLA
复制
APA
复制
导出至
BibTeX EndNote RefMan NoteFirst NoteExpress
×
提示
您的信息不完整,为了账户安全,请先补充。
现在去补充
×
提示
您因"违规操作"
具体请查看互助需知
我知道了
×
提示
确定
请完成安全验证×
copy
已复制链接
快去分享给好友吧!
我知道了
右上角分享
点击右上角分享
0
联系我们:info@booksci.cn Book学术提供免费学术资源搜索服务,方便国内外学者检索中英文文献。致力于提供最便捷和优质的服务体验。 Copyright © 2023 布克学术 All rights reserved.
京ICP备2023020795号-1
ghs 京公网安备 11010802042870号
Book学术文献互助
Book学术文献互助群
群 号:604180095
Book学术官方微信