Evaluation of CD56 and CD117 Double-Positivity as a Predictor of Poor Prognosis in Multiple Myeloma Patients: A Retrospective Analysis

IF 1.3 4区 医学 Q3 HEMATOLOGY
Turkish Journal of Hematology Pub Date : 2024-12-02 Epub Date: 2024-10-08 DOI:10.4274/tjh.galenos.2024.2024.0149
Hakan Keski, Selim Merdan, Itır Ebru Zemheri
{"title":"Evaluation of CD56 and CD117 Double-Positivity as a Predictor of Poor Prognosis in Multiple Myeloma Patients: A Retrospective Analysis","authors":"Hakan Keski, Selim Merdan, Itır Ebru Zemheri","doi":"10.4274/tjh.galenos.2024.2024.0149","DOIUrl":null,"url":null,"abstract":"<p><strong>Objective: </strong>Despite advancements in treatment, multiple myeloma (MM) remains a challenging hematologic malignancy. It is crucial to stratify risk and perform prognostic assessment with various markers, including the expression of cluster of differentiation 56 (CD56) and cluster of differentiation 117 (CD117). However, the relationship of these markers with MM-related survival remains unclear. In this context, the objective of this study was to investigate the prognostic implications of CD56 and CD117 expression and associated clinical features in MM patients.</p><p><strong>Materials and methods: </strong>The population of this retrospective single-center study consisted of adult MM patients whose CD56 and CD117 expression levels were analyzed. Patients were divided into four groups according to their immunophenotypes: CD56<sup>+</sup>CD117<sup>-</sup>, CD56<sup>-</sup>CD117<sup>+</sup>, CD56<sup>+</sup>CD117<sup>+</sup>, and CD56<sup>-</sup>CD117<sup>-</sup>. These groups were compared in terms of demographic and clinical characteristics, response to treatment, and survival outcomes.</p><p><strong>Results: </strong>Of the 168 MM patients included in the study, CD56 positivity, CD117 positivity, CD56 and CD117 double positivity, and CD56 and CD117 double negativity were observed in 57.1%, 38.1%, 21.4%, and 26.2%, respectively. Patients with double positivity had significantly higher cytogenetic risk and significantly lower overall response rate (ORR) compared to other patients (p<0.001 for both). ORR and overall survival (OS) were significantly lower in CD56-positive patients than in CD56-negative patients (p=0.017 and p=0.004, respectively). Mortality rates were significantly higher in CD56-positive and CD117-positive patients than in double-negative patients (p<0.001 and p=0.002, respectively). Double-negative patients had significantly lower ORR and OS and higher mortality than others (p=0.001, p=0.002, and p<0.001, respectively). High cytogenetic risk was found to be an independent predictor of shorter OS (p>0.001).</p><p><strong>Conclusion: </strong>This study’s findings revealed that MM patients with CD56 and CD117 double positivity had poorer prognosis, lower ORR, shorter OS, and higher mortality.</p>","PeriodicalId":23362,"journal":{"name":"Turkish Journal of Hematology","volume":" ","pages":"236-245"},"PeriodicalIF":1.3000,"publicationDate":"2024-12-02","publicationTypes":"Journal Article","fieldsOfStudy":null,"isOpenAccess":false,"openAccessPdf":"https://www.ncbi.nlm.nih.gov/pmc/articles/PMC11628754/pdf/","citationCount":"0","resultStr":null,"platform":"Semanticscholar","paperid":null,"PeriodicalName":"Turkish Journal of Hematology","FirstCategoryId":"3","ListUrlMain":"https://doi.org/10.4274/tjh.galenos.2024.2024.0149","RegionNum":4,"RegionCategory":"医学","ArticlePicture":[],"TitleCN":null,"AbstractTextCN":null,"PMCID":null,"EPubDate":"2024/10/8 0:00:00","PubModel":"Epub","JCR":"Q3","JCRName":"HEMATOLOGY","Score":null,"Total":0}
引用次数: 0

Abstract

Objective: Despite advancements in treatment, multiple myeloma (MM) remains a challenging hematologic malignancy. It is crucial to stratify risk and perform prognostic assessment with various markers, including the expression of cluster of differentiation 56 (CD56) and cluster of differentiation 117 (CD117). However, the relationship of these markers with MM-related survival remains unclear. In this context, the objective of this study was to investigate the prognostic implications of CD56 and CD117 expression and associated clinical features in MM patients.

Materials and methods: The population of this retrospective single-center study consisted of adult MM patients whose CD56 and CD117 expression levels were analyzed. Patients were divided into four groups according to their immunophenotypes: CD56+CD117-, CD56-CD117+, CD56+CD117+, and CD56-CD117-. These groups were compared in terms of demographic and clinical characteristics, response to treatment, and survival outcomes.

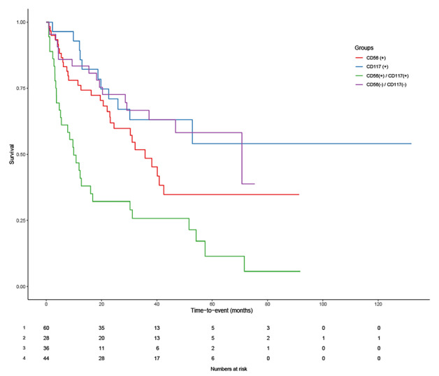
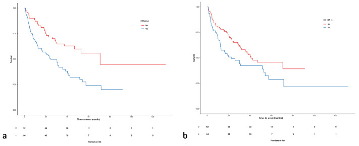
Results: Of the 168 MM patients included in the study, CD56 positivity, CD117 positivity, CD56 and CD117 double positivity, and CD56 and CD117 double negativity were observed in 57.1%, 38.1%, 21.4%, and 26.2%, respectively. Patients with double positivity had significantly higher cytogenetic risk and significantly lower overall response rate (ORR) compared to other patients (p<0.001 for both). ORR and overall survival (OS) were significantly lower in CD56-positive patients than in CD56-negative patients (p=0.017 and p=0.004, respectively). Mortality rates were significantly higher in CD56-positive and CD117-positive patients than in double-negative patients (p<0.001 and p=0.002, respectively). Double-negative patients had significantly lower ORR and OS and higher mortality than others (p=0.001, p=0.002, and p<0.001, respectively). High cytogenetic risk was found to be an independent predictor of shorter OS (p>0.001).

Conclusion: This study’s findings revealed that MM patients with CD56 and CD117 double positivity had poorer prognosis, lower ORR, shorter OS, and higher mortality.

Abstract Image

Abstract Image

评估多发性骨髓瘤患者预后不良的 CD56 和 CD117 双阳性指标:回顾性分析
目的:尽管在治疗方面取得了进展,多发性骨髓瘤(MM)仍然是一种具有挑战性的血液系统恶性肿瘤。通过各种标志物(包括分化群 56(CD56)和分化群 117(CD117)的表达)来进行风险分层和预后评估至关重要。然而,这些标志物与 MM 相关生存的关系仍不清楚。在此背景下,本研究旨在探讨 CD56 和 CD117 表达及相关临床特征对 MM 患者预后的影响:这项回顾性单中心研究的研究对象包括成年 MM 患者,分析了他们的 CD56 和 CD117 表达。根据免疫分型将患者分为四组:这些组别在人口统计学和临床特征、对治疗的反应和生存结果方面进行了比较:在168例MM患者中,CD56阳性、CD117阳性、CD56和CD117双阳性和双阴性患者分别占57.1%、38.1%、21.4%和26.2%。与其他患者相比,双阳性患者的细胞遗传学风险明显更高,总体反应率(ORR)明显降低(P0.001):研究结果显示,CD56和CD117双阳性MM患者预后较差,ORR较低,OS较短,死亡率较高。
本文章由计算机程序翻译,如有差异,请以英文原文为准。
求助全文
约1分钟内获得全文 求助全文
来源期刊
CiteScore
2.90
自引率
3.80%
发文量
45
审稿时长
1 months
期刊介绍: The Turkish Journal of Hematology is published quarterly (March, June, September, and December) by the Turkish Society of Hematology. It is an independent, non-profit peer-reviewed international English-language periodical encompassing subjects relevant to hematology. The Editorial Board of The Turkish Journal of Hematology adheres to the principles of the World Association of Medical Editors (WAME), International Council of Medical Journal Editors (ICMJE), Committee on Publication Ethics (COPE), Consolidated Standards of Reporting Trials (CONSORT) and Strengthening the Reporting of Observational Studies in Epidemiology (STROBE). The aim of The Turkish Journal of Hematology is to publish original hematological research of the highest scientific quality and clinical relevance. Additionally, educational material, reviews on basic developments, editorial short notes, images in hematology, and letters from hematology specialists and clinicians covering their experience and comments on hematology and related medical fields as well as social subjects are published. As of December 2015, The Turkish Journal of Hematology does not accept case reports. Important new findings or data about interesting hematological cases may be submitted as a brief report.
×
引用
GB/T 7714-2015
复制
MLA
复制
APA
复制
导出至
BibTeX EndNote RefMan NoteFirst NoteExpress
×
提示
您的信息不完整,为了账户安全,请先补充。
现在去补充
×
提示
您因"违规操作"
具体请查看互助需知
我知道了
×
提示
确定
请完成安全验证×
copy
已复制链接
快去分享给好友吧!
我知道了
右上角分享
点击右上角分享
0
联系我们:info@booksci.cn Book学术提供免费学术资源搜索服务,方便国内外学者检索中英文文献。致力于提供最便捷和优质的服务体验。 Copyright © 2023 布克学术 All rights reserved.
京ICP备2023020795号-1
ghs 京公网安备 11010802042870号
Book学术文献互助
Book学术文献互助群
群 号:604180095
Book学术官方微信