Untangling the role of environmental and host-related determinants for on-farm transmission of verotoxin-producing Escherichia coli O157.

Q1 Environmental Science
Infection Ecology and Epidemiology Pub Date : 2024-10-08 eCollection Date: 2024-01-01 DOI:10.1080/20008686.2024.2406852
Lena-Mari Tamminen, Johan Dicksved, Erik Eriksson, Linda J Keeling, Ulf Emanuelson
{"title":"Untangling the role of environmental and host-related determinants for on-farm transmission of verotoxin-producing <i>Escherichia coli</i> O157.","authors":"Lena-Mari Tamminen, Johan Dicksved, Erik Eriksson, Linda J Keeling, Ulf Emanuelson","doi":"10.1080/20008686.2024.2406852","DOIUrl":null,"url":null,"abstract":"<p><p><b>Background:</b> Cattle colonised by the zoonotic pathogen verotoxin-producing Escherichia coli of serotype O157 (VTEC O157) can shed high levels of the pathogen in their faeces. A suggested key for controlling VTEC O157 is preventing colonisation of individuals. <b>Aim:</b> In this study the role of individual super-shedders and factors related to susceptibility and environmental exposure in the transmission of VTEC O157 among dairy calves are explored. <b>Methods:</b> The association between sex, age, pen hygiene, pen type and stocking density and colonisation of individual calves, established by recto-anal mucosal swabs, on farms where pathogenic VTEC O157 had been confirmed was investigated. In a follow-up sampling, the consistency of previously identified risk factors and the role of shedding pen mates was assessed by studying the risk of new/re-colonisation. <b>Results:</b> The results suggest an important role of stocking density that decreases with age, possibly due to increased resistance to colonisation following exposure. However, previous colonisation did not influence the risk of being colonised in the second sampling. Super-shedders (shedding >103 colony forming units/g faeces) significantly increased the risk of colonisation in peers (OR = 10, CI 4.2-52). In addition, environmental factors associated with survival of the bacteria, affected risk. <b>Conclusion:</b> The results confirm the suggested importance of super-shedders but also emphasises the importance of considering the combined exposure from peers and the environment.</p>","PeriodicalId":37446,"journal":{"name":"Infection Ecology and Epidemiology","volume":"14 1","pages":"2406852"},"PeriodicalIF":0.0000,"publicationDate":"2024-10-08","publicationTypes":"Journal Article","fieldsOfStudy":null,"isOpenAccess":false,"openAccessPdf":"https://www.ncbi.nlm.nih.gov/pmc/articles/PMC11463013/pdf/","citationCount":"0","resultStr":null,"platform":"Semanticscholar","paperid":null,"PeriodicalName":"Infection Ecology and Epidemiology","FirstCategoryId":"1085","ListUrlMain":"https://doi.org/10.1080/20008686.2024.2406852","RegionNum":0,"RegionCategory":null,"ArticlePicture":[],"TitleCN":null,"AbstractTextCN":null,"PMCID":null,"EPubDate":"2024/1/1 0:00:00","PubModel":"eCollection","JCR":"Q1","JCRName":"Environmental Science","Score":null,"Total":0}
引用次数: 0

Abstract

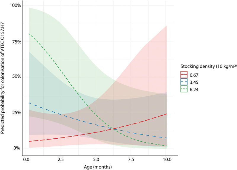
Background: Cattle colonised by the zoonotic pathogen verotoxin-producing Escherichia coli of serotype O157 (VTEC O157) can shed high levels of the pathogen in their faeces. A suggested key for controlling VTEC O157 is preventing colonisation of individuals. Aim: In this study the role of individual super-shedders and factors related to susceptibility and environmental exposure in the transmission of VTEC O157 among dairy calves are explored. Methods: The association between sex, age, pen hygiene, pen type and stocking density and colonisation of individual calves, established by recto-anal mucosal swabs, on farms where pathogenic VTEC O157 had been confirmed was investigated. In a follow-up sampling, the consistency of previously identified risk factors and the role of shedding pen mates was assessed by studying the risk of new/re-colonisation. Results: The results suggest an important role of stocking density that decreases with age, possibly due to increased resistance to colonisation following exposure. However, previous colonisation did not influence the risk of being colonised in the second sampling. Super-shedders (shedding >103 colony forming units/g faeces) significantly increased the risk of colonisation in peers (OR = 10, CI 4.2-52). In addition, environmental factors associated with survival of the bacteria, affected risk. Conclusion: The results confirm the suggested importance of super-shedders but also emphasises the importance of considering the combined exposure from peers and the environment.

Abstract Image

Abstract Image

Abstract Image

揭示产verotoxin大肠杆菌O157在农场传播的环境和宿主相关决定因素的作用。
背景:被人畜共患病原体产verotoxin大肠杆菌血清型O157(VTEC O157)定植的牛会在粪便中排出大量病原体。建议控制 VTEC O157 的关键是防止其在个体中定植。目的:本研究探讨了超级排粪者个体的作用以及与易感性和环境暴露有关的因素在奶牛犊牛中传播 VTEC O157 的情况。研究方法:在确认存在致病性 VTEC O157 的牧场中,通过直肠肛门粘膜拭子确定犊牛个体的定植情况,调查性别、年龄、栏舍卫生、栏舍类型和饲养密度与定植之间的关系。在后续抽样中,通过研究新的/再定植的风险,评估了先前确定的风险因素的一致性和脱落的栏友的作用。结果结果表明,放养密度的重要作用是随着年龄的增长而降低,这可能是由于暴露后对定殖的抵抗力增强。然而,之前的定殖并不影响第二次取样时被定殖的风险。超级脱落者(脱落率大于 103 菌落形成单位/克粪便)会显著增加同龄人被定殖的风险(OR = 10,CI 4.2-52)。此外,与细菌存活相关的环境因素也会影响风险。结论研究结果证实了超级排便者的重要性,但同时也强调了考虑同龄人和环境综合接触的重要性。
本文章由计算机程序翻译,如有差异,请以英文原文为准。
求助全文
约1分钟内获得全文 求助全文
来源期刊
Infection Ecology and Epidemiology
Infection Ecology and Epidemiology Environmental Science-Environmental Science (miscellaneous)
CiteScore
8.70
自引率
0.00%
发文量
4
审稿时长
12 weeks
期刊介绍: Infection Ecology & Epidemiology aims to stimulate inter-disciplinary collaborations dealing with a range of subjects, from the plethora of zoonotic infections in humans, over diseases with implication in wildlife ecology, to advanced virology and bacteriology. The journal specifically welcomes papers from studies where researchers from multiple medical and ecological disciplines are collaborating so as to increase our knowledge of the emergence, spread and effect of new and re-emerged infectious diseases in humans, domestic animals and wildlife. Main areas of interest include, but are not limited to: 1.Zoonotic microbioorganisms 2.Vector borne infections 3.Gastrointestinal pathogens 4.Antimicrobial resistance 5.Zoonotic microbioorganisms in changing environment
×
引用
GB/T 7714-2015
复制
MLA
复制
APA
复制
导出至
BibTeX EndNote RefMan NoteFirst NoteExpress
×
提示
您的信息不完整,为了账户安全,请先补充。
现在去补充
×
提示
您因"违规操作"
具体请查看互助需知
我知道了
×
提示
确定
请完成安全验证×
copy
已复制链接
快去分享给好友吧!
我知道了
右上角分享
点击右上角分享
0
联系我们:info@booksci.cn Book学术提供免费学术资源搜索服务,方便国内外学者检索中英文文献。致力于提供最便捷和优质的服务体验。 Copyright © 2023 布克学术 All rights reserved.
京ICP备2023020795号-1
ghs 京公网安备 11010802042870号
Book学术文献互助
Book学术文献互助群
群 号:604180095
Book学术官方微信