A safety comparison of heparin and argatroban anticoagulation in veno-venous extracorporeal membrane oxygenation with a focus on bleeding.

IF 1.4 4区 医学 Q3 HEMATOLOGY
Transfusion Medicine Pub Date : 2025-02-01 Epub Date: 2024-10-07 DOI:10.1111/tme.13102
Filip Burša, Jan Máca, Jiří Sagan, Peter Sklienka, Simona Němcová, Zuzana Kučerová, Tereza Romanová, Ondřej Jor, Adéla Kondé, Jaroslav Janošek, Michal Frelich
{"title":"A safety comparison of heparin and argatroban anticoagulation in veno-venous extracorporeal membrane oxygenation with a focus on bleeding.","authors":"Filip Burša, Jan Máca, Jiří Sagan, Peter Sklienka, Simona Němcová, Zuzana Kučerová, Tereza Romanová, Ondřej Jor, Adéla Kondé, Jaroslav Janošek, Michal Frelich","doi":"10.1111/tme.13102","DOIUrl":null,"url":null,"abstract":"<p><strong>Background: </strong>Anticoagulation during extracorporeal membrane oxygenation (ECMO) might still lead to severe bleeding complications. Heparin is the most frequently used anticoagulant, but novel drugs could be promising. Argatroban is a new alternative to heparin. To date, no robust studies have confirmed the clear superiority of argatroban (AG) over heparin, although it has some advantages and may be safer.</p><p><strong>Study design and methods: </strong>An observational study was conducted in all adult veno-venous ECMO patients with COVID-19-associated acute respiratory distress syndrome admitted to the University Hospital Ostrava (n = 63). They were anticoagulated with heparin in the first period and with AG in the second period, targeting the same activated partial thromboplastin time (aPTT; 45-60 s). Bleeding complications requiring transfusion and life-threatening bleeding events were evaluated. The primary objective was to compare heparin and AG in terms of bleeding, transfusion requirements and mortality-related bleeding.</p><p><strong>Results: </strong>The total time on ECMO per patient was 16 days with an in-hospital mortality of 55.6%. The red blood cell consumption in the AG group (median 2.7 transfusions/week) was significantly lower than in the heparin group (median 4.2 transfusions/week, p = 0.011). Life-threatening bleeding complications were higher in the heparin group compared to the AG group (35.7% vs. 10.2%, p = 0.035), and mortality-related bleeding complications were also higher in the heparin group (21.4% vs. 2.0%, p = 0.032).</p><p><strong>Discussion: </strong>Argatroban is an interesting alternative to heparin with less bleeding, less need for red blood cell transfusions and improved safety of ECMO with less mortality-related bleeding.</p>","PeriodicalId":23306,"journal":{"name":"Transfusion Medicine","volume":" ","pages":"75-81"},"PeriodicalIF":1.4000,"publicationDate":"2025-02-01","publicationTypes":"Journal Article","fieldsOfStudy":null,"isOpenAccess":false,"openAccessPdf":"https://www.ncbi.nlm.nih.gov/pmc/articles/PMC11833213/pdf/","citationCount":"0","resultStr":null,"platform":"Semanticscholar","paperid":null,"PeriodicalName":"Transfusion Medicine","FirstCategoryId":"3","ListUrlMain":"https://doi.org/10.1111/tme.13102","RegionNum":4,"RegionCategory":"医学","ArticlePicture":[],"TitleCN":null,"AbstractTextCN":null,"PMCID":null,"EPubDate":"2024/10/7 0:00:00","PubModel":"Epub","JCR":"Q3","JCRName":"HEMATOLOGY","Score":null,"Total":0}
引用次数: 0

Abstract

Background: Anticoagulation during extracorporeal membrane oxygenation (ECMO) might still lead to severe bleeding complications. Heparin is the most frequently used anticoagulant, but novel drugs could be promising. Argatroban is a new alternative to heparin. To date, no robust studies have confirmed the clear superiority of argatroban (AG) over heparin, although it has some advantages and may be safer.

Study design and methods: An observational study was conducted in all adult veno-venous ECMO patients with COVID-19-associated acute respiratory distress syndrome admitted to the University Hospital Ostrava (n = 63). They were anticoagulated with heparin in the first period and with AG in the second period, targeting the same activated partial thromboplastin time (aPTT; 45-60 s). Bleeding complications requiring transfusion and life-threatening bleeding events were evaluated. The primary objective was to compare heparin and AG in terms of bleeding, transfusion requirements and mortality-related bleeding.

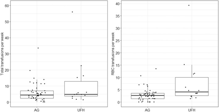
Results: The total time on ECMO per patient was 16 days with an in-hospital mortality of 55.6%. The red blood cell consumption in the AG group (median 2.7 transfusions/week) was significantly lower than in the heparin group (median 4.2 transfusions/week, p = 0.011). Life-threatening bleeding complications were higher in the heparin group compared to the AG group (35.7% vs. 10.2%, p = 0.035), and mortality-related bleeding complications were also higher in the heparin group (21.4% vs. 2.0%, p = 0.032).

Discussion: Argatroban is an interesting alternative to heparin with less bleeding, less need for red blood cell transfusions and improved safety of ECMO with less mortality-related bleeding.

Abstract Image

Abstract Image

静脉体外膜氧合中肝素和阿加曲班抗凝的安全性比较,重点关注出血问题。
背景:体外膜肺氧合(ECMO)期间的抗凝治疗仍可能导致严重的出血并发症。肝素是最常用的抗凝剂,但新型药物很有前途。阿加曲班是肝素的新替代品。迄今为止,尽管阿加曲班(AG)有一些优点,而且可能更安全,但还没有可靠的研究证实阿加曲班明显优于肝素:一项观察性研究的对象是奥斯特拉瓦大学医院收治的所有患有 COVID-19 相关急性呼吸窘迫综合征的静脉-静脉 ECMO 成人患者(n = 63)。他们在第一阶段接受肝素抗凝,在第二阶段接受 AG 抗凝,目标是相同的活化部分凝血活酶时间(aPTT;45-60 秒)。对需要输血的出血并发症和危及生命的出血事件进行了评估。主要目的是比较肝素和 AG 在出血、输血需求和死亡相关出血方面的效果:每位患者接受 ECMO 的总时间为 16 天,院内死亡率为 55.6%。AG 组的红细胞消耗量(中位数为 2.7 次/周)明显低于肝素组(中位数为 4.2 次/周,p = 0.011)。与AG组相比,肝素组危及生命的出血并发症更高(35.7% vs. 10.2%,p = 0.035),肝素组与死亡相关的出血并发症也更高(21.4% vs. 2.0%,p = 0.032):讨论:阿加曲班是肝素的一种有趣的替代品,可减少出血,降低输注红细胞的需求,提高 ECMO 的安全性,减少与死亡相关的出血。
本文章由计算机程序翻译,如有差异,请以英文原文为准。
求助全文
约1分钟内获得全文 求助全文
来源期刊
Transfusion Medicine
Transfusion Medicine 医学-血液学
CiteScore
2.70
自引率
0.00%
发文量
96
审稿时长
6-12 weeks
期刊介绍: Transfusion Medicine publishes articles on transfusion medicine in its widest context, including blood transfusion practice (blood procurement, pharmaceutical, clinical, scientific, computing and documentary aspects), immunohaematology, immunogenetics, histocompatibility, medico-legal applications, and related molecular biology and biotechnology. In addition to original articles, which may include brief communications and case reports, the journal contains a regular educational section (based on invited reviews and state-of-the-art reports), technical section (including quality assurance and current practice guidelines), leading articles, letters to the editor, occasional historical articles and signed book reviews. Some lectures from Society meetings that are likely to be of general interest to readers of the Journal may be published at the discretion of the Editor and subject to the availability of space in the Journal.
×
引用
GB/T 7714-2015
复制
MLA
复制
APA
复制
导出至
BibTeX EndNote RefMan NoteFirst NoteExpress
×
提示
您的信息不完整,为了账户安全,请先补充。
现在去补充
×
提示
您因"违规操作"
具体请查看互助需知
我知道了
×
提示
确定
请完成安全验证×
copy
已复制链接
快去分享给好友吧!
我知道了
右上角分享
点击右上角分享
0
联系我们:info@booksci.cn Book学术提供免费学术资源搜索服务,方便国内外学者检索中英文文献。致力于提供最便捷和优质的服务体验。 Copyright © 2023 布克学术 All rights reserved.
京ICP备2023020795号-1
ghs 京公网安备 11010802042870号
Book学术文献互助
Book学术文献互助群
群 号:604180095
Book学术官方微信